zadnja posodobitev :
27/04/2026
Antibiotik   Flucloxacillin sodium  
Brizgalka
Stabilnost raztopine Stabilnost mešanice Faktorji, ki vplivajo na stabilnost Kompatibilnost način aplikacije Viri pdf
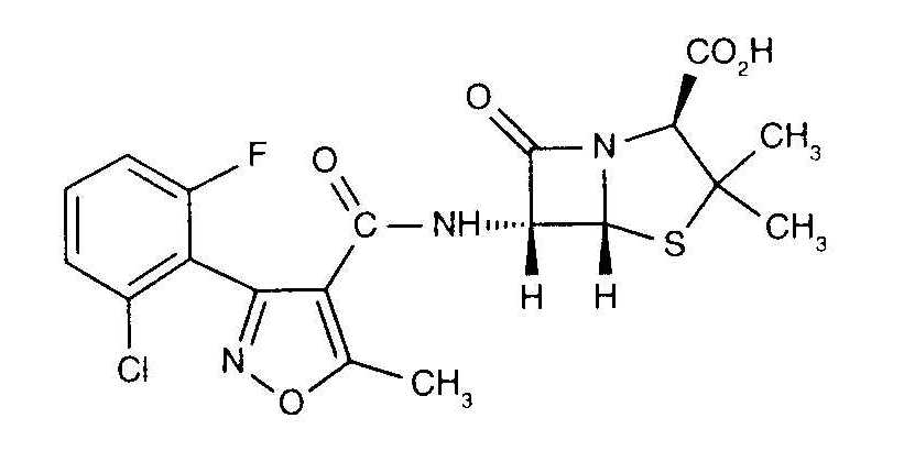
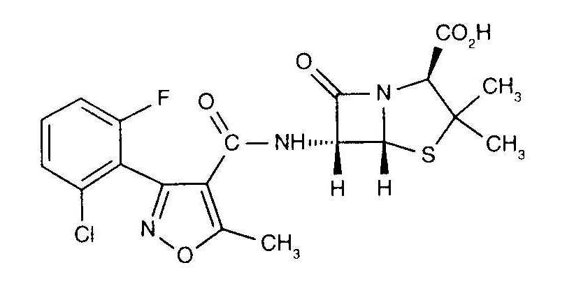
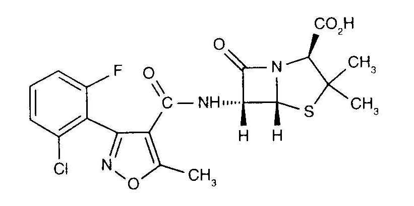
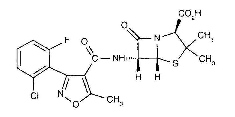
   Kemična formula  

Lastniško ime   Lastniško ime     

Sestava pomožnih snovi je med paralelami lahko različna

Astaph Maroko
Betabiotic Italija
DBL flucloxacillin sodium Avstralija
Flix Turčija
Floxam Maroko
Floxapen Avstrija, Belgija, Italija, Maroko, Nizozemska, Poljska, Portugalska, Savdska Arabija, Švica, Združene države Amerike
Flucloxacillin Avstralija, Italija, Nemčija, Velika Britanija
Flucloxacilline Belgija, Francija, Nizozemska
Flucloxin nova Zelandija
Ladropen Združene države Amerike
Stafoxil Nizozemska
Staphylex Nemčija
Stabilnost raztopine   Brizgalka   Stabilnost raztopine : Flucloxacillin sodium     
Vsebnik Topilo Koncentracija Temperatura Shranjevanje Trajanje stabilnosti Viri
Steklo Voda za injekcije 5 mg/ml 2-8°C Zaščiteno pred svetlobo
7 Dan
4922
 Stopnja dokaza D

Steklo NaCl 0.9% + fenol 0.4% 5 mg/ml 2-8°C Zaščiteno pred svetlobo
7 Dan
4922
 Stopnja dokaza D

Polivinil klorid Natrijev klorid 0,9% 120 mg/ml 2-8°C Nedoločeno
6 Dan
3189
 Stopnja dokaza D

Polivinil klorid Natrijev klorid 0,9% 20 mg/ml -27°C Zaščiteno pred svetlobo
270 Dan
1349
 Stopnja dokaza D

Polivinil klorid Natrijev klorid 0,9% 5 & 10 & 20 mg/ml 5°C Zaščiteno pred svetlobo
21 Dan
1494
 Stopnja dokaza D

Polivinil klorid Glukoza 5% 20 mg/ml -27°C Zaščiteno pred svetlobo
90 Dan
1349
 Stopnja dokaza D

Polipropilen Natrijev klorid 0,9% 10 mg/ml 2-8°C Zaščiteno pred svetlobo
14 Dan
1845
 Stopnja dokaza B+

Polipropilen Natrijev klorid 0,9% 10 mg/ml 25°C Zaščiteno pred svetlobo
4 Dan
1845
 Stopnja dokaza B+

Brizgalka polipropilen Voda za injekcije 140 mg/ml 4°C-8°C Zaščiteno pred svetlobo
9 Dan
1300
biološka analiza

Brizgalka polipropilen Voda za injekcije 5 mg/ml 2-8°C Zaščiteno pred svetlobo
2 Dan
4922
 Stopnja dokaza D

Brizgalka polipropilen NaCl 0.9% + fenol 0.4% 5 mg/ml 2-8°C Zaščiteno pred svetlobo
2 Dan
4922
 Stopnja dokaza D

Poliizoprenski elastomer Natrijev klorid 0,9% 50 mg/ml 2-8°C Nedoločeno
6 Dan
3189
 Stopnja dokaza D

Poliizoprenski elastomer NaCl 0,9% tamponski citrat 0,3% pH7 10 & 50 mg/ml 2-8°C Nedoločeno
13 Dan
4218
 Stopnja dokaza A+

Poliizoprenski elastomer NaCl 0,9% tamponski citrat 0,3% pH7 10 & 50 mg/ml 32°C Nedoločeno
24 čas
4218
 Stopnja dokaza A+

Poliizoprenski elastomer NaCl 0,9% tamponski citrat 0,3% pH7 5 & 60 mg/ml 2-8°C Zaščiteno pred svetlobo
6 Dan
4590
 Stopnja dokaza A

Poliizoprenski elastomer NaCl 0,9% tamponski citrat 0,3% pH7 5 & 60 mg/ml 37°C Zaščiteno pred svetlobo
24 čas
4590
 Stopnja dokaza A

Silikonski elastomer NaCl 0,9% tamponski citrat 0,3% pH7 10 & 50 mg/ml 2-8°C Nedoločeno
13 Dan
4218
 Stopnja dokaza A+

Silikonski elastomer NaCl 0,9% tamponski citrat 0,3% pH7 10 & 50 mg/ml 32°C Nedoločeno
24 čas
4218
 Stopnja dokaza A+


  Mentions Légales