آخر تحديث :
27/04/2026
مضاد حيوي   Flucloxacillin sodium  
حقن
الاستقرار في حلول استقرار مخاليط العوامل التي تؤثر على الاستقرار التوافق طريقة التعاطي مراجع pdf
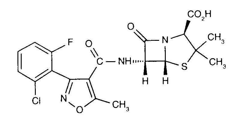
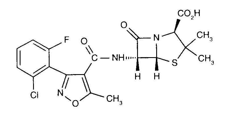
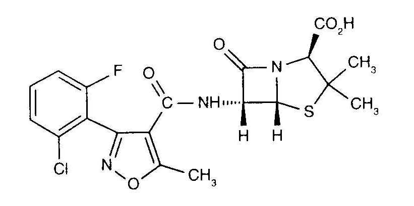
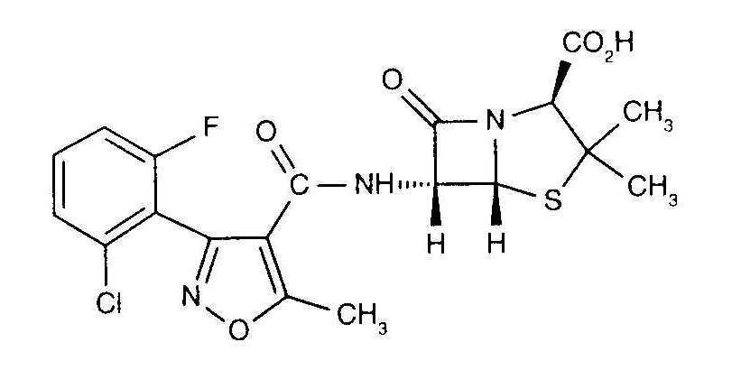
   التركيب الكيميائي  

حجز الاسم التجاري   حجز الاسم التجاري     

تحذير الأسماء التجاريه المختلفه قد تحتوي علي محتوي إضافات مختلفة حسب الدوله و المعمل

Astaph المغرب
Betabiotic إيطاليا
DBL flucloxacillin sodium أستراليا
Flix تركيا
Floxam المغرب
Floxapen إيطاليا, البرتغال, العربية السعودية, المغرب, النمسا, الولايات المتحدة, بلجيكا, بولندا, سويسرا, هولندا
Flucloxacillin أستراليا, ألمانيا, إيطاليا, بريطانيا العظمي
Flucloxacilline بلجيكا, فرنسا, هولندا
Flucloxin زيلاندا الجديدة
Ladropen الولايات المتحدة
Stafoxil هولندا
Staphylex ألمانيا
الاستقرار في حلول   حقن   الاستقرار في حلول : Flucloxacillin sodium     
حاوية مذيب تركيز درجة الحرارة تخزين مدة الاستقرار مراجع
زجاج حقن المياه لل 5 mg/ml 2-8°C بعيدا عن الضوء
7 يوم
4922
D مستوى الأدلة

زجاج NaCl 0.9% + الفينول % 0.4% 5 mg/ml 2-8°C بعيدا عن الضوء
7 يوم
4922
D مستوى الأدلة

البولي فينيل كلوريد كلوريد الصوديوم 0.9% 120 mg/ml 2-8°C لم يتم تحديد
6 يوم
3189
D مستوى الأدلة

البولي فينيل كلوريد كلوريد الصوديوم 0.9% 20 mg/ml -27°C بعيدا عن الضوء
270 يوم
1349
D مستوى الأدلة

البولي فينيل كلوريد كلوريد الصوديوم 0.9% 5 & 10 & 20 mg/ml 5°C بعيدا عن الضوء
21 يوم
1494
D مستوى الأدلة

البولي فينيل كلوريد الجلوكوز %5 20 mg/ml -27°C بعيدا عن الضوء
90 يوم
1349
D مستوى الأدلة

البولي بروبلين كلوريد الصوديوم 0.9% 10 mg/ml 2-8°C بعيدا عن الضوء
14 يوم
1845
B+ مستوى الأدلة

البولي بروبلين كلوريد الصوديوم 0.9% 10 mg/ml 25°C بعيدا عن الضوء
4 يوم
1845
B+ مستوى الأدلة

محقنة البولي بروبلين حقن المياه لل 140 mg/ml 4°C-8°C بعيدا عن الضوء
9 يوم
1300
التحليل البيولوجي

محقنة البولي بروبلين حقن المياه لل 5 mg/ml 2-8°C بعيدا عن الضوء
2 يوم
4922
D مستوى الأدلة

محقنة البولي بروبلين NaCl 0.9% + الفينول % 0.4% 5 mg/ml 2-8°C بعيدا عن الضوء
2 يوم
4922
D مستوى الأدلة

ولي إيزوبرين إلاستومر كلوريد الصوديوم 0.9% 50 mg/ml 2-8°C لم يتم تحديد
6 يوم
3189
D مستوى الأدلة

ولي إيزوبرين إلاستومر  عازلة سترات 0.3٪ NaCl 0.9٪ 10 & 50 mg/ml 2-8°C لم يتم تحديد
13 يوم
4218
 A+ مستوى الأدلة

ولي إيزوبرين إلاستومر  عازلة سترات 0.3٪ NaCl 0.9٪ 10 & 50 mg/ml 32°C لم يتم تحديد
24 ساعة
4218
 A+ مستوى الأدلة

ولي إيزوبرين إلاستومر  عازلة سترات 0.3٪ NaCl 0.9٪ 5 & 60 mg/ml 2-8°C بعيدا عن الضوء
6 يوم
4590
A مستوى الأدلة

ولي إيزوبرين إلاستومر  عازلة سترات 0.3٪ NaCl 0.9٪ 5 & 60 mg/ml 37°C بعيدا عن الضوء
24 ساعة
4590
A مستوى الأدلة

مطاط السيليكون  عازلة سترات 0.3٪ NaCl 0.9٪ 10 & 50 mg/ml 2-8°C لم يتم تحديد
13 يوم
4218
 A+ مستوى الأدلة

مطاط السيليكون  عازلة سترات 0.3٪ NaCl 0.9٪ 10 & 50 mg/ml 32°C لم يتم تحديد
24 ساعة
4218
 A+ مستوى الأدلة


  Mentions Légales