最新更新 :
18/03/2026
抗菌薬   Piperacillin sodium / tazobactam  
注射薬
溶媒内の安定性 混合時の安定性 安定性に影響する因子 互換性 投与経路 引用文献 PDF
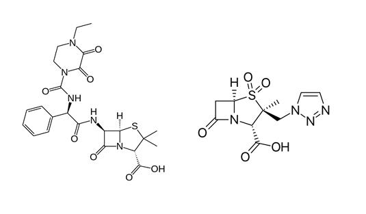
   化学構造  

商品名   商品名     

商品名、賦形剤は国、製薬会社ごとに異なることがあります

Bagotaz アルゼンチン
Betampil エクアドル
Bioval チリ
Petezam アルゼンチン
Piperac ドイツ
Piperacillin tazobactam カナダ, ドイツ, ベルギー
Piperazam ブラジル
Pipetazo チリ
Pipitaz オーストリア
Pixamol コロンビア
Tazobac イタリア, エクアドル, スイス, ポルトガル
Tazocel スペイン
Tazocilline フランス
Tazocin アラブ首長国連邦, アルゼンチン, アーストラリア, イギリス, イタリア, エジプト, オランダ, ギリシア, クロアチア, コロンビア, スウェーデン, デンマーク, トルコ, ニュージーランド, ノルウェー, ハンガリー, フィンランド, ブラジル, ペルー, ポーランド, メキシコ, ルクセンブルグ, 北アイルランド, 南アフリカ共和国
Tazonam オーストリア, チリ
Tazopip アーストラリア
Tazpen コロンビア, メキシコ
Tazrobida コロンビア
Tigux チリ
Tratac チリ
Trital エクアドル
Zosyn アメリカ, 日本
溶媒内の安定性   注射薬   溶媒内の安定性 : Piperacillin sodium / tazobactam     
容器 溶媒 濃度 温度 保管 安定期間 引用文献
ガラス 注射用水 20/2,5 mg/ml 2-8°C 遮光
2 日
4922
エビデンスレベル D

