Viimeisin päivitys :
16/12/2025
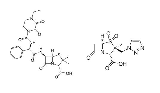
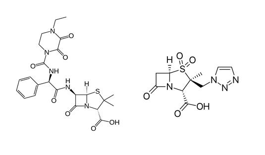
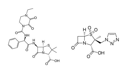
Antibiootit   Piperacillin sodium / tazobactam  
Injektioneste
Stabilius liuoksessa Stabilius seoksissa Tekijät, jotka vaikuttavat stabiliuteen Yhteensopivuus Antotapa Viitteet pdf
   Kemiallinen rakenne  

Kauppanimi   Kauppanimi     

Trade names are indicative and excipients composition can be different depending on the country and manufacturers

Bagotaz Argentiina
Betampil Ecuador
Bioval Chile
Petezam Argentiina
Piperac Saksa
Piperacillin tazobactam Belgia, Kanada, Saksa
Piperazam Brasilia
Pipetazo Chile
Pipitaz Itävalta
Pixamol Kolumbia
Tazobac Ecuador, Italia, Portugali, Sveitsi
Tazocel Espanja
Tazocilline Ranska
Tazocin Argentiina, Australia, Brasilia, Egypti, Etelä-Afrikka, Hollanti, Iso-Britannia, Italia, Kolumbia, Kreikka, Kroatia, Luxemburg, Marokko, Meksiko, New Zealand, Norja, Pohjois-Irlanti, Puola, Ruotsi, Suomi, Tanska, Turkki, Unkari, Yhdistyneet arabiemiirikunnat
Tazonam Chile, Itävalta
Tazopip Australia
Tazpen Kolumbia, Meksiko
Tazrobida Kolumbia
Tigux Chile
Tratac Chile
Trital Ecuador
Zosyn Japani, Yhdysvallat
Stabilius liuoksessa   Injektioneste   Stabilius liuoksessa : Piperacillin sodium / tazobactam     
Astia Liuotin Konsentraatio Lämpötila Säilytys Vakauden kesto Viitteet
Lasi Injektionesteisiin käytettävä vesi 20/2,5 mg/ml 2-8°C Suojattava valolta
2 Päivä
4922
Näytön laajuus D

Lasi NaCl 0.9% + fenoli 0.4% 20/2,5 mg/ml 2-8°C Suojattava valolta
2 Päivä
4922
Näytön laajuus D

Polyvinyylikloridi Natriumkloridi 0,9% 20 / 2.5 mg/ml 23°C
72 tunti
2345
Näytön laajuus A

Polyvinyylikloridi Natriumkloridi 0,9% 20 / 2.5 mg/ml 5°C Suojattava valolta
28 Päivä
2345
Näytön laajuus A

Polyvinyylikloridi Natriumkloridi 0,9% 40 / 5 mg/ml 25°C Valo
4 Päivä
2026
Näytön laajuus B

Polyvinyylikloridi Natriumkloridi 0,9% 40 / 5 mg/ml 7°C Suojattava valolta
5 Päivä
2026
Näytön laajuus B

Polyvinyylikloridi Natriumkloridi 0,9% 80 / 10 mg/ml -15°C Suojattava valolta
30 Päivä
274
Näytön laajuus D

Polyvinyylikloridi Natriumkloridi 0,9% 80 / 10 mg/ml 25°C Ei määritetty
24 tunti
274
Näytön laajuus D

Polyvinyylikloridi Natriumkloridi 0,9% 80 / 10 mg/ml 4°C Suojattava valolta
7 Päivä
274
Näytön laajuus D

Polyvinyylikloridi Glukoosi 5% 33.3 / 4.1 mg/ml -20°C Suojattava valolta
90 Päivä
1946

Polyvinyylikloridi Glukoosi 5% 33.3 / 4.1 mg/ml 4°C Ei määritetty
35 Päivä
1946

Polyvinyylikloridi Glukoosi 5% 80 / 10 mg/ml -15°C Suojattava valolta
30 Päivä
274
Näytön laajuus D

Polyvinyylikloridi Glukoosi 5% 80 / 10 mg/ml 23°C
72 tunti
2345
Näytön laajuus A

Polyvinyylikloridi Glukoosi 5% 80 / 10 mg/ml 25°C Ei määritetty
24 tunti
274
Näytön laajuus D

Polyvinyylikloridi Glukoosi 5% 80 / 10 mg/ml 4°C Suojattava valolta
7 Päivä
274
Näytön laajuus D

Polyvinyylikloridi Glukoosi 5% 80 / 10 mg/ml 5°C Suojattava valolta
28 Päivä
2345
Näytön laajuus A

