Siste oppdatering :
12/12/2025
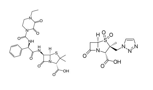
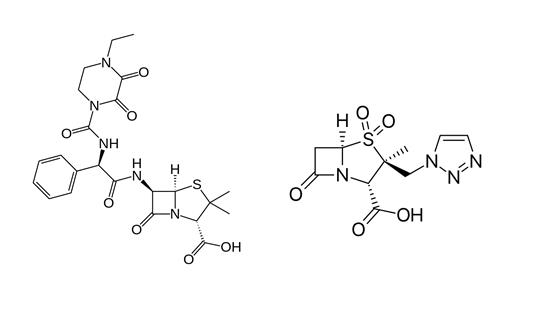
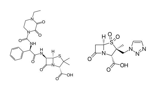
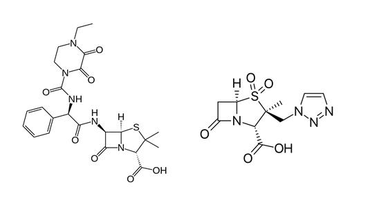
Antibiotika   Piperacillin sodium / tazobactam  
Injeksjon
Oppløsningsstabilitet Stabilitet i blandinger Faktorer som påvirker stabiliteten Kompatibilitet Administrasjonsmåte Referanser pdf
   Kjemisk struktur  

Handelsnavn   Handelsnavn     

Handelsnavn er veiledende og sammensetning av hjelpestoffer kan være forskjellig avhengig av land og produsent

Bagotaz Argentina
Betampil Ecuador
Bioval Chile
Petezam Argentina
Piperac Tyskland
Piperacillin tazobactam Belgia, Canada, Tyskland
Piperazam Brasil
Pipetazo Chile
Pipitaz Østerrike
Pixamol Colombia
Tazobac Ecuador, Italia, Portugal, Sveits
Tazocel Spania
Tazocilline Frankrike
Tazocin Argentina, Australia, Brasil, Colombia, Danmark, De forente arabiske emirater, Egypt, Finland, Hellas, Italia, Kroatia, Luxembourg, Mexico, Nederland, New Zealand, Nord-Irland, Norge, Peru, Polen, Storbritannia, Sverige, Sør-Afrika, Tyrkia, Ungarn
Tazonam Chile, Østerrike
Tazopip Australia
Tazpen Colombia, Mexico
Tazrobida Colombia
Tigux Chile
Tratac Chile
Trital Ecuador
Zosyn Japan, USA
Oppløsningsstabilitet   Injeksjon   Oppløsningsstabilitet : Piperacillin sodium / tazobactam     
Beholder Oppløsningsmiddel Konsentrasjon Temperatur Oppbevaring Varighet av stabilitet Referanser
Glass Vann til injeksjon 20/2,5 mg/ml 2-8°C Beskyttes mot lys
2 Dag
4922
Bevisgrad D

Glass NaCl 0.9% + fenol 0.4% 20/2,5 mg/ml 2-8°C Beskyttes mot lys
2 Dag
4922
Bevisgrad D

Polyvinylklorid Natriumklorid 0,9 % 20 / 2.5 mg/ml 23°C
72 Tid
2345
Bevisgrad A

Polyvinylklorid Natriumklorid 0,9 % 20 / 2.5 mg/ml 5°C Beskyttes mot lys
28 Dag
2345
Bevisgrad A

Polyvinylklorid Natriumklorid 0,9 % 40 / 5 mg/ml 25°C Lys
4 Dag
2026
Bevisgrad B

Polyvinylklorid Natriumklorid 0,9 % 40 / 5 mg/ml 7°C Beskyttes mot lys
5 Dag
2026
Bevisgrad B

Polyvinylklorid Natriumklorid 0,9 % 80 / 10 mg/ml -15°C Beskyttes mot lys
30 Dag
274
Bevisgrad D

Polyvinylklorid Natriumklorid 0,9 % 80 / 10 mg/ml 25°C Ikke angitt
24 Tid
274
Bevisgrad D

Polyvinylklorid Natriumklorid 0,9 % 80 / 10 mg/ml 4°C Beskyttes mot lys
7 Dag
274
Bevisgrad D

Polyvinylklorid Glukose 5 % 33.3 / 4.1 mg/ml -20°C Beskyttes mot lys
90 Dag
1946

Polyvinylklorid Glukose 5 % 33.3 / 4.1 mg/ml 4°C Ikke angitt
35 Dag
1946

Polyvinylklorid Glukose 5 % 80 / 10 mg/ml -15°C Beskyttes mot lys
30 Dag
274
Bevisgrad D

