آخر تحديث :
27/04/2026
المضادة للفيروسات   Foscarnet sodium  
حقن
الاستقرار في حلول استقرار مخاليط العوامل التي تؤثر على الاستقرار التوافق طريقة التعاطي مراجع pdf
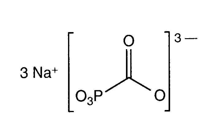
   التركيب الكيميائي  

حجز الاسم التجاري   حجز الاسم التجاري     

تحذير الأسماء التجاريه المختلفه قد تحتوي علي محتوي إضافات مختلفة حسب الدوله و المعمل

Foscarnet إسبانيا, الأرجنتين, الإكوادور, البرتغال, المكسيك, الولايات المتحدة, بيرو, تشيلي, كولومبيا
Foscavir أستراليا, ألمانيا, إسبانيا, إيطاليا, السويد, النمسا, الولايات المتحدة, بريطانيا العظمي, بلجيكا, زيلاندا الجديدة, سويسرا, فرنسا, لوكسمبورغ, هنغاريا, هولندا, يونان
الاستقرار في حلول   حقن   الاستقرار في حلول : Foscarnet sodium     
حاوية مذيب تركيز درجة الحرارة تخزين مدة الاستقرار مراجع
البولي فينيل كلوريد كلوريد الصوديوم 0.9% 12 mg/ml 25°C مع أو بدون ضوء
30 يوم
2
C مستوى الأدلة

البولي فينيل كلوريد كلوريد الصوديوم 0.9% 12 mg/ml 25°C لم يتم تحديد
35 يوم
75
C مستوى الأدلة

البولي فينيل كلوريد كلوريد الصوديوم 0.9% 12 mg/ml 5°C بعيدا عن الضوء
30 يوم
2
C مستوى الأدلة

البولي فينيل كلوريد كلوريد الصوديوم 0.9% 12 mg/ml 5°C بعيدا عن الضوء
35 يوم
75
C مستوى الأدلة

البولي فينيل كلوريد الجلوكوز %5 12 mg/ml 25°C لم يتم تحديد
35 يوم
75
C مستوى الأدلة

البولي فينيل كلوريد الجلوكوز %5 12 mg/ml 5°C بعيدا عن الضوء
35 يوم
75
C مستوى الأدلة

ولي إيزوبرين إلاستومر كلوريد الصوديوم 0.9% 2 & 20 mg/ml 25°C لم يتم تحديد
4 يوم
604
بيانات الشركة المصنعة \\ \'ق الاستقرار

ولي إيزوبرين إلاستومر كلوريد الصوديوم 0.9% 2 & 20 mg/ml 4°C بعيدا عن الضوء
14 يوم
604
بيانات الشركة المصنعة \\ \'ق الاستقرار

ولي إيزوبرين إلاستومر الجلوكوز %5 2 & 20 mg/ml 25°C لم يتم تحديد
4 يوم
604
بيانات الشركة المصنعة \\ \'ق الاستقرار

ولي إيزوبرين إلاستومر الجلوكوز %5 2 & 20 mg/ml 4°C بعيدا عن الضوء
14 يوم
604
بيانات الشركة المصنعة \\ \'ق الاستقرار


  Mentions Légales