Utolsó frissítés :
27/04/2026
Antibiotikum   Spiramycine adipate  
Injekció
Az oldatok stabilitása A keverékek stabilitása Stabilitást befolyásoló tényezők Kompatibilitás Az alkalmazás módja Irodalom pdf
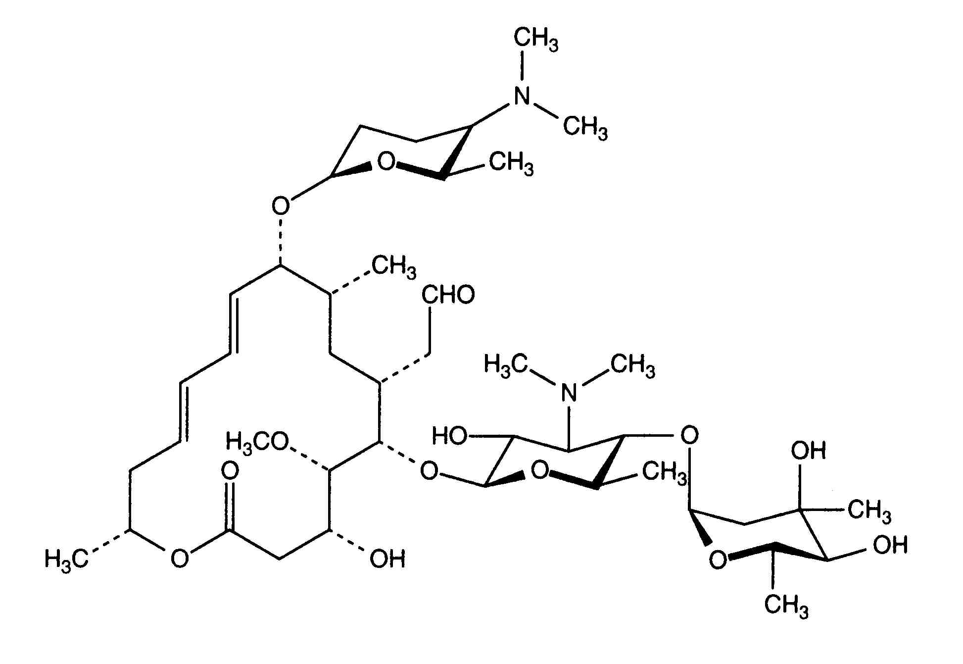
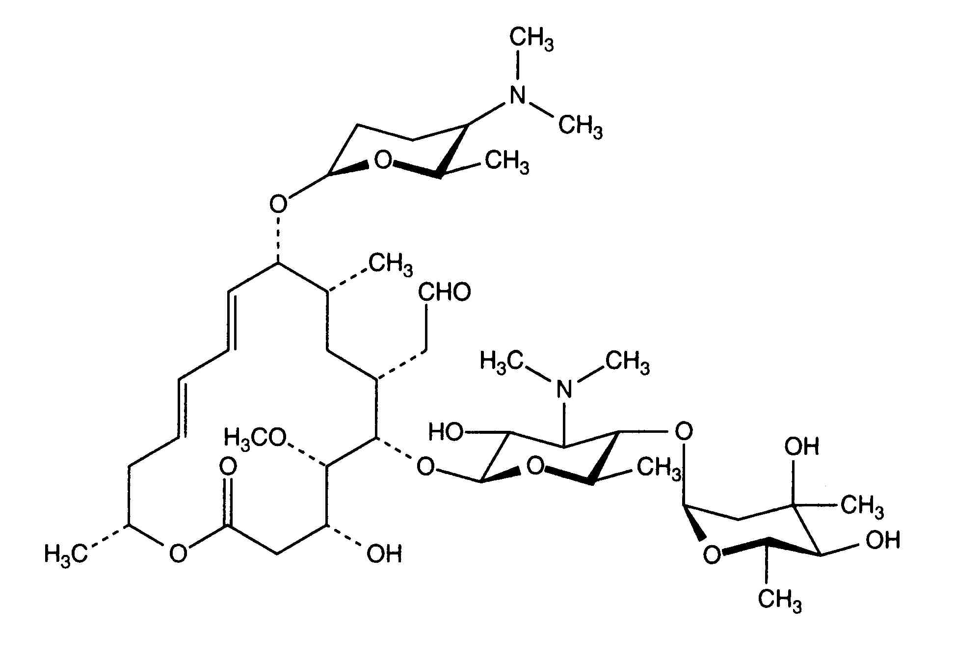
   Kémiai szerkezet   

Kereskedelmi név   Kereskedelmi név     

A kereskedelmi név meghatározó jelentőségű: a készítmények összetétele országonként, előállítóként eltérő lehet

Rovamycine Franciaország, Lengyelország
A keverékek stabilitása   Injekció   A keverékek stabilitása : Spiramycine adipate     
Hiányzó adat

  Mentions Légales