Polyolefiini Natriumkloridi 0,9% 40 / 5 mg/ml 25°C Valo
3 Päivä
2026
Näytön laajuus B

Polyolefiini Natriumkloridi 0,9% 40 / 5 mg/ml 7°C Suojattava valolta
17 Päivä
2026
Näytön laajuus B

Polyolefiini Natriumkloridi 0,9% 50.6 / 6.3 mg/ml 2-8°C Ei määritetty
17 Päivä
4620
Näytön laajuus A+

Polyolefiini Natriumkloridi 0,9% 50.6 / 6.3 mg/ml 25°C Ei määritetty
3 tunti
4620
Näytön laajuus A+

Polyolefiini Glukoosi 5% 33,3 / 4,1 mg/ml -20°C Suojattava valolta
90 Päivä
4148
Näytön laajuus D

Polyolefiini Glukoosi 5% 33,3 / 4,1 mg/ml 2-8°C Ei määritetty
58 Päivä
4148
Näytön laajuus D

Polyolefiini Glukoosi 5% 50.6 / 6.3 mg/ml 2-8°C Ei määritetty
17 Päivä
4621
Näytön laajuus A+

Polyolefiini Glukoosi 5% 50.6 / 6.3 mg/ml 25°C Ei määritetty
3 tunti
4621
Näytön laajuus A+

Ruisku  polypropeeni Injektionesteisiin käytettävä vesi 20/2,5 mg/ml 2-8°C Suojattava valolta
2 Päivä
4922
Näytön laajuus D

Ruisku  polypropeeni Natriumkloridi 0,9% 125/15,6 mg/ml 20-25°C Valo
48 tunti
4634
Näytön laajuus C+

Ruisku  polypropeeni Natriumkloridi 0,9% 150 / 18,75 mg/ml 4°C Suojattava valolta
7 Päivä
274
Näytön laajuus D

Ruisku  polypropeeni Natriumkloridi 0,9% 150 / 18.75 mg/ml -15°C Suojattava valolta
30 Päivä
274
Näytön laajuus D

Ruisku  polypropeeni Natriumkloridi 0,9% 150 / 18.75 mg/ml 25°C Ei määritetty
24 tunti
274
Näytön laajuus D

Ruisku  polypropeeni Natriumkloridi 0,9% 200 / 25 mg/ml -15°C Suojattava valolta
30 Päivä
274
Näytön laajuus D

Ruisku  polypropeeni Natriumkloridi 0,9% 200 / 25 mg/ml 25°C Ei määritetty
24 tunti
274
Näytön laajuus D

Ruisku  polypropeeni Natriumkloridi 0,9% 200 / 25 mg/ml 4°C Suojattava valolta
7 Päivä
274
Näytön laajuus D

Ruisku  polypropeeni Natriumkloridi 0,9% 80 / 10 mg/ml 25°C Valo
12 tunti
4326
Näytön laajuus B

Ruisku  polypropeeni Glukoosi 5% 125/15,6 mg/ml 20-25°C Valo
48 tunti
4634
Näytön laajuus C+

Ruisku  polypropeeni Glukoosi 5% 150 / 18,75 mg/ml 4°C Suojattava valolta
7 Päivä
274
Näytön laajuus D

Ruisku  polypropeeni Glukoosi 5% 150 / 18.75 mg/ml -15°C Suojattava valolta
30 Päivä
274
Näytön laajuus D

Ruisku  polypropeeni Glukoosi 5% 150 / 18.75 mg/ml 25°C Ei määritetty
24 tunti
274
Näytön laajuus D

Ruisku  polypropeeni Glukoosi 5% 200 / 25 mg/ml -15°C Suojattava valolta
30 Päivä
274
Näytön laajuus D

Ruisku  polypropeeni Glukoosi 5% 200 / 25 mg/ml 25°C Ei määritetty
24 tunti
274
Näytön laajuus D

Ruisku  polypropeeni Glukoosi 5% 200 / 25 mg/ml 4°C Suojattava valolta
7 Päivä
274
Näytön laajuus D

Ruisku  polypropeeni NaCl 0.9% + fenoli 0.4% 20/2,5 mg/ml 2-8°C Suojattava valolta
2 Päivä
4922
Näytön laajuus D

Polyisopreeni elastomeeri Natriumkloridi 0,9% 50 / 6,25 mg/ml 32°C Suojattava valolta
24 tunti
4850
Näytön laajuus A+

Polyisopreeni elastomeeri Natriumkloridi 0,9% 66,7/8,3 mg/ml 37°C Suojattava valolta
8 tunti
4634
Näytön laajuus C+

