Posledná aktualizácia :
27/04/2026
antibiotikum   Spiramycine adipate  
Injekcia
Stabilita roztokov Stabilita v zmesiach Faktory ovplyvňujúce stabilitu Kompatibility spôsob podania Odkazy na literatúru PDF
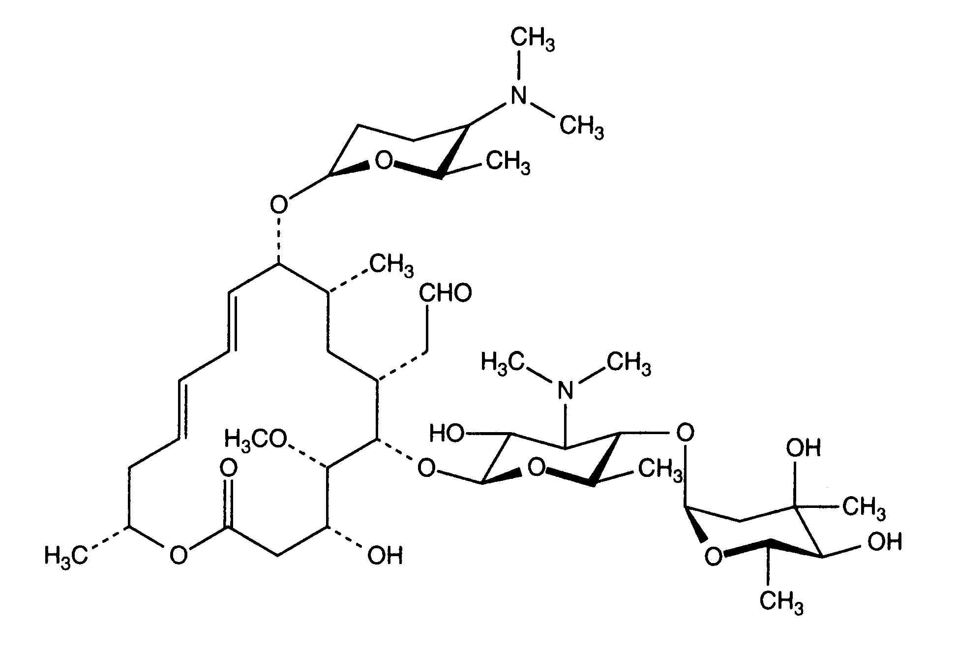
   Chemický vzorec  

Obchodný názov   Obchodný názov     

Obchodné názvy sú orientačné, a zloženie pomocných látok sa môže líšiť v závislosti od krajiny a výrobcu.

Rovamycine Francúzsko, Poľsko
Stabilita v zmesiach   Injekcia   Stabilita v zmesiach : Spiramycine adipate     
žiadne údaje

  Mentions Légales