Dernière mise à jour :
16/12/2025
Antibiotique   Piperacillin sodium / tazobactam  
injectable
Stabilité des solutions Stabilité en mélange Facteur influençant la stabilité Compatibilités Voie d’administration Bibliographie pdf
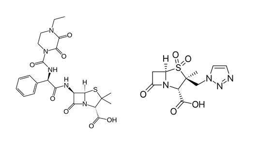
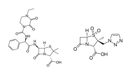
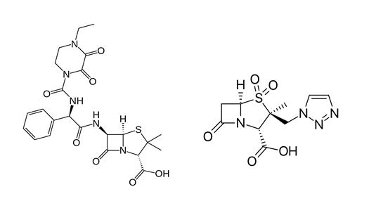
   Structure chimique  

Noms commerciaux   Noms commerciaux     

Les noms commerciaux sont donnés à titre indicatif et la composition en excipients peut être différente selon les pays et selon les laboratoires

Bagotaz Argentine
Betampil Equateur
Bioval Chili
Petezam Argentine
Piperac Allemagne
Piperacillin tazobactam Allemagne, Belgique, Canada
Piperazam Brésil
Pipetazo Chili
Pipitaz Autriche
Pixamol Colombie
Tazobac Equateur, Italie, Portugal, Suisse
Tazocel Espagne
Tazocilline France
Tazocin Afrique du sud, Argentine, Australie, Brésil, Colombie, Croatie, Danemark, Egypte, Emirats Arabes Unis , Finlande, Grande Bretagne, Grèce, Hongrie, Irlande du nord, Italie, Luxembourg, Mexique, Norvège, Nouvelle Zélande, Pays bas, Pérou, Pologne, Suède, Turquie
Tazonam Autriche, Chili
Tazopip Australie
Tazpen Colombie, Mexique
Tazrobida Colombie
Tigux Chili
Tratac Chili
Trital Equateur
Zosyn Etats Unis d’Amérique, Japon
Stabilité des solutions   injectable   Stabilité des solutions : Piperacillin sodium / tazobactam     
Contenant Solvant Concentration Température Conservation Durée de stabilité Bibliographie
Verre Eau pour préparation injectable 20/2,5 mg/ml 2-8°C A l’abri de la lumière
2 Jour
4922
Niveau de preuve D

Verre NaCl 0.9% + phénol 0.4% 20/2,5 mg/ml 2-8°C A l’abri de la lumière
2 Jour
4922
Niveau de preuve D

Polyvinyl chlorure Chlorure de sodium 0,9% 20 / 2.5 mg/ml 23°C
72 Heure
2345
Niveau de preuve A

Polyvinyl chlorure Chlorure de sodium 0,9% 20 / 2.5 mg/ml 5°C A l’abri de la lumière
28 Jour
2345
Niveau de preuve A

Polyvinyl chlorure Chlorure de sodium 0,9% 40 / 5 mg/ml 25°C Lumière
4 Jour
2026
Niveau de preuve B

Polyvinyl chlorure Chlorure de sodium 0,9% 40 / 5 mg/ml 7°C A l’abri de la lumière
5 Jour
2026
Niveau de preuve B

Polyvinyl chlorure Chlorure de sodium 0,9% 80 / 10 mg/ml -15°C A l’abri de la lumière
30 Jour
274
Niveau de preuve D

Polyvinyl chlorure Chlorure de sodium 0,9% 80 / 10 mg/ml 25°C Non précisée
24 Heure
274
Niveau de preuve D

Polyvinyl chlorure Chlorure de sodium 0,9% 80 / 10 mg/ml 4°C A l’abri de la lumière
7 Jour
274
Niveau de preuve D

Polyvinyl chlorure Glucose 5% 33.3 / 4.1 mg/ml -20°C A l’abri de la lumière
90 Jour
1946

Polyvinyl chlorure Glucose 5% 33.3 / 4.1 mg/ml 4°C Non précisée
35 Jour
1946

Polyvinyl chlorure Glucose 5% 80 / 10 mg/ml -15°C A l’abri de la lumière
30 Jour
274
Niveau de preuve D

Polyvinyl chlorure Glucose 5% 80 / 10 mg/ml 23°C
72 Heure
2345
Niveau de preuve A

Polyvinyl chlorure Glucose 5% 80 / 10 mg/ml 25°C Non précisée
24 Heure
274
Niveau de preuve D

