Cập nhật lần cuối :
16/12/2025
Kháng sinh   Piperacillin sodium / tazobactam  
Dạng tiêm
Tính ổn định của các dung dịch Độ ổn định khi trộn lẫn Những yếu tố ảnh hưởng đến độ ổn định Khả năng tương thích Đường dùng Tài liệu tham khảo Pdf
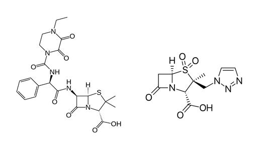
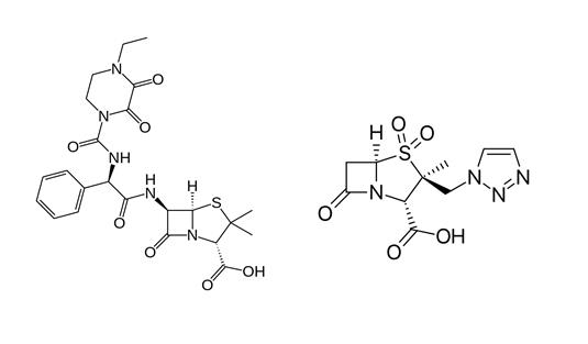
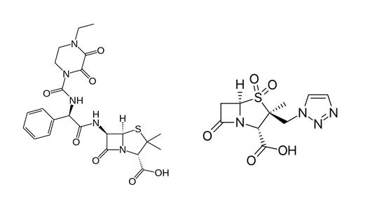
   Cấu trúc hóa học  

Tên thương mại   Tên thương mại     

Các tên thương mại được cung cấp và thành phần tá dược có thể khác nhau giữa các quốc gia và các hãng dược

Bagotaz Argentina
Betampil Ecuador
Bioval Chile
Petezam Argentina
Piperac Đức
Piperacillin tazobactam Bỉ, Canada, Đức
Piperazam Brazil
Pipetazo Chile
Pipitaz Áo
Pixamol Colombia
Tazobac Bồ Đào Nha, Ecuador, Thụy Sỹ, Ý
Tazocel Tây Ban Nha
Tazocilline Pháp
Tazocin Ả Rập, Anh, Argentina, Ba Lan, Bắc ireland, Brazil, Colombia, Cộng hòa Nam Phi, Croatia, Hà Lan, Hungary, Hy Lạp, Luxembourg, Mexico, Na Uy, new zealand, Peru, Phần Lan, Thổ Nhĩ Kỳ, Thụy Điển, Úc, United Arab Emirates, Ý, Đan Mạch
Tazonam Áo, Chile
Tazopip Úc
Tazpen Colombia, Mexico
Tazrobida Colombia
Tigux Chile
Tratac Chile
Trital Ecuador
Zosyn Hoa Kỳ, Nhật
Tính ổn định của các dung dịch   Dạng tiêm   Tính ổn định của các dung dịch : Piperacillin sodium / tazobactam     
Bao bì Dung môi Nồng độ Nhiệt độ Bảo quản Thời gian ổn định Mục lục
Thủy tinh Nước cất pha tiêm 20/2,5 mg/ml 2-8°C Tránh ánh sáng
2 Ngày
4922
Cấp độ bằng chứng D

Thủy tinh NaCl 0.9% + phenol 0.4% 20/2,5 mg/ml 2-8°C Tránh ánh sáng
2 Ngày
4922
Cấp độ bằng chứng D

Nhựa polyvinyl chloride NaCl 0,9% 20 / 2.5 mg/ml 23°C
72 Giờ
2345
Cấp độ bằng chứng A

Nhựa polyvinyl chloride NaCl 0,9% 20 / 2.5 mg/ml 5°C Tránh ánh sáng
28 Ngày
2345
Cấp độ bằng chứng A

Nhựa polyvinyl chloride NaCl 0,9% 40 / 5 mg/ml 25°C Ánh sáng
4 Ngày
2026
Cấp độ bằng chứng B

Nhựa polyvinyl chloride NaCl 0,9% 40 / 5 mg/ml 7°C Tránh ánh sáng
5 Ngày
2026
Cấp độ bằng chứng B

Nhựa polyvinyl chloride NaCl 0,9% 80 / 10 mg/ml -15°C Tránh ánh sáng
30 Ngày
274
Cấp độ bằng chứng D

Nhựa polyvinyl chloride NaCl 0,9% 80 / 10 mg/ml 25°C Không rõ
24 Giờ
274
Cấp độ bằng chứng D

Nhựa polyvinyl chloride NaCl 0,9% 80 / 10 mg/ml 4°C Tránh ánh sáng
7 Ngày
274
Cấp độ bằng chứng D

Nhựa polyvinyl chloride Glucose 5% 33.3 / 4.1 mg/ml -20°C Tránh ánh sáng
90 Ngày
1946

Nhựa polyvinyl chloride Glucose 5% 33.3 / 4.1 mg/ml 4°C Không rõ
35 Ngày
1946

Nhựa polyvinyl chloride Glucose 5% 80 / 10 mg/ml -15°C Tránh ánh sáng
30 Ngày
274
Cấp độ bằng chứng D