Polyvinylklorid Glukose 5 % 80 / 10 mg/ml 23°C
72 Tid
2345
Bevisgrad A

Polyvinylklorid Glukose 5 % 80 / 10 mg/ml 25°C Ikke angitt
24 Tid
274
Bevisgrad D

Polyvinylklorid Glukose 5 % 80 / 10 mg/ml 4°C Beskyttes mot lys
7 Dag
274
Bevisgrad D

Polyvinylklorid Glukose 5 % 80 / 10 mg/ml 5°C Beskyttes mot lys
28 Dag
2345
Bevisgrad A

Polyolefin Natriumklorid 0,9 % 40 / 5 mg/ml 25°C Lys
3 Dag
2026
Bevisgrad B

Polyolefin Natriumklorid 0,9 % 40 / 5 mg/ml 7°C Beskyttes mot lys
17 Dag
2026
Bevisgrad B

Polyolefin Natriumklorid 0,9 % 50.6 / 6.3 mg/ml 2-8°C Ikke angitt
17 Dag
4620
Bevisgrad A +

Polyolefin Natriumklorid 0,9 % 50.6 / 6.3 mg/ml 25°C Ikke angitt
3 Tid
4620
Bevisgrad A +

Polyolefin Glukose 5 % 33,3 / 4,1 mg/ml -20°C Beskyttes mot lys
90 Dag
4148
Bevisgrad D

Polyolefin Glukose 5 % 33,3 / 4,1 mg/ml 2-8°C Ikke angitt
58 Dag
4148
Bevisgrad D

Polyolefin Glukose 5 % 50.6 / 6.3 mg/ml 2-8°C Ikke angitt
17 Dag
4621
Bevisgrad A +

Polyolefin Glukose 5 % 50.6 / 6.3 mg/ml 25°C Ikke angitt
3 Tid
4621
Bevisgrad A +

Sprøyte polypropylen Vann til injeksjon 20/2,5 mg/ml 2-8°C Beskyttes mot lys
2 Dag
4922
Bevisgrad D

Sprøyte polypropylen Natriumklorid 0,9 % 125/15,6 mg/ml 20-25°C Lys
48 Tid
4634
Bevisgrad C+

Sprøyte polypropylen Natriumklorid 0,9 % 150 / 18,75 mg/ml 4°C Beskyttes mot lys
7 Dag
274
Bevisgrad D

Sprøyte polypropylen Natriumklorid 0,9 % 150 / 18.75 mg/ml -15°C Beskyttes mot lys
30 Dag
274
Bevisgrad D

Sprøyte polypropylen Natriumklorid 0,9 % 150 / 18.75 mg/ml 25°C Ikke angitt
24 Tid
274
Bevisgrad D

Sprøyte polypropylen Natriumklorid 0,9 % 200 / 25 mg/ml -15°C Beskyttes mot lys
30 Dag
274
Bevisgrad D

Sprøyte polypropylen Natriumklorid 0,9 % 200 / 25 mg/ml 25°C Ikke angitt
24 Tid
274
Bevisgrad D

Sprøyte polypropylen Natriumklorid 0,9 % 200 / 25 mg/ml 4°C Beskyttes mot lys
7 Dag
274
Bevisgrad D

Sprøyte polypropylen Natriumklorid 0,9 % 80 / 10 mg/ml 25°C Lys
12 Tid
4326
Bevisgrad B

Sprøyte polypropylen Glukose 5 % 125/15,6 mg/ml 20-25°C Lys
48 Tid
4634
Bevisgrad C+

Sprøyte polypropylen Glukose 5 % 150 / 18,75 mg/ml 4°C Beskyttes mot lys
7 Dag
274
Bevisgrad D

Sprøyte polypropylen Glukose 5 % 150 / 18.75 mg/ml -15°C Beskyttes mot lys
30 Dag
274
Bevisgrad D

Sprøyte polypropylen Glukose 5 % 150 / 18.75 mg/ml 25°C Ikke angitt
24 Tid
274
Bevisgrad D

Sprøyte polypropylen Glukose 5 % 200 / 25 mg/ml -15°C Beskyttes mot lys
30 Dag
274
Bevisgrad D

Sprøyte polypropylen Glukose 5 % 200 / 25 mg/ml 25°C Ikke angitt
24 Tid
274
Bevisgrad D

Sprøyte polypropylen Glukose 5 % 200 / 25 mg/ml 4°C Beskyttes mot lys
7 Dag
274
Bevisgrad D

Sprøyte polypropylen NaCl 0.9% + fenol 0.4% 20/2,5 mg/ml 2-8°C Beskyttes mot lys
2 Dag
4922
Bevisgrad D

