最新更新 :
27/01/2026
抗ウイルス薬   Foscarnet sodium  
注射薬
溶媒内の安定性 混合時の安定性 安定性に影響する因子 互換性 投与経路 引用文献 PDF
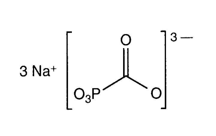
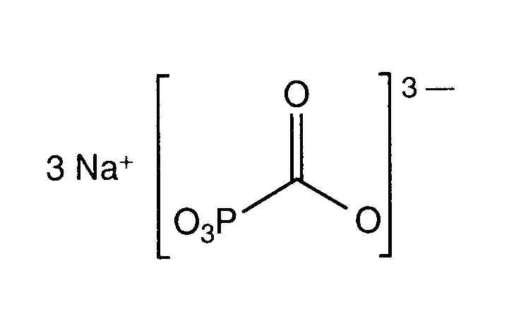
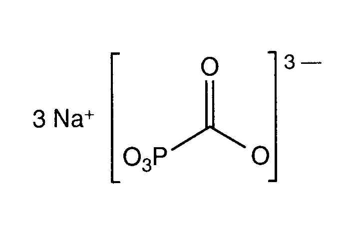
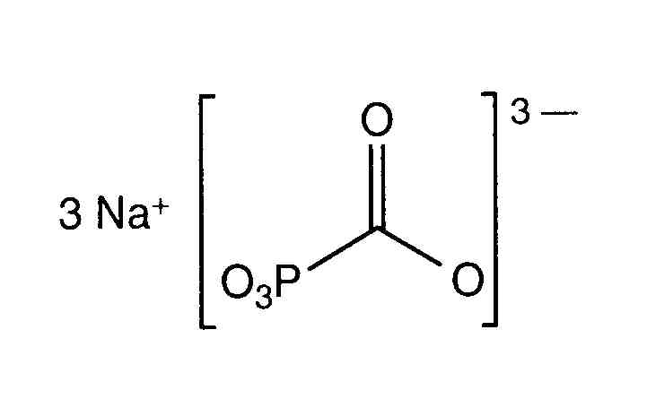
   化学構造  

商品名   商品名     

商品名、賦形剤は国、製薬会社ごとに異なることがあります

Foscarnet アメリカ, アルゼンチン, エクアドル, コロンビア, スペイン, チリ, ペルー, ポルトガル, メキシコ
Foscavir アメリカ, アーストラリア, イギリス, イタリア, オランダ, オーストリア, ギリシア, スイス, スウェーデン, スペイン, ドイツ, ニュージーランド, ハンガリー, フランス, ベルギー, ルクセンブルグ
溶媒内の安定性   注射薬   溶媒内の安定性 : Foscarnet sodium     
容器 溶媒 濃度 温度 保管 安定期間 引用文献
ポリ塩化ビニル(PVC) NaCl 0,9% 12 mg/ml 25°C 光/遮光
30 日
2
エビデンスレベル C

ポリ塩化ビニル(PVC) NaCl 0,9% 12 mg/ml 25°C 特記なし
35 日
75
エビデンスレベル C

ポリ塩化ビニル(PVC) NaCl 0,9% 12 mg/ml 5°C 遮光
30 日
2
エビデンスレベル C

ポリ塩化ビニル(PVC) NaCl 0,9% 12 mg/ml 5°C 遮光
35 日
75
エビデンスレベル C

ポリ塩化ビニル(PVC) グルコース5% 12 mg/ml 25°C 特記なし
35 日
75
エビデンスレベル C

ポリ塩化ビニル(PVC) グルコース5% 12 mg/ml 5°C 遮光
35 日
75
エビデンスレベル C

ポリイソプレンエラストマー NaCl 0,9% 2 & 20 mg/ml 25°C 特記なし
4 日
604
製薬会社の安定性データ

ポリイソプレンエラストマー NaCl 0,9% 2 & 20 mg/ml 4°C 遮光
14 日
604
製薬会社の安定性データ

ポリイソプレンエラストマー グルコース5% 2 & 20 mg/ml 25°C 特記なし
4 日
604
製薬会社の安定性データ

ポリイソプレンエラストマー グルコース5% 2 & 20 mg/ml 4°C 遮光
14 日
604
製薬会社の安定性データ


  Mentions Légales