Última actualização :
27/04/2026
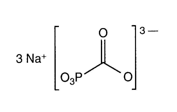
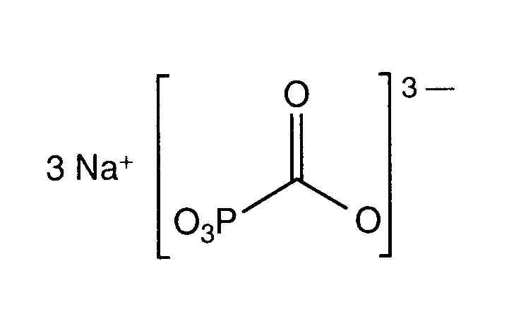
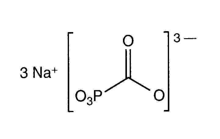
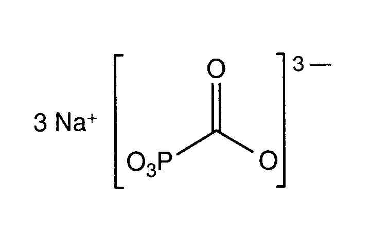
Antiviral   Foscarnet sodium  
injetável
Estabilidade em soluções simples Estabilidade em misturas Factores que afectam a sua estabilidade Compatibilidade Método de administração Bibliografía pdf
   estrutura química  

Nomes comerciais nos diversos países   Nomes comerciais nos diversos países     

OS NOMES COMERCIAIS SÃO INDICATIVOS E OS EXCIPIENTES DA FORMULAÇÃO PODEM SER DIFERENTES CONFORME O PAÍS E FABRICANTE.

Foscarnet Argentina, Chilli, Colômbia, Equator, Espanha, Estados Unidos de América, México, Peru, Portugal
Foscavir Alemanha, Australia, Austria, Bélgica, Espanha, Estados Unidos de América, França, Gran-bretanha, Grècia, Hungria, Itália, Luxemburgo, nova Zelândia, Países Baixos, Suècia, Suicia
Estabilidade em soluções simples   injetável   Estabilidade em soluções simples : Foscarnet sodium     
Embalagem Solvente concentração temperatura conservação Duração da estabilidade Bibliografia
Cloreto de polivinilo cloreto de sódio 0,9% 12 mg/ml 25°C Com ou sem luz
30 dia
2
Nível de evidência C

Cloreto de polivinilo cloreto de sódio 0,9% 12 mg/ml 25°C no especificado
35 dia
75
Nível de evidência C

Cloreto de polivinilo cloreto de sódio 0,9% 12 mg/ml 5°C ao abrigo da luz
30 dia
2
Nível de evidência C

Cloreto de polivinilo cloreto de sódio 0,9% 12 mg/ml 5°C ao abrigo da luz
35 dia
75
Nível de evidência C

Cloreto de polivinilo Glucose 5% 12 mg/ml 25°C no especificado
35 dia
75
Nível de evidência C

Cloreto de polivinilo Glucose 5% 12 mg/ml 5°C ao abrigo da luz
35 dia
75
Nível de evidência C

Elastômero de poliisopreno cloreto de sódio 0,9% 2 & 20 mg/ml 25°C no especificado
4 dia
604
Dados estabilidade do fabricante

Elastômero de poliisopreno cloreto de sódio 0,9% 2 & 20 mg/ml 4°C ao abrigo da luz
14 dia
604
Dados estabilidade do fabricante

Elastômero de poliisopreno Glucose 5% 2 & 20 mg/ml 25°C no especificado
4 dia
604
Dados estabilidade do fabricante

Elastômero de poliisopreno Glucose 5% 2 & 20 mg/ml 4°C ao abrigo da luz
14 dia
604
Dados estabilidade do fabricante


  Mentions Légales