Última actualización :
27/04/2026
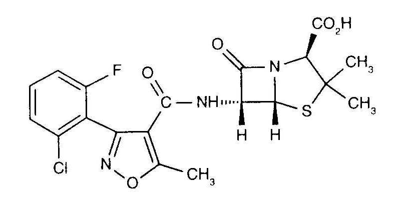
Antibiótico   Flucloxacillin sodium  
Inyectables
Estabilidad en solucion Estabilidad en mezcla Factores que influyen sobre la estabilidad Compatibilidades método de inyección Bibliografía pdf
   Estructura química  

Nombre comercial   Nombre comercial     

Los nombres comerciales son orientativos y los excipientes de la formulación pueden ser distintos dependiendo del país y del laboratorio fabricante.

Astaph Marruecos
Betabiotic Italia
DBL flucloxacillin sodium Australia
Flix Turquía
Floxam Marruecos
Floxapen Arabia Saudita, Austria, Bélgica, Estados Unidos de América, Italia, Marruecos, Países Bajos, Polonia, Portugal, Suiza
Flucloxacillin Alemania, Australia, Gran Bretaña, Italia
Flucloxacilline Bélgica, Francia, Países Bajos
Flucloxin Nueva Zelanda
Ladropen Estados Unidos de América
Stafoxil Países Bajos
Staphylex Alemania
Estabilidad en solucion   Inyectables   Estabilidad en solucion : Flucloxacillin sodium     
Envase Solvente Concentración Temperatura Conservación Duración de la estabilidad Bibliografía
Vidrio Agua para preparación inyectable 5 mg/ml 2-8°C A cubierto de la luz
7 Día
4922
Nivel de evidencia D

Vidrio NaCl 0.9% + fenol 0.4% 5 mg/ml 2-8°C A cubierto de la luz
7 Día
4922
Nivel de evidencia D

Cloruro de polivinilo Cloruro de sodio 0,9% 120 mg/ml 2-8°C No precisada
6 Día
3189
Nivel de evidencia D

Cloruro de polivinilo Cloruro de sodio 0,9% 20 mg/ml -27°C A cubierto de la luz
270 Día
1349
Nivel de evidencia D

Cloruro de polivinilo Cloruro de sodio 0,9% 5 & 10 & 20 mg/ml 5°C A cubierto de la luz
21 Día
1494
Nivel de evidencia D

Cloruro de polivinilo Glucosa 5% 20 mg/ml -27°C A cubierto de la luz
90 Día
1349
Nivel de evidencia D

Polipropileno Cloruro de sodio 0,9% 10 mg/ml 2-8°C A cubierto de la luz
14 Día
1845
Nivel de evidencia B+

Polipropileno Cloruro de sodio 0,9% 10 mg/ml 25°C A cubierto de la luz
4 Día
1845
Nivel de evidencia B+

jeringa polipropileno Agua para preparación inyectable 140 mg/ml 4°C-8°C A cubierto de la luz
9 Día
1300
análisis biológico

jeringa polipropileno Agua para preparación inyectable 5 mg/ml 2-8°C A cubierto de la luz
2 Día
4922
Nivel de evidencia D

jeringa polipropileno NaCl 0.9% + fenol 0.4% 5 mg/ml 2-8°C A cubierto de la luz
2 Día
4922
Nivel de evidencia D

Elastómero de poliisopreno Cloruro de sodio 0,9% 50 mg/ml 2-8°C No precisada
6 Día
3189
Nivel de evidencia D

Elastómero de poliisopreno NaCl 0.9% citrato tampón 0.3% pH7 10 & 50 mg/ml 2-8°C No precisada
13 Día
4218
Nivel de evidencia A+

Elastómero de poliisopreno NaCl 0.9% citrato tampón 0.3% pH7 10 & 50 mg/ml 32°C No precisada
24 Hora
4218
Nivel de evidencia A+

Elastómero de poliisopreno NaCl 0.9% citrato tampón 0.3% pH7 5 & 60 mg/ml 2-8°C A cubierto de la luz
6 Día
4590
Nivel de evidencia A

Elastómero de poliisopreno NaCl 0.9% citrato tampón 0.3% pH7 5 & 60 mg/ml 37°C A cubierto de la luz
24 Hora
4590
Nivel de evidencia A

Elastómero de silicona NaCl 0.9% citrato tampón 0.3% pH7 10 & 50 mg/ml 2-8°C No precisada
13 Día
4218
Nivel de evidencia A+

Elastómero de silicona NaCl 0.9% citrato tampón 0.3% pH7 10 & 50 mg/ml 32°C No precisada
24 Hora
4218
Nivel de evidencia A+


  Mentions Légales