Polyvinyl chlorure Glucose 5% 80 / 10 mg/ml 4°C A l’abri de la lumière
7 Jour
274
Niveau de preuve D

Polyvinyl chlorure Glucose 5% 80 / 10 mg/ml 5°C A l’abri de la lumière
28 Jour
2345
Niveau de preuve A

Polyolefine Chlorure de sodium 0,9% 40 / 5 mg/ml 25°C Lumière
3 Jour
2026
Niveau de preuve B

Polyolefine Chlorure de sodium 0,9% 40 / 5 mg/ml 7°C A l’abri de la lumière
17 Jour
2026
Niveau de preuve B

Polyolefine Chlorure de sodium 0,9% 50.6 / 6.3 mg/ml 2-8°C Non précisée
17 Jour
4620
Niveau de preuve A +

Polyolefine Chlorure de sodium 0,9% 50.6 / 6.3 mg/ml 25°C Non précisée
3 Heure
4620
Niveau de preuve A +

Polyolefine Glucose 5% 33,3 / 4,1 mg/ml -20°C A l’abri de la lumière
90 Jour
4148
Niveau de preuve D

Polyolefine Glucose 5% 33,3 / 4,1 mg/ml 2-8°C Non précisée
58 Jour
4148
Niveau de preuve D

Polyolefine Glucose 5% 50.6 / 6.3 mg/ml 2-8°C Non précisée
17 Jour
4621
Niveau de preuve A +

Polyolefine Glucose 5% 50.6 / 6.3 mg/ml 25°C Non précisée
3 Heure
4621
Niveau de preuve A +

Seringue polypropylène Eau pour préparation injectable 20/2,5 mg/ml 2-8°C A l’abri de la lumière
2 Jour
4922
Niveau de preuve D

Seringue polypropylène Chlorure de sodium 0,9% 125/15,6 mg/ml 20-25°C Lumière
48 Heure
4634
Niveau de preuve C+

Seringue polypropylène Chlorure de sodium 0,9% 150 / 18,75 mg/ml 4°C A l’abri de la lumière
7 Jour
274
Niveau de preuve D

Seringue polypropylène Chlorure de sodium 0,9% 150 / 18.75 mg/ml -15°C A l’abri de la lumière
30 Jour
274
Niveau de preuve D

Seringue polypropylène Chlorure de sodium 0,9% 150 / 18.75 mg/ml 25°C Non précisée
24 Heure
274
Niveau de preuve D

Seringue polypropylène Chlorure de sodium 0,9% 200 / 25 mg/ml -15°C A l’abri de la lumière
30 Jour
274
Niveau de preuve D

Seringue polypropylène Chlorure de sodium 0,9% 200 / 25 mg/ml 25°C Non précisée
24 Heure
274
Niveau de preuve D

Seringue polypropylène Chlorure de sodium 0,9% 200 / 25 mg/ml 4°C A l’abri de la lumière
7 Jour
274
Niveau de preuve D

Seringue polypropylène Chlorure de sodium 0,9% 80 / 10 mg/ml 25°C Lumière
12 Heure
4326
Niveau de preuve B

Seringue polypropylène Glucose 5% 125/15,6 mg/ml 20-25°C Lumière
48 Heure
4634
Niveau de preuve C+

Seringue polypropylène Glucose 5% 150 / 18,75 mg/ml 4°C A l’abri de la lumière
7 Jour
274
Niveau de preuve D

Seringue polypropylène Glucose 5% 150 / 18.75 mg/ml -15°C A l’abri de la lumière
30 Jour
274
Niveau de preuve D

Seringue polypropylène Glucose 5% 150 / 18.75 mg/ml 25°C Non précisée
24 Heure
274
Niveau de preuve D

Seringue polypropylène Glucose 5% 200 / 25 mg/ml -15°C A l’abri de la lumière
30 Jour
274
Niveau de preuve D

Seringue polypropylène Glucose 5% 200 / 25 mg/ml 25°C Non précisée
24 Heure
274
Niveau de preuve D

Seringue polypropylène Glucose 5% 200 / 25 mg/ml 4°C A l’abri de la lumière
7 Jour
274
Niveau de preuve D

Seringue polypropylène NaCl 0.9% + phénol 0.4% 20/2,5 mg/ml 2-8°C A l’abri de la lumière
2 Jour
4922
Niveau de preuve D

