Poslední aktualizace :
27/04/2026
Antivirotikum   Foscarnet sodium  
injekce
Stabilita roztoků Stabilita směsí Faktory ovlivňující stabilitu Kompatibilita Způsoby aplikace Odkazy pdf
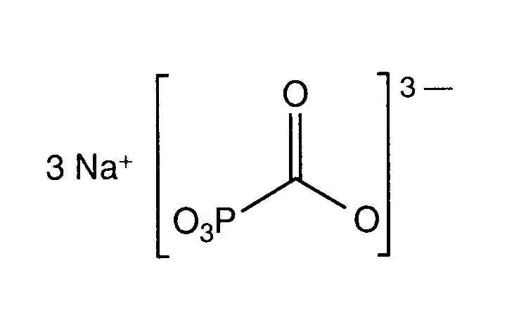
   Chemický vzorec  

Obchodní název   Obchodní název     

Trade names are indicative and excipients composition can be different depending on the country and manufacturers

Foscarnet äpanÏlsko, Argentina, Chile, Ekvádor, Kolumbie, Mexiko, Peru, Portugalsko, USA
Foscavir äpanÏlsko, Austrálie, Belgie, Francie, Itálie, Lucembursko, MaÔarsko, NÏmecko, Nizozemsko, nový Zéland, Rakousko, Švédsko, Švýcarsko, USA, Velká Británie, ÿecko
Stabilita roztoků   injekce   Stabilita roztoků : Foscarnet sodium     
Obal RozpouötÏdlo Koncentrace Teplota Uchovávání Trvání stability Odkazy
Polyvinyl chlorid Chlorid sodný 0,9% 12 mg/ml 25°C S nebo bez svÏtla
30 Den
2
Úroveň zkoušky C

Polyvinyl chlorid Chlorid sodný 0,9% 12 mg/ml 25°C Nespecifikováno
35 Den
75
Úroveň zkoušky C

Polyvinyl chlorid Chlorid sodný 0,9% 12 mg/ml 5°C Chráněno před světlem
30 Den
2
Úroveň zkoušky C

Polyvinyl chlorid Chlorid sodný 0,9% 12 mg/ml 5°C Chráněno před světlem
35 Den
75
Úroveň zkoušky C

Polyvinyl chlorid GlukÛza 5% 12 mg/ml 25°C Nespecifikováno
35 Den
75
Úroveň zkoušky C

Polyvinyl chlorid GlukÛza 5% 12 mg/ml 5°C Chráněno před světlem
35 Den
75
Úroveň zkoušky C

Polyisoprenový elastomer Chlorid sodný 0,9% 2 & 20 mg/ml 25°C Nespecifikováno
4 Den
604
Údaje o stabilitě od výrobce

Polyisoprenový elastomer Chlorid sodný 0,9% 2 & 20 mg/ml 4°C Chráněno před světlem
14 Den
604
Údaje o stabilitě od výrobce

Polyisoprenový elastomer GlukÛza 5% 2 & 20 mg/ml 25°C Nespecifikováno
4 Den
604
Údaje o stabilitě od výrobce

Polyisoprenový elastomer GlukÛza 5% 2 & 20 mg/ml 4°C Chráněno před světlem
14 Den
604
Údaje o stabilitě od výrobce


  Mentions Légales