Последно актуализиране :
27/04/2026
Антибиотик   Netilmicin sulfate  
Инжекция/Инжекционен
Аерозол
Стабилност на разтвори Стабилност на смеси Фактори, повлияващи стабилността Съвместимост Път на въвеждане Библиография Pdf
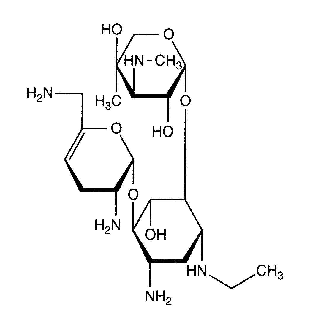
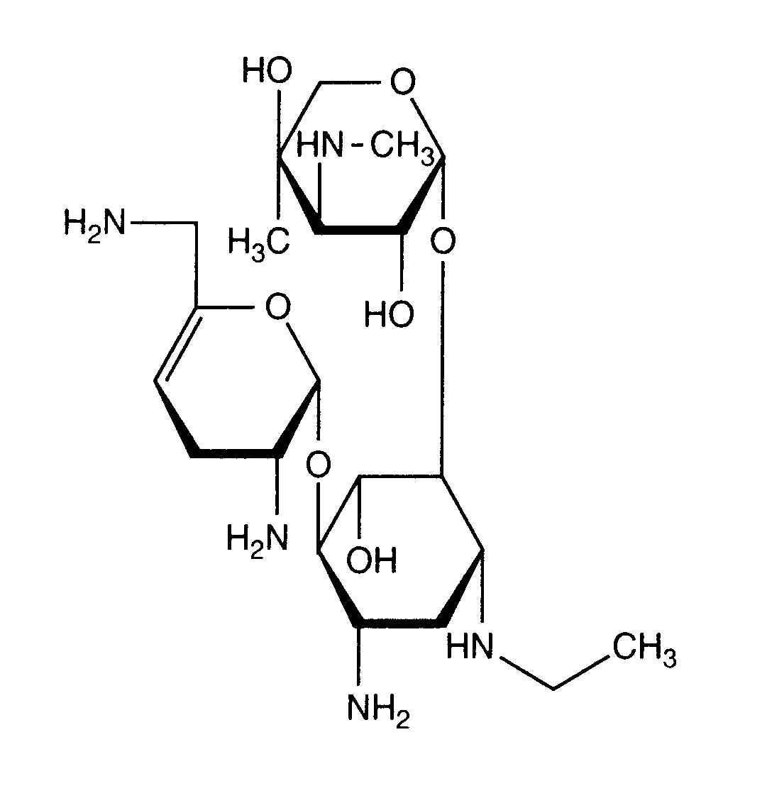
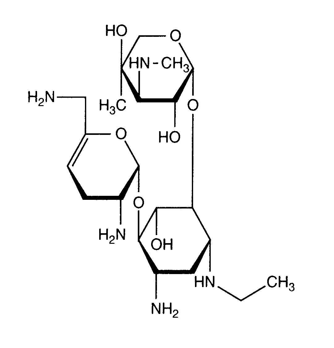
   Химична структура  

Търговско наименование   Търговско наименование     

Търговските имена са примерни и съставът на помощните вещества може да бъде различен в зависимост от държавата и лабораториите

Bactob Индия
Beltob Индия
Bramicil Италия
Brulamycin Унгария
Eltol Индия
Fytobra Индия
Gernebcin Германия
Komitub Индия
Nebcin Австралия, Великобритания, Гърция, Египет, нова Зеландия, Обединени арабски емирства, Саудитска Арабия
Nebcina Дания, Мароко, Норвегия, Швеция
Nebcine Мароко
Nebicina Италия
Netilyn Финландия, Швеция
Netromicina Португалия
Netromicine Франция
Netromycine Гърция, Полша, Русия, Турция
Nettacin Италия
Obracin Белгия, Люксенбург, Холандия, Швейцария
Tobra Германия
Tobra Alex Египет
Tobra Day нова Зеландия
Tobra Gobens Испания
Tobracin Египет
Tobradistin Испания
Tobramicina Венецуела, Испания, Италия, Португалия
Tobramina Бразилия
Tobramycin Австралия, Великобритания, Германия, Ирландия, Канада, Норвегия, Саудитска Арабия, Съединени Американски щати / САЩ
Tobramycine Ирландия, Франция, Холандия
Tobrasix Австрия
Tobrazid Германия
Tomycin Финландия
Zetamicin Италия
Библиография   Инжекция/Инжекционен   Библиография : Netilmicin sulfate  
Вид Публикация
3 Списание Trissel LA, Martinez JF.
Compatibility of amifostine with selected drugs during simulated Y-site administration.
Am J Health-Syst Pharm 1995 ; 52: 2208-2212.
