Son güncelleme :
27/04/2026
Antibiyotik   Flucloxacillin sodium  
Enjeksiyon
Çözeltilerin stabilitesi Karışımlardaki stabilitesi Stabiliteyi etkileyen faktörler Uyumluluk Uygulama yöntemi Kaynaklar pdf
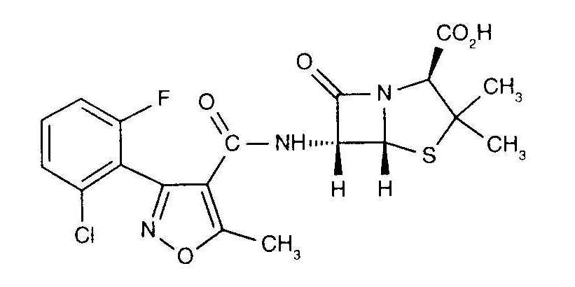
   Kimyasal yapı   

Ticari isim   Ticari isim     

Trade names are indicative and excipients composition can be different depending on the country and manufacturers

Astaph Fas
Betabiotic İtalya
DBL flucloxacillin sodium Avustralya
Flix Türkiye
Floxam Fas
Floxapen Amerika Birleşik Devletleri, Avusturya, Belçika, Fas, Hollanda, İsviçre, İtalya, Polonya, Portekiz, Suudi Arabistan
Flucloxacillin Almanya, Avustralya, Büyük Britanya, İtalya
Flucloxacilline Belçika, Fransa, Hollanda
Flucloxin yeni Zelanda
Ladropen Amerika Birleşik Devletleri
Stafoxil Hollanda
Staphylex Almanya
Çözeltilerin stabilitesi   Enjeksiyon    Çözeltilerin stabilitesi : Flucloxacillin sodium     
Saklama kabı Çözücü Konsantrasyon Isı Saklama    Stabilite süresi Kaynaklar
Cam Enjeksiyonluk su 5 mg/ml 2-8°C Işıktan koruyunuz
7 Gün
4922
Kanıt düzeyi D

Cam NaCl 0.9% + fenol 0.4% 5 mg/ml 2-8°C Işıktan koruyunuz
7 Gün
4922
Kanıt düzeyi D

Polivinil klorür Sodyum klorür % 0,9 120 mg/ml 2-8°C Belirtilmemiş
6 Gün
3189
Kanıt düzeyi D

Polivinil klorür Sodyum klorür % 0,9 20 mg/ml -27°C Işıktan koruyunuz
270 Gün
1349
Kanıt düzeyi D

Polivinil klorür Sodyum klorür % 0,9 5 & 10 & 20 mg/ml 5°C Işıktan koruyunuz
21 Gün
1494
Kanıt düzeyi D

Polivinil klorür Glukoz %5 20 mg/ml -27°C Işıktan koruyunuz
90 Gün
1349
Kanıt düzeyi D

Polipropilen Sodyum klorür % 0,9 10 mg/ml 2-8°C Işıktan koruyunuz
14 Gün
1845
Kanıt düzeyi B+

Polipropilen Sodyum klorür % 0,9 10 mg/ml 25°C Işıktan koruyunuz
4 Gün
1845
Kanıt düzeyi B+

Şırınga polipropilen Enjeksiyonluk su 140 mg/ml 4°C-8°C Işıktan koruyunuz
9 Gün
1300
biyolojik analiz

Şırınga polipropilen Enjeksiyonluk su 5 mg/ml 2-8°C Işıktan koruyunuz
2 Gün
4922
Kanıt düzeyi D

Şırınga polipropilen NaCl 0.9% + fenol 0.4% 5 mg/ml 2-8°C Işıktan koruyunuz
2 Gün
4922
Kanıt düzeyi D

poliizopren elastomer Sodyum klorür % 0,9 50 mg/ml 2-8°C Belirtilmemiş
6 Gün
3189
Kanıt düzeyi D

poliizopren elastomer NaCl% 0.9 tampon sitrat% 0.3 pH7 10 & 50 mg/ml 2-8°C Belirtilmemiş
13 Gün
4218
Kanıt düzeyi A+

poliizopren elastomer NaCl% 0.9 tampon sitrat% 0.3 pH7 10 & 50 mg/ml 32°C Belirtilmemiş
24 Zaman
4218
Kanıt düzeyi A+

poliizopren elastomer NaCl% 0.9 tampon sitrat% 0.3 pH7 5 & 60 mg/ml 2-8°C Işıktan koruyunuz
6 Gün
4590
Kanıt düzeyi A

poliizopren elastomer NaCl% 0.9 tampon sitrat% 0.3 pH7 5 & 60 mg/ml 37°C Işıktan koruyunuz
24 Zaman
4590
Kanıt düzeyi A

Silikon elastomer NaCl% 0.9 tampon sitrat% 0.3 pH7 10 & 50 mg/ml 2-8°C Belirtilmemiş
13 Gün
4218
Kanıt düzeyi A+

Silikon elastomer NaCl% 0.9 tampon sitrat% 0.3 pH7 10 & 50 mg/ml 32°C Belirtilmemiş
24 Zaman
4218
Kanıt düzeyi A+


  Mentions Légales