Letztes “update” :
27/04/2026
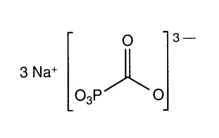
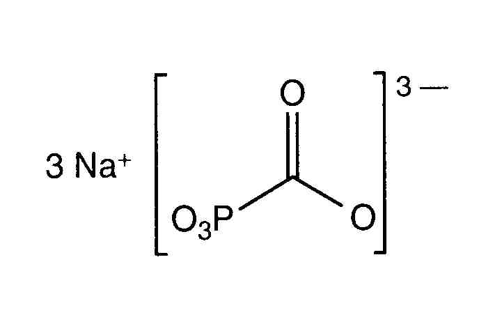
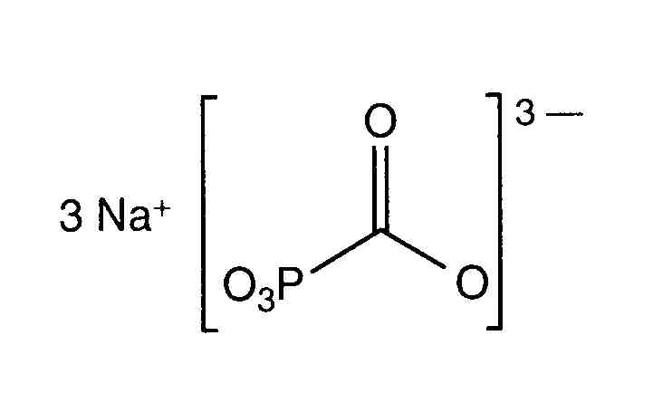
Antiviral   Foscarnet sodium  
Injektion
Stabilität der Lösung Gemengestabilität Stabilitätbeeinflussende Faktoren Kompatibilitäten Applikationsart Literaturverzeichnis pdf
   Chemische Struktur  

Handelsmarke   Handelsmarke     

Handelsnamen sind als beispielhaft anzusehen. Sonstige Bestandteile können je nach Hersteller oder Land verschieden sein

Foscarnet Argentinien, Chile, Ecuador, Kolumbien, Mexiko, Peru, Portugal, Spanien, Vereinigte Staaten von Amerika
Foscavir Australien, Belgien, Deutschland, Frankreich, Griechenland, Großbritannien, Italien, Luxemburg, Neuseeland, Niederlande, Österreich, Schweden, Schweiz, Spanien, Ungarn, Vereinigte Staaten von Amerika
Stabilität der Lösung   Injektion   Stabilität der Lösung : Foscarnet sodium     
Behälter Lösungsmittel Konzentration Temperatur Konservierung Dauer der Stabilität Literaturverzeichnis
Polyvinylchlorid 0,9% Natriumchlorid 12 mg/ml 25°C Mit oder ohne Licht
30 Tag
2
Evidenzgrad C

Polyvinylchlorid 0,9% Natriumchlorid 12 mg/ml 25°C Nicht genau angegeben
35 Tag
75
Evidenzgrad C

Polyvinylchlorid 0,9% Natriumchlorid 12 mg/ml 5°C Ohne Licht
30 Tag
2
Evidenzgrad C

Polyvinylchlorid 0,9% Natriumchlorid 12 mg/ml 5°C Ohne Licht
35 Tag
75
Evidenzgrad C

Polyvinylchlorid 5% Glucose 12 mg/ml 25°C Nicht genau angegeben
35 Tag
75
Evidenzgrad C

Polyvinylchlorid 5% Glucose 12 mg/ml 5°C Ohne Licht
35 Tag
75
Evidenzgrad C

Polyisoprenelastomer 0,9% Natriumchlorid 2 & 20 mg/ml 25°C Nicht genau angegeben
4 Tag
604
Stabilitätsdaten des Herstellers

Polyisoprenelastomer 0,9% Natriumchlorid 2 & 20 mg/ml 4°C Ohne Licht
14 Tag
604
Stabilitätsdaten des Herstellers

Polyisoprenelastomer 5% Glucose 2 & 20 mg/ml 25°C Nicht genau angegeben
4 Tag
604
Stabilitätsdaten des Herstellers

Polyisoprenelastomer 5% Glucose 2 & 20 mg/ml 4°C Ohne Licht
14 Tag
604
Stabilitätsdaten des Herstellers


  Mentions Légales