59 Списание Trissel LA, Gilbert DL, Martinez JF, Kim MC.
Compatibility of remifentanil hydrochloride with selected drugs during simulated Y-site administration.
Am J Health-Syst Pharm 1997 ; 54: 2192-2196.
84 Списание Trissel LA, Martinez JF.
Visual, turbidimetric, and particle-content assessment of compatibility of vinorelbine tartrate with selected drugs during simulated Y-site injection.
Am J Hosp Pharm 1994 ; 51: 495-499.
99 Списание Trissel LA, Martinez JF.
Compatibility of aztreonam with selected drugs during simulated Y-site administration.
Am J Health-Syst Pharm 1995 ; 52: 1086-1090.
169 Списание Trissel LA, Martinez JF.
Physical compatibility of melphalan with selected drugs during simulated Y-site administration.
Am J Hosp Pharm 1993 ; 50: 2359-2363.
182 Списание Trissel LA, Gilbert DL, Martinez JF.
Compatibility of granisetron hydrochloride with selected drugs during simulated Y-site administration.
Am J Health-Syst Pharm 1997 ; 54: 56-60.
244 Списание Trissel LA, Martinez JF.
Compatibility of filgrastim with selected drugs during simulated Y-site administration.
Am J Hosp Pharm 1994 ; 51: 1907-1913.
249 Списание Trissel LA, Martinez JF.
Compatibility of thiotepa (lyophilized) with selected drugs during simulated Y-site administration.
Am J Health-Syst Pharm 1996 ; 53: 1041-1045.
251 Списание Trissel LA, Gilbert DL, Martinez JF.
Compatibility of doxorubicin hydrochloride liposome injection with selected other drugs during simulated Y-site administration.
Am J Health-Syst Pharm 1997 ; 54: 2708-2713.
289 Списание Jim LK.
Physical and chemical compatibility of intravenous ciprofloxacin with other drugs.
Ann Pharmacotherapy 1993 ; 27: 704-707.
299 Списание Trissel LA, Martinez JF, Gilbert DL.
Compatibility of cisatracurium besylate with selected drugs during simulated Y-site administration.
Am J Health-Syst Pharm 1997 ; 54: 1735-1741.
300 Списание Trissel LA, Gilbert DL, Martinez JF.
Compatibility of propofol injectable emulsion with selected drugs during simulated Y-site administration.
Am J Health-Syst Pharm 1997 ; 54: 1287-1292.
301 Списание Trissel LA, Gilbert DL, Martinez JF, Baker MB, Walter WV, Mirtallo JM.
Compatibility of parenteral nutrient solutions with selected drugs during simulated Y-site administration.
Am J Health-Syst Pharm 1997 ; 54: 1295-1300.
307 Списание Trissel LA, Martinez JF.
Compatibility of allopurinol sodium with selected drugs during simulated Y-site administration.
Am J Hosp Pharm 1994 ; 51: 1792-1799.
335 Списание Trissel LA, Bready BB, Kwan JW, Santiago NM.
Visual compatibility of sargramostim with selected antineoplasic agents, anti-infectives, or other drugs during simulated Y-site injection.
Am J Hosp Pharm 1992 ; 49: 402-406.
367 Списание Thompson DF, Allen LV, Desai SR, Rao PS.
Compatibility of furosemide with aminoglycoside admixtures.
Am J Hosp Pharm 1985 ; 42: 116-119.
421 Списание Foley PT, Bosso JA, Bair JN, Townsend RJ.
Compatibility of clindamycin phosphate with cefotaxim sodium or netilmicin sulfate in small-volume admixtures.
Am J Hosp Pharm 1985 ; 42: 839-843.
492 Списание Trissel LA, Parks NPT, Santiago NM.
Visual compatibility of fludarabine phosphate with antineoplastic drugs, anti-infectives, and other selected drugs during simulated Y-site injection.
Am J Hosp Pharm 1991 ; 48: 2186-2189.
905 Списание Trissel LA, Martinez JF.
Screening teniposide for Y-site physical incompatibilities.
Hosp Pharm 1994 ; 29: 1010-1017.
921 Списание Trissel LA, Gilbert DL, Martinez JF.
Incompatibility and compatibility of amphotericin B cholesteryl sulfate complex with selected other drugs during simulated Y-site administration.
Hosp Pharm 1998 ; 33: 284-292.
958 Списание Vervloet E, Lammers J, Tan LSL, Van Mourik CH, Rots M.
Netilmicin sulfate stability in combinaison with metronidazole or ranitidine hydrochloride in NaCl 0.9% infusion.
Ann Pharmacotherapy 1990 ; 24: 440-442.
999 Списание Watson D.
Piggyback compatibility of antibiotics with pediatric parenteral nutrition solution.