Nhựa polyvinyl chloride Glucose 5% 80 / 10 mg/ml 23°C
72 Giờ
2345
Cấp độ bằng chứng A

Nhựa polyvinyl chloride Glucose 5% 80 / 10 mg/ml 25°C Không rõ
24 Giờ
274
Cấp độ bằng chứng D

Nhựa polyvinyl chloride Glucose 5% 80 / 10 mg/ml 4°C Tránh ánh sáng
7 Ngày
274
Cấp độ bằng chứng D

Nhựa polyvinyl chloride Glucose 5% 80 / 10 mg/ml 5°C Tránh ánh sáng
28 Ngày
2345
Cấp độ bằng chứng A

Nhựa polyolefin NaCl 0,9% 40 / 5 mg/ml 25°C Ánh sáng
3 Ngày
2026
Cấp độ bằng chứng B

Nhựa polyolefin NaCl 0,9% 40 / 5 mg/ml 7°C Tránh ánh sáng
17 Ngày
2026
Cấp độ bằng chứng B

Nhựa polyolefin NaCl 0,9% 50.6 / 6.3 mg/ml 2-8°C Không rõ
17 Ngày
4620
Cấp độ bằng chứng A+

Nhựa polyolefin NaCl 0,9% 50.6 / 6.3 mg/ml 25°C Không rõ
3 Giờ
4620
Cấp độ bằng chứng A+

Nhựa polyolefin Glucose 5% 33,3 / 4,1 mg/ml -20°C Tránh ánh sáng
90 Ngày
4148
Cấp độ bằng chứng D

Nhựa polyolefin Glucose 5% 33,3 / 4,1 mg/ml 2-8°C Không rõ
58 Ngày
4148
Cấp độ bằng chứng D

Nhựa polyolefin Glucose 5% 50.6 / 6.3 mg/ml 2-8°C Không rõ
17 Ngày
4621
Cấp độ bằng chứng A+

Nhựa polyolefin Glucose 5% 50.6 / 6.3 mg/ml 25°C Không rõ
3 Giờ
4621
Cấp độ bằng chứng A+

ống tiêm polypropylene Nước cất pha tiêm 20/2,5 mg/ml 2-8°C Tránh ánh sáng
2 Ngày
4922
Cấp độ bằng chứng D

ống tiêm polypropylene NaCl 0,9% 125/15,6 mg/ml 20-25°C Ánh sáng
48 Giờ
4634
Cấp độ bằng chứng C+

ống tiêm polypropylene NaCl 0,9% 150 / 18,75 mg/ml 4°C Tránh ánh sáng
7 Ngày
274
Cấp độ bằng chứng D

ống tiêm polypropylene NaCl 0,9% 150 / 18.75 mg/ml -15°C Tránh ánh sáng
30 Ngày
274
Cấp độ bằng chứng D

ống tiêm polypropylene NaCl 0,9% 150 / 18.75 mg/ml 25°C Không rõ
24 Giờ
274
Cấp độ bằng chứng D

ống tiêm polypropylene NaCl 0,9% 200 / 25 mg/ml -15°C Tránh ánh sáng
30 Ngày
274
Cấp độ bằng chứng D

ống tiêm polypropylene NaCl 0,9% 200 / 25 mg/ml 25°C Không rõ
24 Giờ
274
Cấp độ bằng chứng D

ống tiêm polypropylene NaCl 0,9% 200 / 25 mg/ml 4°C Tránh ánh sáng
7 Ngày
274
Cấp độ bằng chứng D

ống tiêm polypropylene NaCl 0,9% 80 / 10 mg/ml 25°C Ánh sáng
12 Giờ
4326
Cấp độ bằng chứng B

ống tiêm polypropylene Glucose 5% 125/15,6 mg/ml 20-25°C Ánh sáng
48 Giờ
4634
Cấp độ bằng chứng C+

ống tiêm polypropylene Glucose 5% 150 / 18,75 mg/ml 4°C Tránh ánh sáng
7 Ngày
274
Cấp độ bằng chứng D

ống tiêm polypropylene Glucose 5% 150 / 18.75 mg/ml -15°C Tránh ánh sáng
30 Ngày
274
Cấp độ bằng chứng D

ống tiêm polypropylene Glucose 5% 150 / 18.75 mg/ml 25°C Không rõ
24 Giờ
274
Cấp độ bằng chứng D

ống tiêm polypropylene Glucose 5% 200 / 25 mg/ml -15°C Tránh ánh sáng
30 Ngày
274
Cấp độ bằng chứng D

ống tiêm polypropylene Glucose 5% 200 / 25 mg/ml 25°C Không rõ
24 Giờ
274
Cấp độ bằng chứng D

ống tiêm polypropylene Glucose 5% 200 / 25 mg/ml 4°C Tránh ánh sáng
7 Ngày
274
Cấp độ bằng chứng D