Elastomère en polyisoprène Chlorure de sodium 0,9% 50 / 6,25 mg/ml 32°C A l’abri de la lumière
24 Heure
4850
Niveau de preuve A +

Elastomère en polyisoprène Chlorure de sodium 0,9% 66,7/8,3 mg/ml 37°C A l’abri de la lumière
8 Heure
4634
Niveau de preuve C+

Elastomère en polyisoprène Chlorure de sodium 0,9% 80 / 10 & 10 / 1.25 mg/ml 25°C Non précisée
24 Heure
604
Données de stabilité du fabricant

Elastomère en polyisoprène Chlorure de sodium 0,9% 80 / 10 & 10 / 1.25 mg/ml 4°C A l’abri de la lumière
7 Jour
604
Données de stabilité du fabricant

Elastomère en polyisoprène Glucose 5% 66,7/8,3 mg/ml 37°C A l’abri de la lumière
24 Heure
4634
Niveau de preuve C+

Elastomère en polyisoprène Glucose 5% 80 / 10 & 10 / 1.25 mg/ml 25°C Non précisée
24 Heure
604
Données de stabilité du fabricant

Elastomère en polyisoprène Glucose 5% 80 / 10 & 10 / 1.25 mg/ml 4°C A l’abri de la lumière
7 Jour
604
Données de stabilité du fabricant

Elastomère en polyisoprène NaCl 0.9% tampon citrate 0.3% pH7 22 / 3 mg/ml 2-8°C Non précisée
13 Jour
4512
Niveau de preuve A +

Elastomère en polyisoprène NaCl 0.9% tampon citrate 0.3% pH7 22 / 3 mg/ml 32°C Non précisée
24 Heure
4512
Niveau de preuve A +

Elastomère en polyisoprène NaCl 0.9% tampon citrate 0.3% pH7 80 / 10 mg/ml 2-8°C Non précisée
13 Jour
4512
Niveau de preuve A +

Elastomère en polyisoprène NaCl 0.9% tampon citrate 0.3% pH7 80 / 10 mg/ml 32°C Non précisée
24 Heure
4512
Niveau de preuve A +

Elastomère en silicone NaCl 0.9% tampon citrate 0.3% pH7 22 / 3 mg/ml 2-8°C Non précisée
13 Jour
4512
Niveau de preuve A +

Elastomère en silicone NaCl 0.9% tampon citrate 0.3% pH7 22 / 3 mg/ml 32°C Non précisée
24 Heure
4512
Niveau de preuve A +

Elastomère en silicone NaCl 0.9% tampon citrate 0.3% pH7 80 / 10 mg/ml 2-8°C Non précisée
13 Jour
4512
Niveau de preuve A +

Elastomère en silicone NaCl 0.9% tampon citrate 0.3% pH7 80 / 10 mg/ml 32°C Non précisée
24 Heure
4512
Niveau de preuve A +

	Elastomère (non précisé) Eau pour préparation injectable 128 / 16 mg/ml 25°C Non précisée
72 Heure
2042
Niveau de preuve D

	Elastomère (non précisé) Eau pour préparation injectable 128 / 16 mg/ml 37°C Non précisée
24 Heure
2042
Niveau de preuve D

Non précisé Chlorure de sodium 0,9% 40 / 5 mg/ml 22-23°C A l’abri de la lumière
24 Heure
4758
Niveau de preuve B

Non précisé Dianéal® PD2 4.25% glucose (Baxter) 0.2 / 0.025 mg/ml 23°C Non précisée
7 Jour
2451
Niveau de preuve A

Non précisé Dianéal® PD2 4.25% glucose (Baxter) 0.2 / 0.025 mg/ml 37°C Non précisée
24 Heure
2451
Niveau de preuve A

Non précisé Dianéal® PD2 4.25% glucose (Baxter) 0.2 / 0.025 mg/ml 4°C Non précisée
14 Jour
2451
Niveau de preuve A

Non précisé Dianéal® PD2 1.5% glucose (Baxter) 0.2 / 0.025 mg/ml 23°C Non précisée
7 Jour
2451
Niveau de preuve A

Non précisé Dianéal® PD2 1.5% glucose (Baxter) 0.2 / 0.025 mg/ml 37°C Non précisée
24 Heure
2451
Niveau de preuve A

Non précisé Dianéal® PD2 1.5% glucose (Baxter) 0.2 / 0.025 mg/ml 4°C Non précisée
14 Jour
2451
Niveau de preuve A


  Mentions Légales