ガラス NaCl 0.9% + フェノール  0.4% 20/2,5 mg/ml 2-8°C 遮光
2 日
4922
エビデンスレベル D

ポリ塩化ビニル(PVC) NaCl 0,9% 20 / 2.5 mg/ml 23°C
72 時間
2345
エビデンスレベル A

ポリ塩化ビニル(PVC) NaCl 0,9% 20 / 2.5 mg/ml 5°C 遮光
28 日
2345
エビデンスレベル A

ポリ塩化ビニル(PVC) NaCl 0,9% 40 / 5 mg/ml 25°C 光
4 日
2026
エビデンスレベル B

ポリ塩化ビニル(PVC) NaCl 0,9% 40 / 5 mg/ml 7°C 遮光
5 日
2026
エビデンスレベル B

ポリ塩化ビニル(PVC) NaCl 0,9% 80 / 10 mg/ml -15°C 遮光
30 日
274
エビデンスレベル D

ポリ塩化ビニル(PVC) グルコース5% 33.3 / 4.1 mg/ml -20°C 遮光
90 日
1946

ポリ塩化ビニル(PVC) グルコース5% 33.3 / 4.1 mg/ml 4°C 特記なし
35 日
1946

ポリ塩化ビニル(PVC) グルコース5% 80 / 10 mg/ml -15°C 遮光
30 日
274
エビデンスレベル D

ポリ塩化ビニル(PVC) グルコース5% 80 / 10 mg/ml 23°C
72 時間
2345
エビデンスレベル A

ポリ塩化ビニル(PVC) グルコース5% 80 / 10 mg/ml 5°C 遮光
28 日
2345
エビデンスレベル A

ポリオレフィン NaCl 0,9% 40 / 5 mg/ml 25°C 光
3 日
2026
エビデンスレベル B

ポリオレフィン NaCl 0,9% 40 / 5 mg/ml 7°C 遮光
17 日
2026
エビデンスレベル B

ポリオレフィン NaCl 0,9% 50.6 / 6.3 mg/ml 2-8°C 特記なし
17 日
4620
エビデンスレベル A+

ポリオレフィン NaCl 0,9% 50.6 / 6.3 mg/ml 25°C 特記なし
3 時間
4620
エビデンスレベル A+

ポリオレフィン グルコース5% 33,3 / 4,1 mg/ml -20°C 遮光
90 日
4148
エビデンスレベル D

ポリオレフィン グルコース5% 33,3 / 4,1 mg/ml 2-8°C 特記なし
58 日
4148
エビデンスレベル D

ポリオレフィン グルコース5% 50.6 / 6.3 mg/ml 2-8°C 特記なし
17 日
4621
エビデンスレベル A+

ポリオレフィン グルコース5% 50.6 / 6.3 mg/ml 25°C 特記なし
3 時間
4621
エビデンスレベル A+

シリンジ ポリプロピレン 注射用水 20/2,5 mg/ml 2-8°C 遮光
2 日
4922
エビデンスレベル D

シリンジ ポリプロピレン NaCl 0,9% 125/15,6 mg/ml 20-25°C 光
48 時間
4634
エビデンスレベル C+

シリンジ ポリプロピレン NaCl 0,9% 150 / 18,75 mg/ml 4°C 遮光
7 日
274
エビデンスレベル D

シリンジ ポリプロピレン NaCl 0,9% 150 / 18.75 mg/ml -15°C 遮光
30 日
274
エビデンスレベル D

シリンジ ポリプロピレン NaCl 0,9% 150 / 18.75 mg/ml 25°C 特記なし
24 時間
274
エビデンスレベル D

シリンジ ポリプロピレン NaCl 0,9% 200 / 25 mg/ml -15°C 遮光
30 日
274
エビデンスレベル D

シリンジ ポリプロピレン NaCl 0,9% 200 / 25 mg/ml 25°C 特記なし
24 時間
274
エビデンスレベル D

シリンジ ポリプロピレン NaCl 0,9% 200 / 25 mg/ml 4°C 遮光
7 日
274
エビデンスレベル D

シリンジ ポリプロピレン NaCl 0,9% 80 / 10 mg/ml 25°C 光
12 時間
4326
エビデンスレベル B

シリンジ ポリプロピレン グルコース5% 125/15,6 mg/ml 20-25°C 光
48 時間
4634
エビデンスレベル C+

シリンジ ポリプロピレン グルコース5% 150 / 18,75 mg/ml 4°C 遮光
7 日
274
エビデンスレベル D

シリンジ ポリプロピレン グルコース5% 150 / 18.75 mg/ml -15°C 遮光
30 日
274
エビデンスレベル D

シリンジ ポリプロピレン グルコース5% 150 / 18.75 mg/ml 25°C 特記なし
24 時間
274
エビデンスレベル D

シリンジ ポリプロピレン グルコース5% 200 / 25 mg/ml -15°C 遮光
30 日
274
エビデンスレベル D

シリンジ ポリプロピレン グルコース5% 200 / 25 mg/ml 25°C 特記なし
24 時間
274
エビデンスレベル D

シリンジ ポリプロピレン グルコース5% 200 / 25 mg/ml 4°C 遮光
7 日
274
エビデンスレベル D

シリンジ ポリプロピレン NaCl 0.9% + フェノール  0.4% 20/2,5 mg/ml 2-8°C 遮光
2 日
4922
エビデンスレベル D

ポリイソプレンエラストマー NaCl 0,9% 50 / 6,25 mg/ml 32°C 遮光
24 時間
4850
エビデンスレベル A+

ポリイソプレンエラストマー NaCl 0,9% 66,7/8,3 mg/ml 37°C 遮光
8 時間
4634
エビデンスレベル C+

ポリイソプレンエラストマー NaCl 0,9% 80 / 10 & 10 / 1.25 mg/ml 25°C 特記なし
24 時間
604
製薬会社の安定性データ