ống tiêm polypropylene NaCl 0.9% + phenol 0.4% 20/2,5 mg/ml 2-8°C Tránh ánh sáng
2 Ngày
4922
Cấp độ bằng chứng D

Chất đàn hồi polyisoprene NaCl 0,9% 50 / 6,25 mg/ml 32°C Tránh ánh sáng
24 Giờ
4850
Cấp độ bằng chứng A+

Chất đàn hồi polyisoprene NaCl 0,9% 66,7/8,3 mg/ml 37°C Tránh ánh sáng
8 Giờ
4634
Cấp độ bằng chứng C+

Chất đàn hồi polyisoprene NaCl 0,9% 80 / 10 & 10 / 1.25 mg/ml 25°C Không rõ
24 Giờ
604
Các dữ liệu về độ ổn định của nhà sản xuất

Chất đàn hồi polyisoprene NaCl 0,9% 80 / 10 & 10 / 1.25 mg/ml 4°C Tránh ánh sáng
7 Ngày
604
Các dữ liệu về độ ổn định của nhà sản xuất

Chất đàn hồi polyisoprene Glucose 5% 66,7/8,3 mg/ml 37°C Tránh ánh sáng
24 Giờ
4634
Cấp độ bằng chứng C+

Chất đàn hồi polyisoprene Glucose 5% 80 / 10 & 10 / 1.25 mg/ml 25°C Không rõ
24 Giờ
604
Các dữ liệu về độ ổn định của nhà sản xuất

Chất đàn hồi polyisoprene Glucose 5% 80 / 10 & 10 / 1.25 mg/ml 4°C Tránh ánh sáng
7 Ngày
604
Các dữ liệu về độ ổn định của nhà sản xuất

Chất đàn hồi polyisoprene NaCl 0,9% tampon citrate 0,3% pH7 22 / 3 mg/ml 2-8°C Không rõ
13 Ngày
4512
Cấp độ bằng chứng A+

Chất đàn hồi polyisoprene NaCl 0,9% tampon citrate 0,3% pH7 22 / 3 mg/ml 32°C Không rõ
24 Giờ
4512
Cấp độ bằng chứng A+

Chất đàn hồi polyisoprene NaCl 0,9% tampon citrate 0,3% pH7 80 / 10 mg/ml 2-8°C Không rõ
13 Ngày
4512
Cấp độ bằng chứng A+

Chất đàn hồi polyisoprene NaCl 0,9% tampon citrate 0,3% pH7 80 / 10 mg/ml 32°C Không rõ
24 Giờ
4512
Cấp độ bằng chứng A+

Chất đàn hồi silicone NaCl 0,9% tampon citrate 0,3% pH7 22 / 3 mg/ml 2-8°C Không rõ
13 Ngày
4512
Cấp độ bằng chứng A+

Chất đàn hồi silicone NaCl 0,9% tampon citrate 0,3% pH7 22 / 3 mg/ml 32°C Không rõ
24 Giờ
4512
Cấp độ bằng chứng A+

Chất đàn hồi silicone NaCl 0,9% tampon citrate 0,3% pH7 80 / 10 mg/ml 2-8°C Không rõ
13 Ngày
4512
Cấp độ bằng chứng A+

Chất đàn hồi silicone NaCl 0,9% tampon citrate 0,3% pH7 80 / 10 mg/ml 32°C Không rõ
24 Giờ
4512
Cấp độ bằng chứng A+

Elastomer (không xác định) Nước cất pha tiêm 128 / 16 mg/ml 25°C Không rõ
72 Giờ
2042
Cấp độ bằng chứng D

Elastomer (không xác định) Nước cất pha tiêm 128 / 16 mg/ml 37°C Không rõ
24 Giờ
2042
Cấp độ bằng chứng D

Không rõ NaCl 0,9% 40 / 5 mg/ml 22-23°C Tránh ánh sáng
24 Giờ
4758
Cấp độ bằng chứng B

Không rõ Dianéal® PD2 4,25% glucose (Baxter) 0.2 / 0.025 mg/ml 23°C Không rõ
7 Ngày
2451
Cấp độ bằng chứng A

Không rõ Dianéal® PD2 4,25% glucose (Baxter) 0.2 / 0.025 mg/ml 37°C Không rõ
24 Giờ
2451
Cấp độ bằng chứng A

Không rõ Dianéal® PD2 4,25% glucose (Baxter) 0.2 / 0.025 mg/ml 4°C Không rõ
14 Ngày
2451
Cấp độ bằng chứng A

Không rõ Dianéal® PD2 1,5% glucose (Baxter) 0.2 / 0.025 mg/ml 23°C Không rõ
7 Ngày
2451
Cấp độ bằng chứng A

Không rõ Dianéal® PD2 1,5% glucose (Baxter) 0.2 / 0.025 mg/ml 37°C Không rõ
24 Giờ
2451
Cấp độ bằng chứng A

Không rõ Dianéal® PD2 1,5% glucose (Baxter) 0.2 / 0.025 mg/ml 4°C Không rõ
14 Ngày
2451
Cấp độ bằng chứng A


  Mentions Légales