Zadnji put ažurirano :
18/03/2026
protuvirusan   Foscarnet sodium  
injekcija
Stabilizacija rješenja Stabilnost mješavine Stabilizacijski faktor Kompatibilnosti način davanja lijeka Bibliografija pdf
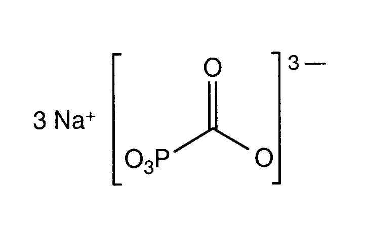
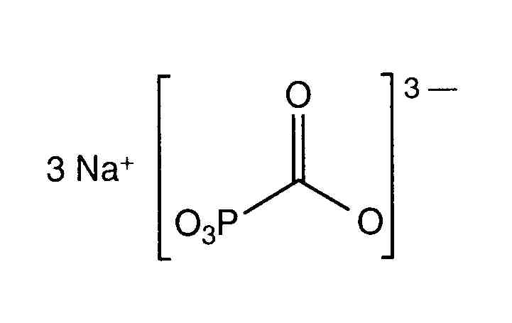
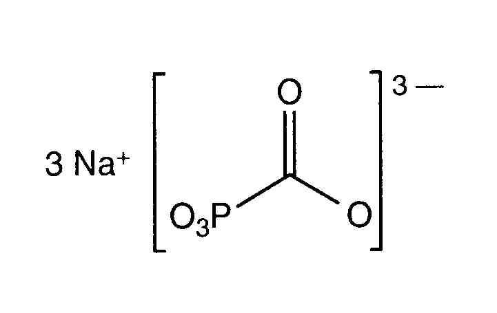
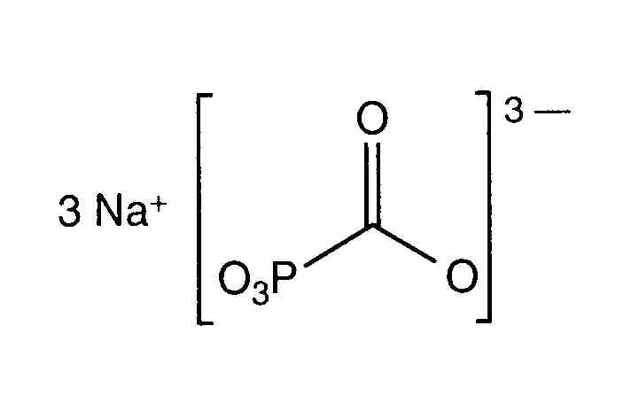
   Kemijska struktura  

Nekomercijalni   Nekomercijalni     

Zaštićeni nazivi su indikativni i sastav ekscipijensa može biti različit ovisno o državi i laboratorijima

Foscarnet Argentina, Čile, Ekvador, Kolumbija, Meksiko, Peru, Portugal, S A D, Španjolska
Foscavir Australija, Austrija, Belgija, Francuska, Grčka, Italija, Luksemburg, Madžarska, Nizozemska, Njemačka, novi Zeland, S A D, Španjolska, Švedska, Švicarska, Velika Britanija
Stabilizacija rješenja   injekcija   Stabilizacija rješenja : Foscarnet sodium     
Kontejner sredstvo za rastapanje koncentracija temperatura Konzerviranje Trajanje stabilnosti Bibliografija
polivinilklorid natrijumkorid 0,9% 12 mg/ml 25°C Sa i bez svjetlosti
30 dan
2
Razina dokaza C

polivinilklorid natrijumkorid 0,9% 12 mg/ml 25°C nespecifičan
35 dan
75
Razina dokaza C

polivinilklorid natrijumkorid 0,9% 12 mg/ml 5°C Zaštićeno od svjetlosti
30 dan
2
Razina dokaza C

polivinilklorid natrijumkorid 0,9% 12 mg/ml 5°C Zaštićeno od svjetlosti
35 dan
75
Razina dokaza C

polivinilklorid glukoza 5% 12 mg/ml 25°C nespecifičan
35 dan
75
Razina dokaza C

polivinilklorid glukoza 5% 12 mg/ml 5°C Zaštićeno od svjetlosti
35 dan
75
Razina dokaza C

Poliizoprenski elastomer natrijumkorid 0,9% 2 & 20 mg/ml 25°C nespecifičan
4 dan
604
Podaci proizvođača o stabilnosti

Poliizoprenski elastomer natrijumkorid 0,9% 2 & 20 mg/ml 4°C Zaštićeno od svjetlosti
14 dan
604
Podaci proizvođača o stabilnosti

Poliizoprenski elastomer glukoza 5% 2 & 20 mg/ml 25°C nespecifičan
4 dan
604
Podaci proizvođača o stabilnosti

Poliizoprenski elastomer glukoza 5% 2 & 20 mg/ml 4°C Zaštićeno od svjetlosti
14 dan
604
Podaci proizvođača o stabilnosti


  Mentions Légales