Zadnji put ažurirano :
27/11/2025
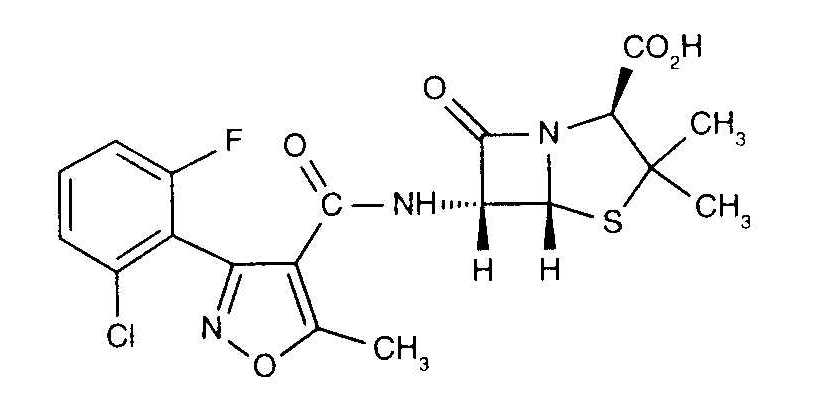
antibiotik   Flucloxacillin sodium  
injekcija
Stabilizacija rješenja Stabilnost mješavine Stabilizacijski faktor Kompatibilnosti način davanja lijeka Bibliografija pdf
   Kemijska struktura  

Nekomercijalni   Nekomercijalni     

Zaštićeni nazivi su indikativni i sastav ekscipijensa može biti različit ovisno o državi i laboratorijima

Astaph Maroko
Betabiotic Italija
DBL flucloxacillin sodium Australija
Flix Turska
Floxam Maroko
Floxapen Austrija, Belgija, Italija, Maroko, Nizozemska, Poljska, Portugal, S A D, Saudijska Arabija, Švicarska
Flucloxacillin Australija, Italija, Njemačka, Velika Britanija
Flucloxacilline Belgija, Francuska, Nizozemska
Flucloxin novi Zeland
Ladropen S A D
Stafoxil Nizozemska
Staphylex Njemačka
Stabilizacija rješenja   injekcija   Stabilizacija rješenja : Flucloxacillin sodium     
Kontejner sredstvo za rastapanje koncentracija temperatura Konzerviranje Trajanje stabilnosti Bibliografija
čaša čista voda za injektiranje 5 mg/ml 2-8°C Zaštićeno od svjetlosti
7 dan
4922
Razina dokaza D

čaša NaCl 0.9% + fenol 0.4% 5 mg/ml 2-8°C Zaštićeno od svjetlosti
7 dan
4922
Razina dokaza D

polivinilklorid natrijumkorid 0,9% 120 mg/ml 2-8°C nespecifičan
6 dan
3189
Razina dokaza D

polivinilklorid natrijumkorid 0,9% 20 mg/ml -27°C Zaštićeno od svjetlosti
270 dan
1349
Razina dokaza D

polivinilklorid natrijumkorid 0,9% 5 & 10 & 20 mg/ml 5°C Zaštićeno od svjetlosti
21 dan
1494
Razina dokaza D

polivinilklorid glukoza 5% 20 mg/ml -27°C Zaštićeno od svjetlosti
90 dan
1349
Razina dokaza D

polipropilen natrijumkorid 0,9% 10 mg/ml 2-8°C Zaštićeno od svjetlosti
14 dan
1845
Razina dokaza B+

polipropilen natrijumkorid 0,9% 10 mg/ml 25°C Zaštićeno od svjetlosti
4 dan
1845
Razina dokaza B+

špric polipropilen čista voda za injektiranje 140 mg/ml 4°C-8°C Zaštićeno od svjetlosti
9 dan
1300
Biološka metoda

špric polipropilen čista voda za injektiranje 5 mg/ml 2-8°C Zaštićeno od svjetlosti
2 dan
4922
Razina dokaza D

špric polipropilen NaCl 0.9% + fenol 0.4% 5 mg/ml 2-8°C Zaštićeno od svjetlosti
2 dan
4922
Razina dokaza D

Poliizoprenski elastomer natrijumkorid 0,9% 50 mg/ml 2-8°C nespecifičan
6 dan
3189
Razina dokaza D

Poliizoprenski elastomer NaCl 0,9% citratni pufer 0,3% pH7 10 & 50 mg/ml 2-8°C nespecifičan
13 dan
4218
Razina dokaza A+

Poliizoprenski elastomer NaCl 0,9% citratni pufer 0,3% pH7 10 & 50 mg/ml 32°C nespecifičan
24 sat
4218
Razina dokaza A+

Poliizoprenski elastomer NaCl 0,9% citratni pufer 0,3% pH7 5 & 60 mg/ml 2-8°C Zaštićeno od svjetlosti
6 dan
4590
Razina dokaza A

Poliizoprenski elastomer NaCl 0,9% citratni pufer 0,3% pH7 5 & 60 mg/ml 37°C Zaštićeno od svjetlosti
24 sat
4590
Razina dokaza A

Silikonski elastomer NaCl 0,9% citratni pufer 0,3% pH7 10 & 50 mg/ml 2-8°C nespecifičan
13 dan
4218
Razina dokaza A+

Silikonski elastomer NaCl 0,9% citratni pufer 0,3% pH7 10 & 50 mg/ml 32°C nespecifičan
24 sat
4218
Razina dokaza A+


  Mentions Légales