Dernière mise à jour :
18/03/2026
Antiviral   Foscarnet sodium  
injectable
Stabilité des solutions Stabilité en mélange Facteur influençant la stabilité Compatibilités Voie d’administration Bibliographie pdf
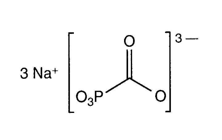
   Structure chimique  

Noms commerciaux   Noms commerciaux     

Les noms commerciaux sont donnés à titre indicatif et la composition en excipients peut être différente selon les pays et selon les laboratoires

Foscarnet Argentine, Chili, Colombie, Equateur, Espagne, Etats Unis d’Amérique, Mexique, Pérou, Portugal
Foscavir Allemagne, Australie, Autriche, Belgique, Espagne, Etats Unis d’Amérique, France, Grande Bretagne, Grèce, Hongrie, Italie, Luxembourg, Nouvelle Zélande, Pays bas, Suède, Suisse
Stabilité des solutions   injectable   Stabilité des solutions : Foscarnet sodium     
Contenant Solvant Concentration Température Conservation Durée de stabilité Bibliographie
Polyvinyl chlorure Chlorure de sodium 0,9% 12 mg/ml 25°C Avec ou sans lumière
30 Jour
2
Niveau de preuve C

Polyvinyl chlorure Chlorure de sodium 0,9% 12 mg/ml 25°C Non précisée
35 Jour
75
Niveau de preuve C

Polyvinyl chlorure Chlorure de sodium 0,9% 12 mg/ml 5°C A l’abri de la lumière
30 Jour
2
Niveau de preuve C

Polyvinyl chlorure Chlorure de sodium 0,9% 12 mg/ml 5°C A l’abri de la lumière
35 Jour
75
Niveau de preuve C

Polyvinyl chlorure Glucose 5% 12 mg/ml 25°C Non précisée
35 Jour
75
Niveau de preuve C

Polyvinyl chlorure Glucose 5% 12 mg/ml 5°C A l’abri de la lumière
35 Jour
75
Niveau de preuve C

Elastomère en polyisoprène Chlorure de sodium 0,9% 2 & 20 mg/ml 25°C Non précisée
4 Jour
604
Données de stabilité du fabricant

Elastomère en polyisoprène Chlorure de sodium 0,9% 2 & 20 mg/ml 4°C A l’abri de la lumière
14 Jour
604
Données de stabilité du fabricant

Elastomère en polyisoprène Glucose 5% 2 & 20 mg/ml 25°C Non précisée
4 Jour
604
Données de stabilité du fabricant

Elastomère en polyisoprène Glucose 5% 2 & 20 mg/ml 4°C A l’abri de la lumière
14 Jour
604
Données de stabilité du fabricant


  Mentions Légales