Cập nhật lần cuối :
27/11/2025
Kháng sinh   Flucloxacillin sodium  
Dạng tiêm
Tính ổn định của các dung dịch Độ ổn định khi trộn lẫn Những yếu tố ảnh hưởng đến độ ổn định Khả năng tương thích Đường dùng Tài liệu tham khảo Pdf
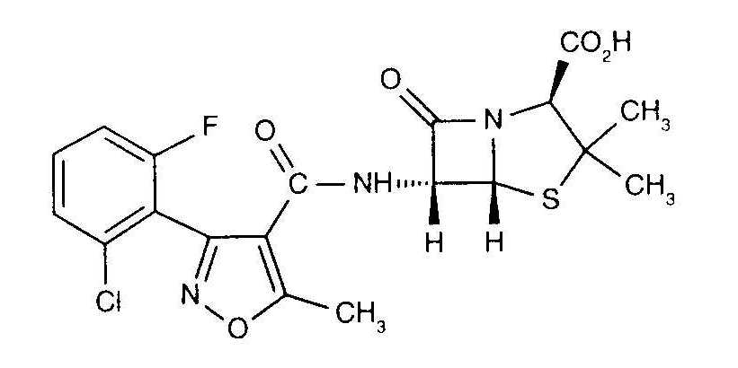
   Cấu trúc hóa học  

Tên thương mại   Tên thương mại     

Các tên thương mại được cung cấp và thành phần tá dược có thể khác nhau giữa các quốc gia và các hãng dược

Astaph Morocco
Betabiotic Ý
DBL flucloxacillin sodium Úc
Flix Thổ Nhĩ Kỳ
Floxam Morocco
Floxapen Ả Rập Saudi, Áo, Ba Lan, Bỉ, Bồ Đào Nha, Hà Lan, Hoa Kỳ, Morocco, Thụy Sỹ, Ý
Flucloxacillin Anh, Úc, Ý, Đức
Flucloxacilline Bỉ, Hà Lan, Pháp
Flucloxin new zealand
Ladropen Hoa Kỳ
Stafoxil Hà Lan
Staphylex Đức
Tính ổn định của các dung dịch   Dạng tiêm   Tính ổn định của các dung dịch : Flucloxacillin sodium     
Bao bì Dung môi Nồng độ Nhiệt độ Bảo quản Thời gian ổn định Mục lục
Thủy tinh Nước cất pha tiêm 5 mg/ml 2-8°C Tránh ánh sáng
7 Ngày
4922
Cấp độ bằng chứng D

Thủy tinh NaCl 0.9% + phenol 0.4% 5 mg/ml 2-8°C Tránh ánh sáng
7 Ngày
4922
Cấp độ bằng chứng D

Nhựa polyvinyl chloride NaCl 0,9% 120 mg/ml 2-8°C Không rõ
6 Ngày
3189
Cấp độ bằng chứng D

Nhựa polyvinyl chloride NaCl 0,9% 20 mg/ml -27°C Tránh ánh sáng
270 Ngày
1349
Cấp độ bằng chứng D

Nhựa polyvinyl chloride NaCl 0,9% 5 & 10 & 20 mg/ml 5°C Tránh ánh sáng
21 Ngày
1494
Cấp độ bằng chứng D

Nhựa polyvinyl chloride Glucose 5% 20 mg/ml -27°C Tránh ánh sáng
90 Ngày
1349
Cấp độ bằng chứng D

Nhựa polypropylen NaCl 0,9% 10 mg/ml 2-8°C Tránh ánh sáng
14 Ngày
1845
Cấp độ bằng chứng B+

Nhựa polypropylen NaCl 0,9% 10 mg/ml 25°C Tránh ánh sáng
4 Ngày
1845
Cấp độ bằng chứng B+

ống tiêm polypropylene Nước cất pha tiêm 140 mg/ml 4°C-8°C Tránh ánh sáng
9 Ngày
1300
Phương pháp sinh học

ống tiêm polypropylene Nước cất pha tiêm 5 mg/ml 2-8°C Tránh ánh sáng
2 Ngày
4922
Cấp độ bằng chứng D

ống tiêm polypropylene NaCl 0.9% + phenol 0.4% 5 mg/ml 2-8°C Tránh ánh sáng
2 Ngày
4922
Cấp độ bằng chứng D

Chất đàn hồi polyisoprene NaCl 0,9% 50 mg/ml 2-8°C Không rõ
6 Ngày
3189
Cấp độ bằng chứng D

Chất đàn hồi polyisoprene NaCl 0,9% tampon citrate 0,3% pH7 10 & 50 mg/ml 2-8°C Không rõ
13 Ngày
4218
Cấp độ bằng chứng A+

Chất đàn hồi polyisoprene NaCl 0,9% tampon citrate 0,3% pH7 10 & 50 mg/ml 32°C Không rõ
24 Giờ
4218
Cấp độ bằng chứng A+

Chất đàn hồi polyisoprene NaCl 0,9% tampon citrate 0,3% pH7 5 & 60 mg/ml 2-8°C Tránh ánh sáng
6 Ngày
4590
Cấp độ bằng chứng A

Chất đàn hồi polyisoprene NaCl 0,9% tampon citrate 0,3% pH7 5 & 60 mg/ml 37°C Tránh ánh sáng
24 Giờ
4590
Cấp độ bằng chứng A

Chất đàn hồi silicone NaCl 0,9% tampon citrate 0,3% pH7 10 & 50 mg/ml 2-8°C Không rõ
13 Ngày
4218
Cấp độ bằng chứng A+

Chất đàn hồi silicone NaCl 0,9% tampon citrate 0,3% pH7 10 & 50 mg/ml 32°C Không rõ
24 Giờ
4218
Cấp độ bằng chứng A+


  Mentions Légales