Utolsó frissítés :
27/04/2026
Vírusellenes szer   Foscarnet sodium  
Injekció
Az oldatok stabilitása A keverékek stabilitása Stabilitást befolyásoló tényezők Kompatibilitás Az alkalmazás módja Irodalom pdf
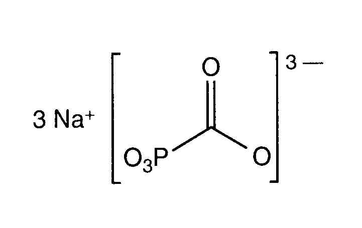
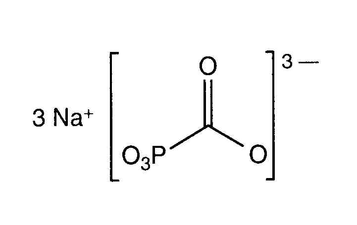
   Kémiai szerkezet   

Kereskedelmi név   Kereskedelmi név     

A kereskedelmi név meghatározó jelentőségű: a készítmények összetétele országonként, előállítóként eltérő lehet

Foscarnet Amerikai Egyesült Államok, Argentína, Chile, Colombia, Ecuador, Mexikó, Peru, Portugália, Spanyolország
Foscavir Amerikai Egyesült Államok, Ausztrália, Ausztria, Belgium, Franciaország, Görögország, Hollandia, Luxemburg, Magyarország, Nagy-Britannia, Németország, Olaszország, Spanyolország, Svájc, Svédország, új-Zéland
Az oldatok stabilitása   Injekció   Az oldatok stabilitása : Foscarnet sodium     
Csomagolás Oldószer Koncentráció Hőmérséklet Tárolás A stabilitás időtartama Irodalom
Poli(vinilklorid) 0,9% nátrium-klorid 12 mg/ml 25°C Fénnyel vagy anélkül
30 Nap
2
Szintű bizonyítékot C

Poli(vinilklorid) 0,9% nátrium-klorid 12 mg/ml 25°C Nincs meghatározva
35 Nap
75
Szintű bizonyítékot C

Poli(vinilklorid) 0,9% nátrium-klorid 12 mg/ml 5°C Fénytől védve tartandó
30 Nap
2
Szintű bizonyítékot C

Poli(vinilklorid) 0,9% nátrium-klorid 12 mg/ml 5°C Fénytől védve tartandó
35 Nap
75
Szintű bizonyítékot C

Poli(vinilklorid) 5% glükóz 12 mg/ml 25°C Nincs meghatározva
35 Nap
75
Szintű bizonyítékot C

Poli(vinilklorid) 5% glükóz 12 mg/ml 5°C Fénytől védve tartandó
35 Nap
75
Szintű bizonyítékot C

Poliizoprén elasztomer 0,9% nátrium-klorid 2 & 20 mg/ml 25°C Nincs meghatározva
4 Nap
604
Gyártó stabilitási adatokra

Poliizoprén elasztomer 0,9% nátrium-klorid 2 & 20 mg/ml 4°C Fénytől védve tartandó
14 Nap
604
Gyártó stabilitási adatokra

Poliizoprén elasztomer 5% glükóz 2 & 20 mg/ml 25°C Nincs meghatározva
4 Nap
604
Gyártó stabilitási adatokra

Poliizoprén elasztomer 5% glükóz 2 & 20 mg/ml 4°C Fénytől védve tartandó
14 Nap
604
Gyártó stabilitási adatokra


  Mentions Légales