Posledná aktualizácia :
27/04/2026
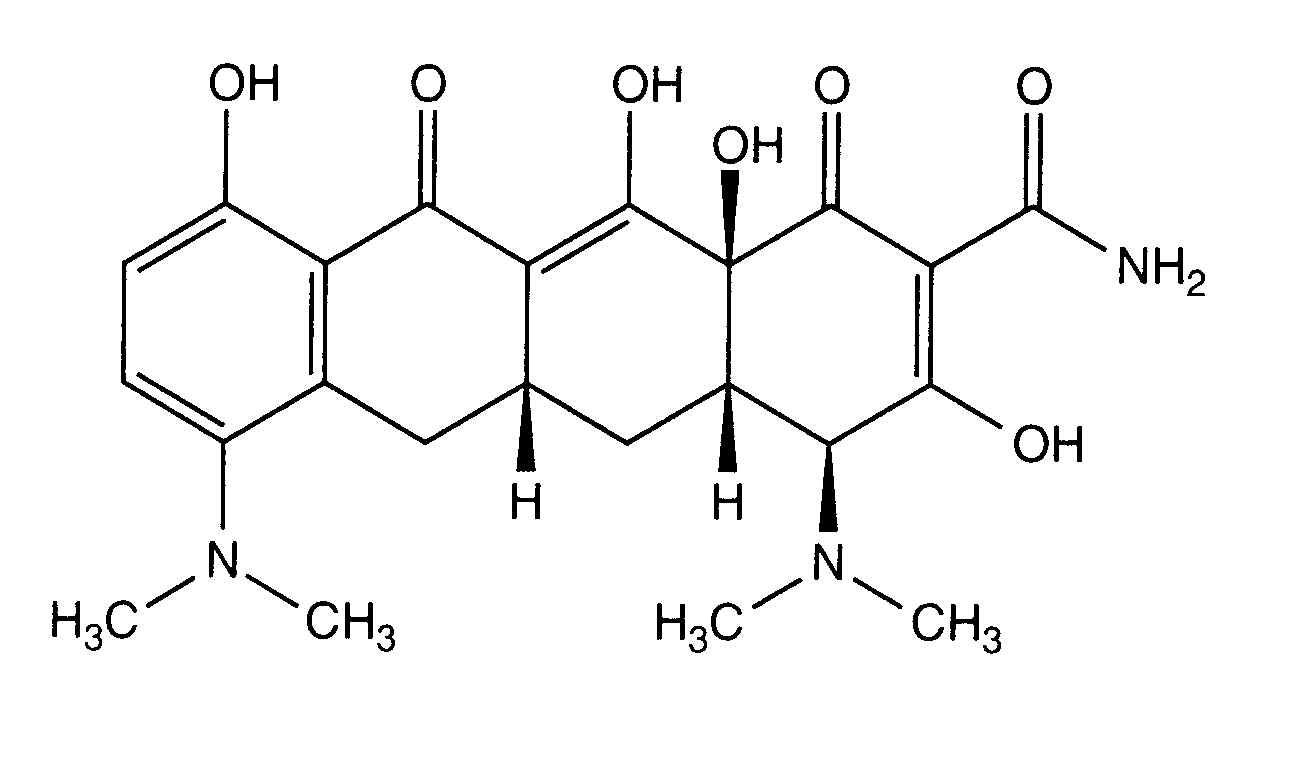
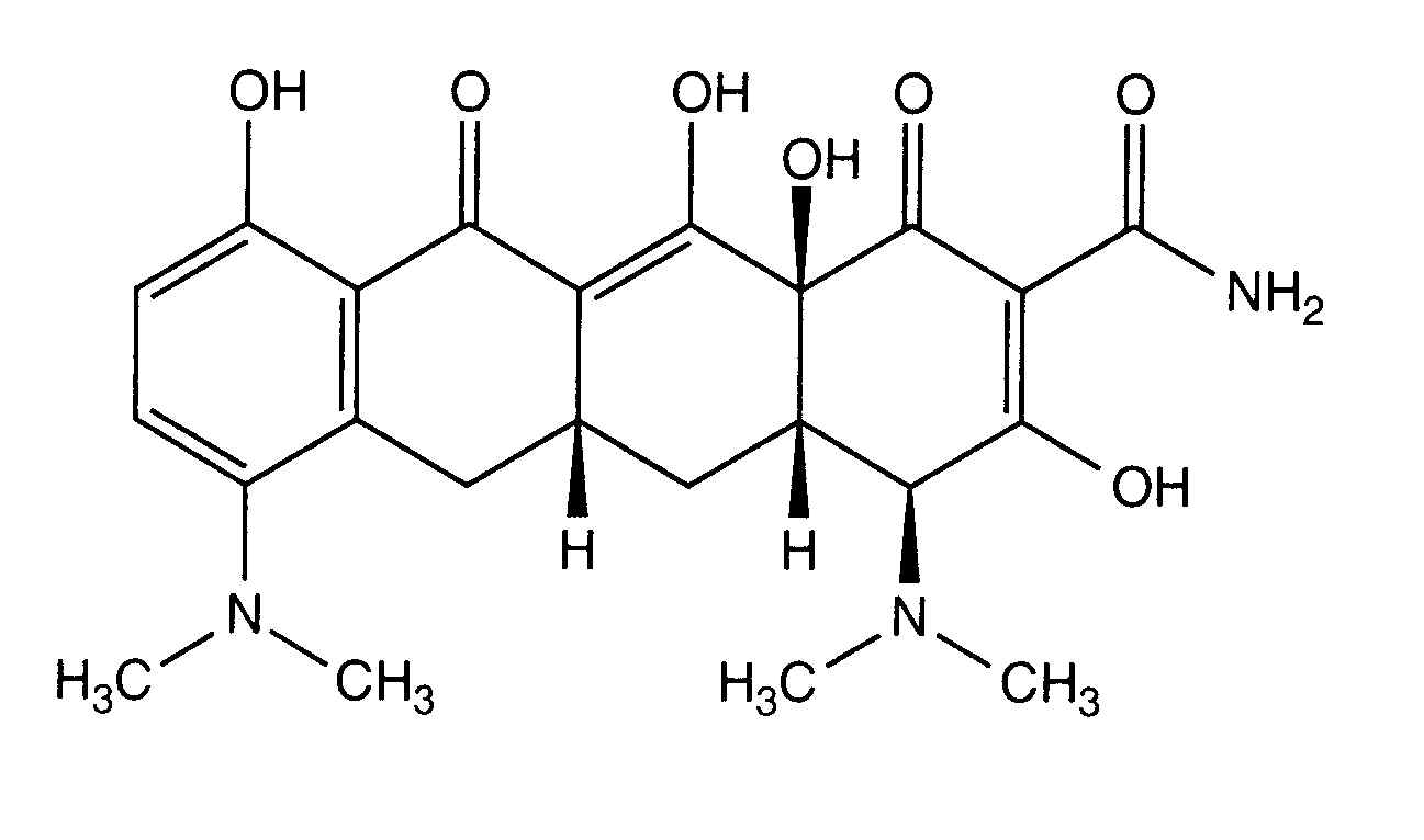
antibiotikum   Minocycline hydrochloride  
Injekcia
Perorálny roztok
Stabilita roztokov Stabilita v zmesiach Faktory ovplyvňujúce stabilitu Kompatibility spôsob podania Odkazy na literatúru PDF
   Chemický vzorec  

Obchodný názov   Obchodný názov     

Obchodné názvy sú orientačné, a zloženie pomocných látok sa môže líšiť v závislosti od krajiny a výrobcu.

Minocin Spojené štáty Americké
Stabilita roztokov   Injekcia   Stabilita roztokov : Minocycline hydrochloride     
obal rozpúšťadlo koncentrácia teplota uchovávanie Trvanie stability odkazy na lieteratúru
polyvinylchlorid (PVC) 0,9% chlorid sodný 0,1 mg/ml 24°C nešpecifikované
7 dní
263
Úroveň dôkazov B+

polyvinylchlorid (PVC) 0,9% chlorid sodný 0,1 mg/ml 4°C nešpecifikované
7 dní
263
Úroveň dôkazov B+

polyvinylchlorid (PVC) 5% glukóza 0,1 mg/ml 24°C nešpecifikované
7 dní
263
Úroveň dôkazov B+

polyvinylchlorid (PVC) 5% glukóza 0,1 mg/ml 4°C nešpecifikované
7 dní
263
Úroveň dôkazov B+


  Mentions Légales