最新更新 :
31/03/2026
抗菌薬   Minocycline hydrochloride  
注射薬
経口液
溶媒内の安定性 混合時の安定性 安定性に影響する因子 互換性 投与経路 引用文献 PDF
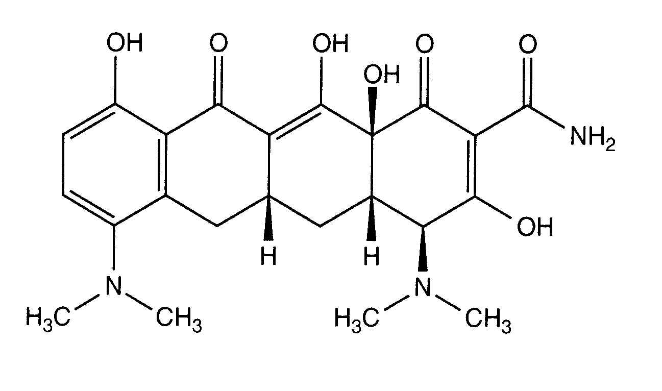
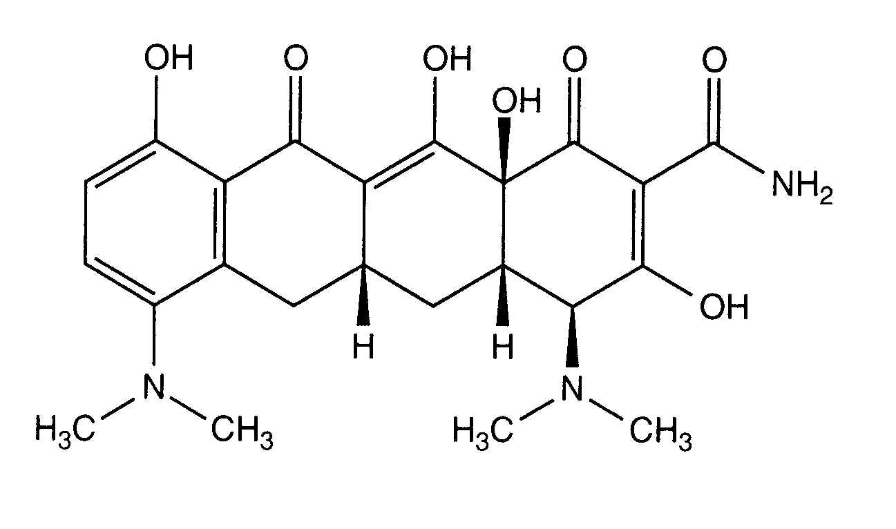
   化学構造  

商品名   商品名     

商品名、賦形剤は国、製薬会社ごとに異なることがあります

Minocin アメリカ
溶媒内の安定性   注射薬   溶媒内の安定性 : Minocycline hydrochloride     
容器 溶媒 濃度 温度 保管 安定期間 引用文献
ポリ塩化ビニル(PVC) NaCl 0,9% 0,1 mg/ml 24°C 特記なし
7 日
263
エビデンスレベル B+

ポリ塩化ビニル(PVC) NaCl 0,9% 0,1 mg/ml 4°C 特記なし
7 日
263
エビデンスレベル B+

ポリ塩化ビニル(PVC) グルコース5% 0,1 mg/ml 24°C 特記なし
7 日
263
エビデンスレベル B+

ポリ塩化ビニル(PVC) グルコース5% 0,1 mg/ml 4°C 特記なし
7 日
263
エビデンスレベル B+


  Mentions Légales