Polyisopren elastomer Natriumklorid 0,9 % 50 / 6,25 mg/ml 32°C Beskyttes mot lys
24 Tid
4850
Bevisgrad A +

Polyisopren elastomer Natriumklorid 0,9 % 66,7/8,3 mg/ml 37°C Beskyttes mot lys
8 Tid
4634
Bevisgrad C+

Polyisopren elastomer Natriumklorid 0,9 % 80 / 10 & 10 / 1.25 mg/ml 25°C Ikke angitt
24 Tid
604
Stabilitetsopplysninger fra produsent

Polyisopren elastomer Natriumklorid 0,9 % 80 / 10 & 10 / 1.25 mg/ml 4°C Beskyttes mot lys
7 Dag
604
Stabilitetsopplysninger fra produsent

Polyisopren elastomer Glukose 5 % 66,7/8,3 mg/ml 37°C Beskyttes mot lys
24 Tid
4634
Bevisgrad C+

Polyisopren elastomer Glukose 5 % 80 / 10 & 10 / 1.25 mg/ml 25°C Ikke angitt
24 Tid
604
Stabilitetsopplysninger fra produsent

Polyisopren elastomer Glukose 5 % 80 / 10 & 10 / 1.25 mg/ml 4°C Beskyttes mot lys
7 Dag
604
Stabilitetsopplysninger fra produsent

Polyisopren elastomer NaCl 0,9% tamponsitrat 0,3% pH 7 22 / 3 mg/ml 2-8°C Ikke angitt
13 Dag
4512
Bevisgrad A +

Polyisopren elastomer NaCl 0,9% tamponsitrat 0,3% pH 7 22 / 3 mg/ml 32°C Ikke angitt
24 Tid
4512
Bevisgrad A +

Polyisopren elastomer NaCl 0,9% tamponsitrat 0,3% pH 7 80 / 10 mg/ml 2-8°C Ikke angitt
13 Dag
4512
Bevisgrad A +

Polyisopren elastomer NaCl 0,9% tamponsitrat 0,3% pH 7 80 / 10 mg/ml 32°C Ikke angitt
24 Tid
4512
Bevisgrad A +

Silikon elastomer NaCl 0,9% tamponsitrat 0,3% pH 7 22 / 3 mg/ml 2-8°C Ikke angitt
13 Dag
4512
Bevisgrad A +

Silikon elastomer NaCl 0,9% tamponsitrat 0,3% pH 7 22 / 3 mg/ml 32°C Ikke angitt
24 Tid
4512
Bevisgrad A +

Silikon elastomer NaCl 0,9% tamponsitrat 0,3% pH 7 80 / 10 mg/ml 2-8°C Ikke angitt
13 Dag
4512
Bevisgrad A +

Silikon elastomer NaCl 0,9% tamponsitrat 0,3% pH 7 80 / 10 mg/ml 32°C Ikke angitt
24 Tid
4512
Bevisgrad A +

Elastomer (uspesifisert) Vann til injeksjon 128 / 16 mg/ml 25°C Ikke angitt
72 Tid
2042
Bevisgrad D

Elastomer (uspesifisert) Vann til injeksjon 128 / 16 mg/ml 37°C Ikke angitt
24 Tid
2042
Bevisgrad D

Ikke angitt Natriumklorid 0,9 % 40 / 5 mg/ml 22-23°C Beskyttes mot lys
24 Tid
4758
Bevisgrad B

Ikke angitt Dianéal® PD2 4.25% Glukose (Baxter) 0.2 / 0.025 mg/ml 23°C Ikke angitt
7 Dag
2451
Bevisgrad A

Ikke angitt Dianéal® PD2 4.25% Glukose (Baxter) 0.2 / 0.025 mg/ml 37°C Ikke angitt
24 Tid
2451
Bevisgrad A

Ikke angitt Dianéal® PD2 4.25% Glukose (Baxter) 0.2 / 0.025 mg/ml 4°C Ikke angitt
14 Dag
2451
Bevisgrad A

Ikke angitt Dianéal® PD2 1.5% Glukose (Baxter) 0.2 / 0.025 mg/ml 23°C Ikke angitt
7 Dag
2451
Bevisgrad A

Ikke angitt Dianéal® PD2 1.5% Glukose (Baxter) 0.2 / 0.025 mg/ml 37°C Ikke angitt
24 Tid
2451
Bevisgrad A

Ikke angitt Dianéal® PD2 1.5% Glukose (Baxter) 0.2 / 0.025 mg/ml 4°C Ikke angitt
14 Dag
2451
Bevisgrad A


  Mentions Légales