Posledná aktualizácia :
27/04/2026
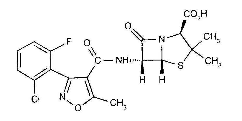
antibiotikum   Flucloxacillin sodium  
Injekcia
Stabilita roztokov Stabilita v zmesiach Faktory ovplyvňujúce stabilitu Kompatibility spôsob podania Odkazy na literatúru PDF
   Chemický vzorec  

Obchodný názov   Obchodný názov     

Obchodné názvy sú orientačné, a zloženie pomocných látok sa môže líšiť v závislosti od krajiny a výrobcu.

Astaph Maroko
Betabiotic Taliansko
DBL flucloxacillin sodium Austrália
Flix Turecko
Floxam Maroko
Floxapen Belgicko, Holandsko, Maroko, Poľsko, Portugalsko, Rakúsko, Saudská Arábia, Spojené štáty Americké, Švajčiarsko, Taliansko
Flucloxacillin Austrália, Nemecko, Taliansko, Veľká Británia
Flucloxacilline Belgicko, Francúzsko, Holandsko
Flucloxin nový Zéland
Ladropen Spojené štáty Americké
Stafoxil Holandsko
Staphylex Nemecko
Stabilita roztokov   Injekcia   Stabilita roztokov : Flucloxacillin sodium     
obal rozpúšťadlo koncentrácia teplota uchovávanie Trvanie stability odkazy na lieteratúru
Sklo voda na injekciu 5 mg/ml 2-8°C Chránené pred svetlom
7 dní
4922
Úroveň dôkazov D

Sklo NaCl 0.9% + fenol 0.4% 5 mg/ml 2-8°C Chránené pred svetlom
7 dní
4922
Úroveň dôkazov D

polyvinylchlorid (PVC) 0,9% chlorid sodný 120 mg/ml 2-8°C nešpecifikované
6 dní
3189
Úroveň dôkazov D

polyvinylchlorid (PVC) 0,9% chlorid sodný 20 mg/ml -27°C Chránené pred svetlom
270 dní
1349
Úroveň dôkazov D

polyvinylchlorid (PVC) 0,9% chlorid sodný 5 & 10 & 20 mg/ml 5°C Chránené pred svetlom
21 dní
1494
Úroveň dôkazov D

polyvinylchlorid (PVC) 5% glukóza 20 mg/ml -27°C Chránené pred svetlom
90 dní
1349
Úroveň dôkazov D

polypropylén 0,9% chlorid sodný 10 mg/ml 2-8°C Chránené pred svetlom
14 dní
1845
Úroveň dôkazov B+

polypropylén 0,9% chlorid sodný 10 mg/ml 25°C Chránené pred svetlom
4 dní
1845
Úroveň dôkazov B+

Injekčná striekačka polypropylén voda na injekciu 140 mg/ml 4°C-8°C Chránené pred svetlom
9 dní
1300
biologická analýza

Injekčná striekačka polypropylén voda na injekciu 5 mg/ml 2-8°C Chránené pred svetlom
2 dní
4922
Úroveň dôkazov D

Injekčná striekačka polypropylén NaCl 0.9% + fenol 0.4% 5 mg/ml 2-8°C Chránené pred svetlom
2 dní
4922
Úroveň dôkazov D

Polyizoprénový elastomer 0,9% chlorid sodný 50 mg/ml 2-8°C nešpecifikované
6 dní
3189
Úroveň dôkazov D

Polyizoprénový elastomer NaCl 0,9% tampon citrát 0,3% pH7 10 & 50 mg/ml 2-8°C nešpecifikované
13 dní
4218
Úroveň dôkazov A+

Polyizoprénový elastomer NaCl 0,9% tampon citrát 0,3% pH7 10 & 50 mg/ml 32°C nešpecifikované
24 hodín
4218
Úroveň dôkazov A+

Polyizoprénový elastomer NaCl 0,9% tampon citrát 0,3% pH7 5 & 60 mg/ml 2-8°C Chránené pred svetlom
6 dní
4590
Úroveň dôkazov A

Polyizoprénový elastomer NaCl 0,9% tampon citrát 0,3% pH7 5 & 60 mg/ml 37°C Chránené pred svetlom
24 hodín
4590
Úroveň dôkazov A

Silikónový elastomer NaCl 0,9% tampon citrát 0,3% pH7 10 & 50 mg/ml 2-8°C nešpecifikované
13 dní
4218
Úroveň dôkazov A+

Silikónový elastomer NaCl 0,9% tampon citrát 0,3% pH7 10 & 50 mg/ml 32°C nešpecifikované
24 hodín
4218
Úroveň dôkazov A+


  Mentions Légales