JPEN 1985 ; 9: 220-224.
1022 Списание Hutchinson SMW.
Heparin and aminoglycosides instability.
Drug Intell Clin Pharm 1986 ; 20: 886.
1035 Списание Bisaillon S, Sarrazin R.
Compatibility of several antibiotics or hydrocortisone when added to metronidazole solution for intravenous infusion.
J Parenter Sci Technol 1983 ; 37: 129-132.
1200 Списание Chaudry IA, Bruey KP, Hurlburt LE, Oden EM.
Compatibility of netilmycin sulfate injection with commonly used intravenous injections and additives.
Am J Hosp Pharm 1981 ; 38: 1737-1742.
1236 Списание Kuhn RJ, Nahata MC.
Stability of netilmicin sulfate in admixtures with calcium gluconate and aminophylline.
Am J Hosp Pharm 1986 ; 43: 1241-1242.
1410 Списание Trissel LA, Martinez JF, Simmons M.
Compatibility of etoposide phosphate with selected drugs during simulated Y-site injection.
J Am Pharm Assoc 1999 ; 39: 141-145.
1415 Списание Trissel L.A, Gilbert D.L, Martinez J.F, Baker M.B, Walter W.V, Mirtallo J.M.
Compatibility of medications with 3-in-1 parenteral nutrition admixtures.
JPEN 1999 ; 23: 67-74.
1423 Списание Trissel LA, Martinez JF, Gilbert DL.
Compatibility of gemcitabine hyrochloride with 107 selected drugs during simulated Y-site injection.
J Am Pharm Assoc 1999 ; 39: 514-518.
1754 Списание Trissel LA, Gilbert DL, Wolkin AC.
Compatibility of docetaxel with selected drugs during simulated Y-site administration.
Int J Pharm Compound 1999 ; 3: 241-244.
1925 Списание Trissel LA , Williams KY, Gilbert DL.
Compatibility screening of linezolid injection during simulated Y-site administration with other drugs and infusion solutions.
J Am Pharm Assoc 2000 ; 40: 515-519.
1929 Списание Rigge DC, Jones MF.
Shelf lives of aseptically prepared medicines - stability of netilmicin injection in polypropylene syringes.
J Pharm Biomed Anal 2004 ; 35: 1251-1256.
2296 Лаборатория Témocilline (Negaban®) - Résumé des caractéristiques du produit
Eumedica 2017
3522 Лаборатория Flucloxacillin - Summary of Product Characteristics.
Actavis 2013
3523 Лаборатория Ceftriaxone (Rocephin®) - Summary of Product Characteristics.
Roche 2018
3526 Лаборатория Clindamycin (Dalacin®) - Summary of Product Characteristics
Pharmacia 2010
3527 Лаборатория Amoxicillin (Amoxil®) – Summary of Product Characteristics
Glaxo Smith Kline 2018
3540 Лаборатория Heparin sodium - Summary of Product Characteristics.
Wockhardt 2010
3543 Лаборатория Ceftazidime – Summary of Product Characteristics
Wockhardt 2013
3544 Лаборатория Cefoperazone (Cefobid®) - Summary of Product Characteristics
Pfizer 2006
3545 Лаборатория Amoxicilline / acide clavulanique - Résumé des caractéristiques du produit
Mylan SAS 2009
3546 Лаборатория Cefamandole Flavelab - Résumé des caractéristiques du produit
Panpharma SA 2007
3548 Лаборатория Cefepime (Maxipime®) - Summary of Product caracteristics.
Bristol Myers Squibb 2007
3578 Лаборатория Cisplatin - Summary of Product Characteristics
Accord Healthcare 2011
3586 Лаборатория Piperacilline tazobactam Actavis® - Résumé des caractéristiques du produit
Actavis France 2010
3587 Лаборатория Ticarcilline/acide clavulanique (Timentin®) - Summary of Product Characteristics
GlaxoSmithKline 2014
3594 Лаборатория Metronidazole (Flagyl®) - Summary of Product Characteristics
Zentiva 2013
3644 Лаборатория Calcium gluconate® - Summary of Product Characteristics
Hameln Pharmaceuticals 2010
3656 Лаборатория Teicoplanine (Targocid®) - Résumé des caractéristiques du produit
Sanofi Aventis France 2014
3674 Лаборатория Erythromycin lactobionate - Summary of Product Characteristics
PanPharma 2016
3687 Лаборатория Cefuroxime sodium - Summary of Product Characteristics
Stravencon 2013
3883 Лаборатория Ceftazidime - Résumé des caractéristiques du produit
Arrow 2016
4964 Лаборатория GLUCONATE DE CALCIUM 10 % B.BRAUN, solution pour perfusion - Résumé des caractéristiques du produit.
B BRAUN MELSUNGEN AG 2019

  Mentions Légales