Polyisopreeni elastomeeri Natriumkloridi 0,9% 80 / 10 & 10 / 1.25 mg/ml 25°C Ei määritetty
24 tunti
604
Valmistajan antamat stabiiliustiedot

Polyisopreeni elastomeeri Natriumkloridi 0,9% 80 / 10 & 10 / 1.25 mg/ml 4°C Suojattava valolta
7 Päivä
604
Valmistajan antamat stabiiliustiedot

Polyisopreeni elastomeeri Glukoosi 5% 66,7/8,3 mg/ml 37°C Suojattava valolta
24 tunti
4634
Näytön laajuus C+

Polyisopreeni elastomeeri Glukoosi 5% 80 / 10 & 10 / 1.25 mg/ml 25°C Ei määritetty
24 tunti
604
Valmistajan antamat stabiiliustiedot

Polyisopreeni elastomeeri Glukoosi 5% 80 / 10 & 10 / 1.25 mg/ml 4°C Suojattava valolta
7 Päivä
604
Valmistajan antamat stabiiliustiedot

Polyisopreeni elastomeeri NaCl 0,9% tamponisitraatti 0,3% pH7 22 / 3 mg/ml 2-8°C Ei määritetty
13 Päivä
4512
Näytön laajuus A+

Polyisopreeni elastomeeri NaCl 0,9% tamponisitraatti 0,3% pH7 22 / 3 mg/ml 32°C Ei määritetty
24 tunti
4512
Näytön laajuus A+

Polyisopreeni elastomeeri NaCl 0,9% tamponisitraatti 0,3% pH7 80 / 10 mg/ml 2-8°C Ei määritetty
13 Päivä
4512
Näytön laajuus A+

Polyisopreeni elastomeeri NaCl 0,9% tamponisitraatti 0,3% pH7 80 / 10 mg/ml 32°C Ei määritetty
24 tunti
4512
Näytön laajuus A+

Silikoni elastomeeri NaCl 0,9% tamponisitraatti 0,3% pH7 22 / 3 mg/ml 2-8°C Ei määritetty
13 Päivä
4512
Näytön laajuus A+

Silikoni elastomeeri NaCl 0,9% tamponisitraatti 0,3% pH7 22 / 3 mg/ml 32°C Ei määritetty
24 tunti
4512
Näytön laajuus A+

Silikoni elastomeeri NaCl 0,9% tamponisitraatti 0,3% pH7 80 / 10 mg/ml 2-8°C Ei määritetty
13 Päivä
4512
Näytön laajuus A+

Silikoni elastomeeri NaCl 0,9% tamponisitraatti 0,3% pH7 80 / 10 mg/ml 32°C Ei määritetty
24 tunti
4512
Näytön laajuus A+

Elastomeeri (määrittelemätön) Injektionesteisiin käytettävä vesi 128 / 16 mg/ml 25°C Ei määritetty
72 tunti
2042
Näytön laajuus D

Elastomeeri (määrittelemätön) Injektionesteisiin käytettävä vesi 128 / 16 mg/ml 37°C Ei määritetty
24 tunti
2042
Näytön laajuus D

Ei määritetty Natriumkloridi 0,9% 40 / 5 mg/ml 22-23°C Suojattava valolta
24 tunti
4758
Näytön laajuus B

Ei määritetty Dianéal® PD2 4.25% Glukoosi (Baxter) 0.2 / 0.025 mg/ml 23°C Ei määritetty
7 Päivä
2451
Näytön laajuus A

Ei määritetty Dianéal® PD2 4.25% Glukoosi (Baxter) 0.2 / 0.025 mg/ml 37°C Ei määritetty
24 tunti
2451
Näytön laajuus A

Ei määritetty Dianéal® PD2 4.25% Glukoosi (Baxter) 0.2 / 0.025 mg/ml 4°C Ei määritetty
14 Päivä
2451
Näytön laajuus A

Ei määritetty Dianéal® PD2 1.5% Glukoosi (Baxter) 0.2 / 0.025 mg/ml 23°C Ei määritetty
7 Päivä
2451
Näytön laajuus A

Ei määritetty Dianéal® PD2 1.5% Glukoosi (Baxter) 0.2 / 0.025 mg/ml 37°C Ei määritetty
24 tunti
2451
Näytön laajuus A

Ei määritetty Dianéal® PD2 1.5% Glukoosi (Baxter) 0.2 / 0.025 mg/ml 4°C Ei määritetty
14 Päivä
2451
Näytön laajuus A


  Mentions Légales