viimane versioon :
27/04/2026
antibiootikum   Spiramycine adipate  
Süsteravim
Stabiilsus lahustes Stabiilsust mõjutavad tegurid stabiilsust mõjutavad faktorid Sobimatus Manustamis viis Viited pdf
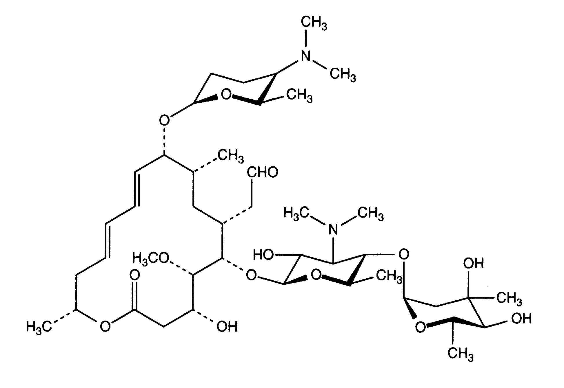
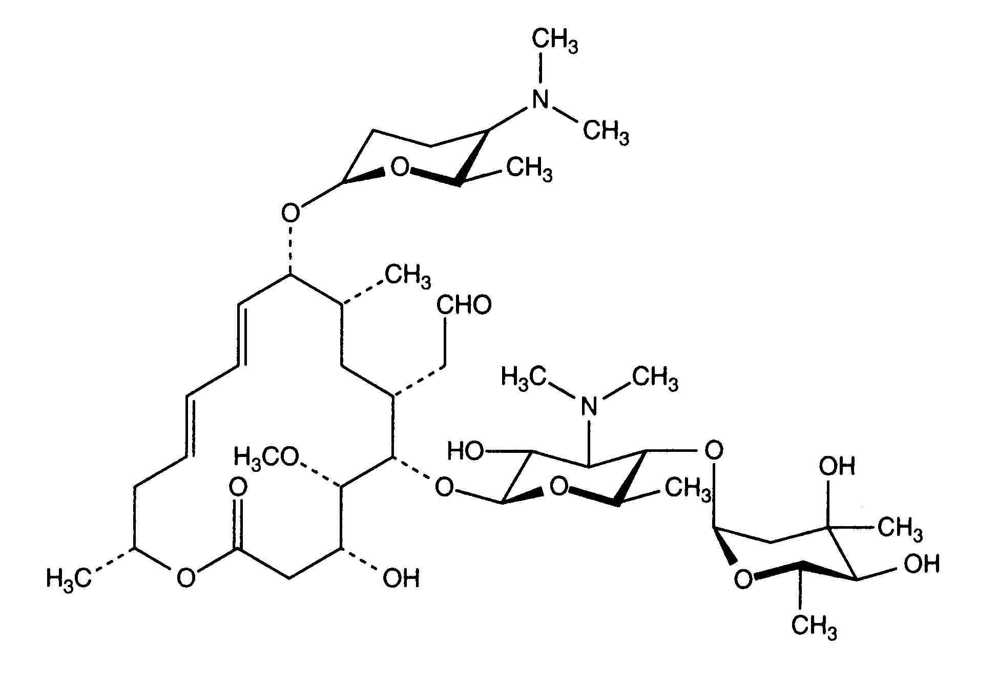
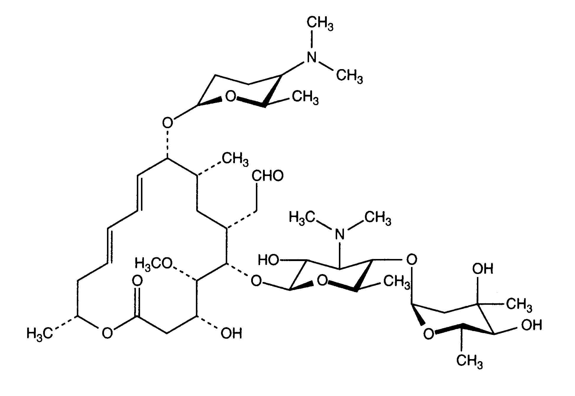
   keemiline struktuur  

Kaubanduslikud nimed erinevates maades   Kaubanduslikud nimed erinevates maades     

Preparaatide nimed on näitlikud ja abianete sisaldus võib erineda sõltuvalt riigist ja laborist

Rovamycine Poola, Prantsusmaa
Stabiilsust mõjutavad tegurid   Süsteravim   Stabiilsust mõjutavad tegurid : Spiramycine adipate     
andmed puuduvad

  Mentions Légales