ポリイソプレンエラストマー NaCl 0,9% 80 / 10 & 10 / 1.25 mg/ml 4°C 遮光
7 日
604
製薬会社の安定性データ

ポリイソプレンエラストマー グルコース5% 66,7/8,3 mg/ml 37°C 遮光
24 時間
4634
エビデンスレベル C+

ポリイソプレンエラストマー グルコース5% 80 / 10 & 10 / 1.25 mg/ml 25°C 特記なし
24 時間
604
製薬会社の安定性データ

ポリイソプレンエラストマー グルコース5% 80 / 10 & 10 / 1.25 mg/ml 4°C 遮光
7 日
604
製薬会社の安定性データ

ポリイソプレンエラストマー NaCl 0.9%タンポンクエン酸塩0.3%pH7 22 / 3 mg/ml 2-8°C 特記なし
13 日
4512
エビデンスレベル A+

ポリイソプレンエラストマー NaCl 0.9%タンポンクエン酸塩0.3%pH7 22 / 3 mg/ml 32°C 特記なし
24 時間
4512
エビデンスレベル A+

ポリイソプレンエラストマー NaCl 0.9%タンポンクエン酸塩0.3%pH7 80 / 10 mg/ml 2-8°C 特記なし
13 日
4512
エビデンスレベル A+

ポリイソプレンエラストマー NaCl 0.9%タンポンクエン酸塩0.3%pH7 80 / 10 mg/ml 32°C 特記なし
24 時間
4512
エビデンスレベル A+

シリコーンエラストマー NaCl 0.9%タンポンクエン酸塩0.3%pH7 22 / 3 mg/ml 2-8°C 特記なし
13 日
4512
エビデンスレベル A+

シリコーンエラストマー NaCl 0.9%タンポンクエン酸塩0.3%pH7 22 / 3 mg/ml 32°C 特記なし
24 時間
4512
エビデンスレベル A+

シリコーンエラストマー NaCl 0.9%タンポンクエン酸塩0.3%pH7 80 / 10 mg/ml 2-8°C 特記なし
13 日
4512
エビデンスレベル A+

シリコーンエラストマー NaCl 0.9%タンポンクエン酸塩0.3%pH7 80 / 10 mg/ml 32°C 特記なし
24 時間
4512
エビデンスレベル A+

エラストマー(詳細不明) 注射用水 128 / 16 mg/ml 25°C 特記なし
72 時間
2042
エビデンスレベル D

エラストマー(詳細不明) 注射用水 128 / 16 mg/ml 37°C 特記なし
24 時間
2042
エビデンスレベル D

指定なし NaCl 0,9% 40 / 5 mg/ml 22-23°C 遮光
24 時間
4758
エビデンスレベル B

指定なし Dianéal® PD2 4.25% glucose (Baxter) 0.2 / 0.025 mg/ml 23°C 特記なし
7 日
2451
エビデンスレベル A

指定なし Dianéal® PD2 4.25% glucose (Baxter) 0.2 / 0.025 mg/ml 37°C 特記なし
24 時間
2451
エビデンスレベル A

指定なし Dianéal® PD2 4.25% glucose (Baxter) 0.2 / 0.025 mg/ml 4°C 特記なし
14 日
2451
エビデンスレベル A

指定なし Dianéal® PD2 1.5% glucose (Baxter) 0.2 / 0.025 mg/ml 23°C 特記なし
7 日
2451
エビデンスレベル A

指定なし Dianéal® PD2 1.5% glucose (Baxter) 0.2 / 0.025 mg/ml 37°C 特記なし
24 時間
2451
エビデンスレベル A

指定なし Dianéal® PD2 1.5% glucose (Baxter) 0.2 / 0.025 mg/ml 4°C 特記なし
14 日
2451
エビデンスレベル A


  Mentions Légales