Pēdējā atjaunošana :
27/04/2026
Antibiotika   Spiramycine adipate  
Injekcija
Šķīduma stabilitāte Maisījuma stabilitāte Stabilitāti ietekmējoši faktori Saderība Levadīšanas veids Literatūras saraksts pdf
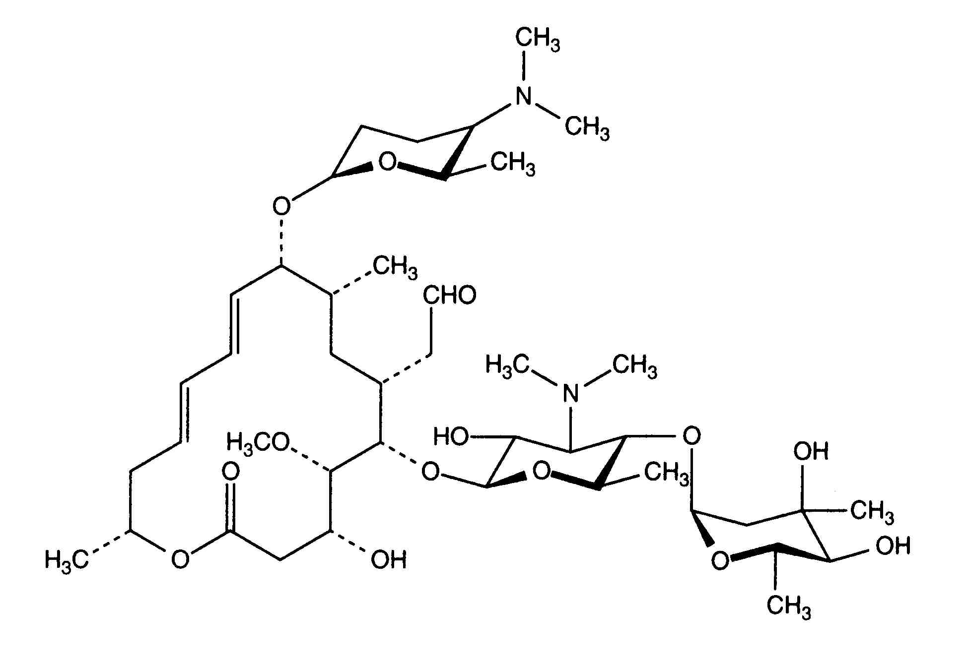
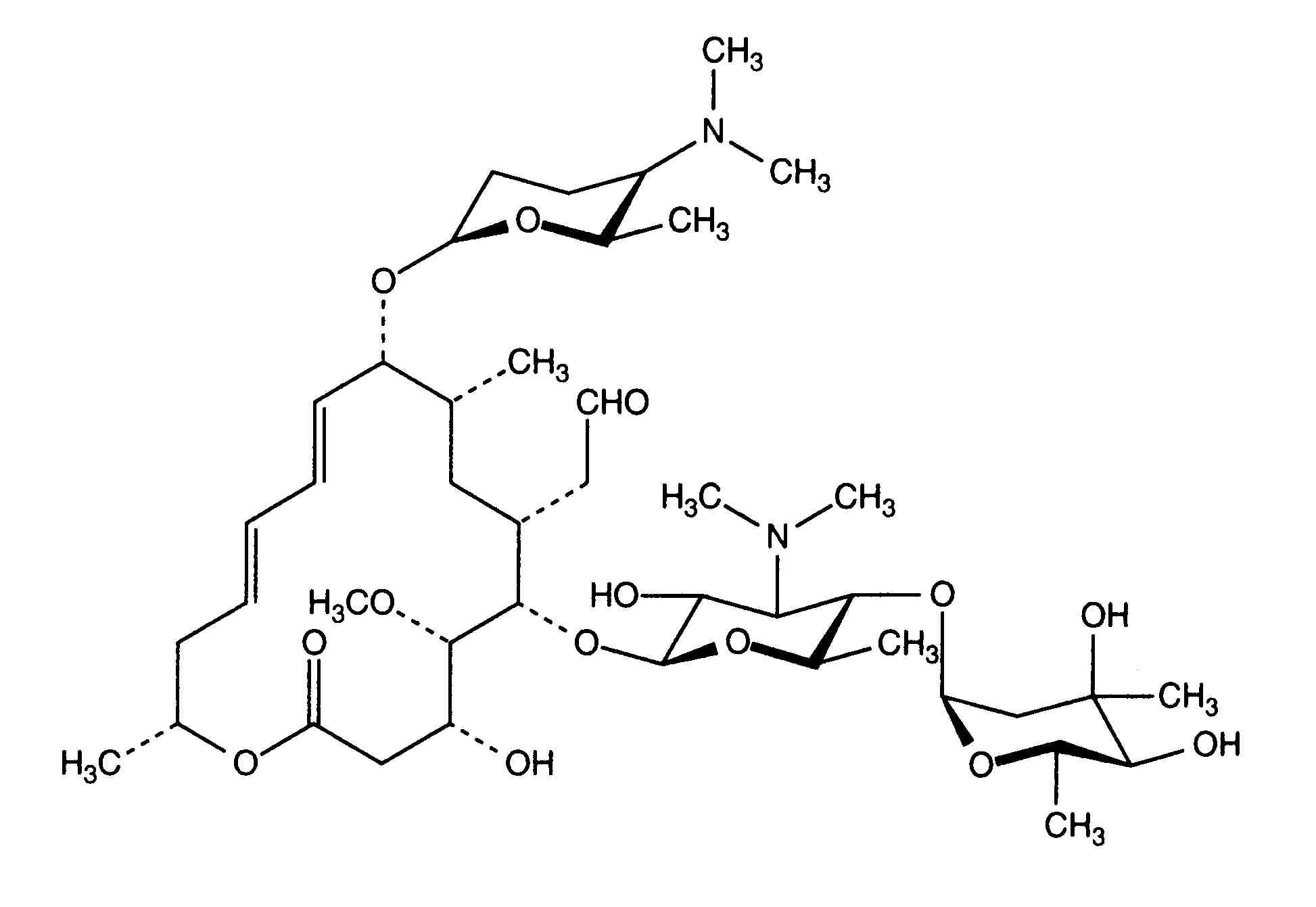
   Ķīmiskā uzbūve   

Oriģinālais nosaukums   Oriģinālais nosaukums     

Tirdzniecības nosaukumi ir apzīmējoši un palīgvielas var atšķirties dažādām valstīm un laboratorijām

Rovamycine Francija, Polija
Maisījuma stabilitāte   Injekcija   Maisījuma stabilitāte : Spiramycine adipate     
Nav datu

  Mentions Légales