Poslední aktualizace :
27/04/2026
Antibiotikas   Minocycline hydrochloride  
Įpurškimas
Geriamas tirpalas
Tirpalų stabilumas Mišinių stabilumas Stabilumą lemiantys veiksniai Suderinamumas Leidimo būdai Bibliografija pdf
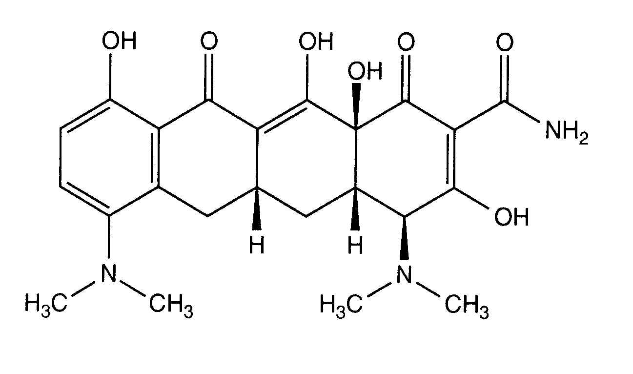
   Cheminė sandara  

Prekinis pavadinimas   Prekinis pavadinimas     

Trade names are indicative and excipients composition can be different depending on the country and manufacturers

Minocin Jungtinės Amerikos Valstijos
Tirpalų stabilumas   Įpurškimas   Tirpalų stabilumas : Minocycline hydrochloride     
Pakuotė Tirpiklis Koncentracija Temperatūra Laikymas Stabilumo trukmė Nuorodos
Polivinilchloridas Natrio chloridas 0,9% 0,1 mg/ml 24°C Nenurodyta
7 Diena
263
Bandymo lygis B+

Polivinilchloridas Natrio chloridas 0,9% 0,1 mg/ml 4°C Nenurodyta
7 Diena
263
Bandymo lygis B+

Polivinilchloridas Gliukozė 5% 0,1 mg/ml 24°C Nenurodyta
7 Diena
263
Bandymo lygis B+

Polivinilchloridas Gliukozė 5% 0,1 mg/ml 4°C Nenurodyta
7 Diena
263
Bandymo lygis B+


  Mentions Légales