Poslední aktualizace :
27/04/2026
Antibiotikas   Flucloxacillin sodium  
Įpurškimas
Tirpalų stabilumas Mišinių stabilumas Stabilumą lemiantys veiksniai Suderinamumas Leidimo būdai Bibliografija pdf
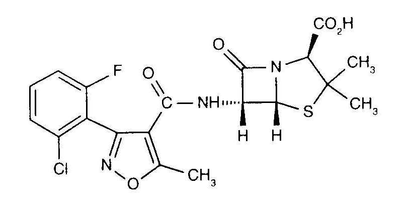
   Cheminė sandara  

Prekinis pavadinimas   Prekinis pavadinimas     

Trade names are indicative and excipients composition can be different depending on the country and manufacturers

Astaph Marokas
Betabiotic Italija
DBL flucloxacillin sodium Australija
Flix Turkija
Floxam Marokas
Floxapen Austrija, Belgija, Italija, Jungtinės Amerikos Valstijos, Lenkija, Marokas, Olandija, Portugalija, Saudo Arabija, Šveicarija
Flucloxacillin Australija, Didžioji Britanija, Italija, Vokietija
Flucloxacilline Belgija, Olandija, Prancūzija
Flucloxin Naujojoje Zelandijoje
Ladropen Jungtinės Amerikos Valstijos
Stafoxil Olandija
Staphylex Vokietija
Tirpalų stabilumas   Įpurškimas   Tirpalų stabilumas : Flucloxacillin sodium     
Pakuotė Tirpiklis Koncentracija Temperatūra Laikymas Stabilumo trukmė Nuorodos
Stiklas Vanduo injekcijoms 5 mg/ml 2-8°C Apsaugotas nuo šviesos
7 Diena
4922
Bandymo lygis D

Stiklas NaCl 0.9% + fenolis 0.4% 5 mg/ml 2-8°C Apsaugotas nuo šviesos
7 Diena
4922
Bandymo lygis D

Polivinilchloridas Natrio chloridas 0,9% 120 mg/ml 2-8°C Nenurodyta
6 Diena
3189
Bandymo lygis D

Polivinilchloridas Natrio chloridas 0,9% 20 mg/ml -27°C Apsaugotas nuo šviesos
270 Diena
1349
Bandymo lygis D

Polivinilchloridas Natrio chloridas 0,9% 5 & 10 & 20 mg/ml 5°C Apsaugotas nuo šviesos
21 Diena
1494
Bandymo lygis D

Polivinilchloridas Gliukozė 5% 20 mg/ml -27°C Apsaugotas nuo šviesos
90 Diena
1349
Bandymo lygis D

Polipropilenas Natrio chloridas 0,9% 10 mg/ml 2-8°C Apsaugotas nuo šviesos
14 Diena
1845
Bandymo lygis B+

Polipropilenas Natrio chloridas 0,9% 10 mg/ml 25°C Apsaugotas nuo šviesos
4 Diena
1845
Bandymo lygis B+

Švirkštas polipropileno Vanduo injekcijoms 140 mg/ml 4°C-8°C Apsaugotas nuo šviesos
9 Diena
1300
Biologinis metodas

Švirkštas polipropileno Vanduo injekcijoms 5 mg/ml 2-8°C Apsaugotas nuo šviesos
2 Diena
4922
Bandymo lygis D

Švirkštas polipropileno NaCl 0.9% + fenolis 0.4% 5 mg/ml 2-8°C Apsaugotas nuo šviesos
2 Diena
4922
Bandymo lygis D

Poliizopreno elastomeras Natrio chloridas 0,9% 50 mg/ml 2-8°C Nenurodyta
6 Diena
3189
Bandymo lygis D

Poliizopreno elastomeras NaCl 0,9% tampono citrato 0,3% pH7 10 & 50 mg/ml 2-8°C Nenurodyta
13 Diena
4218
Bandymo lygis A+

Poliizopreno elastomeras NaCl 0,9% tampono citrato 0,3% pH7 10 & 50 mg/ml 32°C Nenurodyta
24 Valanda
4218
Bandymo lygis A+

Poliizopreno elastomeras NaCl 0,9% tampono citrato 0,3% pH7 5 & 60 mg/ml 2-8°C Apsaugotas nuo šviesos
6 Diena
4590
Bandymo lygis A

Poliizopreno elastomeras NaCl 0,9% tampono citrato 0,3% pH7 5 & 60 mg/ml 37°C Apsaugotas nuo šviesos
24 Valanda
4590
Bandymo lygis A

Silikono elastomeras NaCl 0,9% tampono citrato 0,3% pH7 10 & 50 mg/ml 2-8°C Nenurodyta
13 Diena
4218
Bandymo lygis A+

Silikono elastomeras NaCl 0,9% tampono citrato 0,3% pH7 10 & 50 mg/ml 32°C Nenurodyta
24 Valanda
4218
Bandymo lygis A+


  Mentions Légales