viimane versioon :
27/04/2026
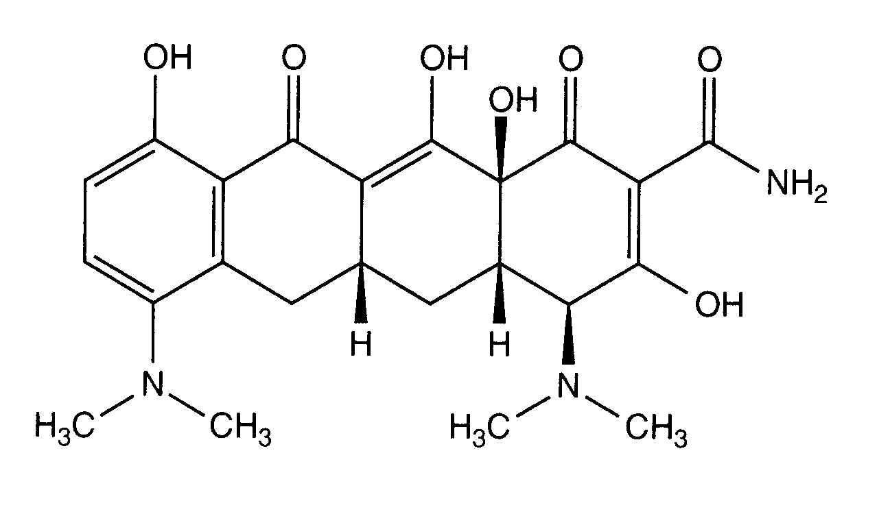
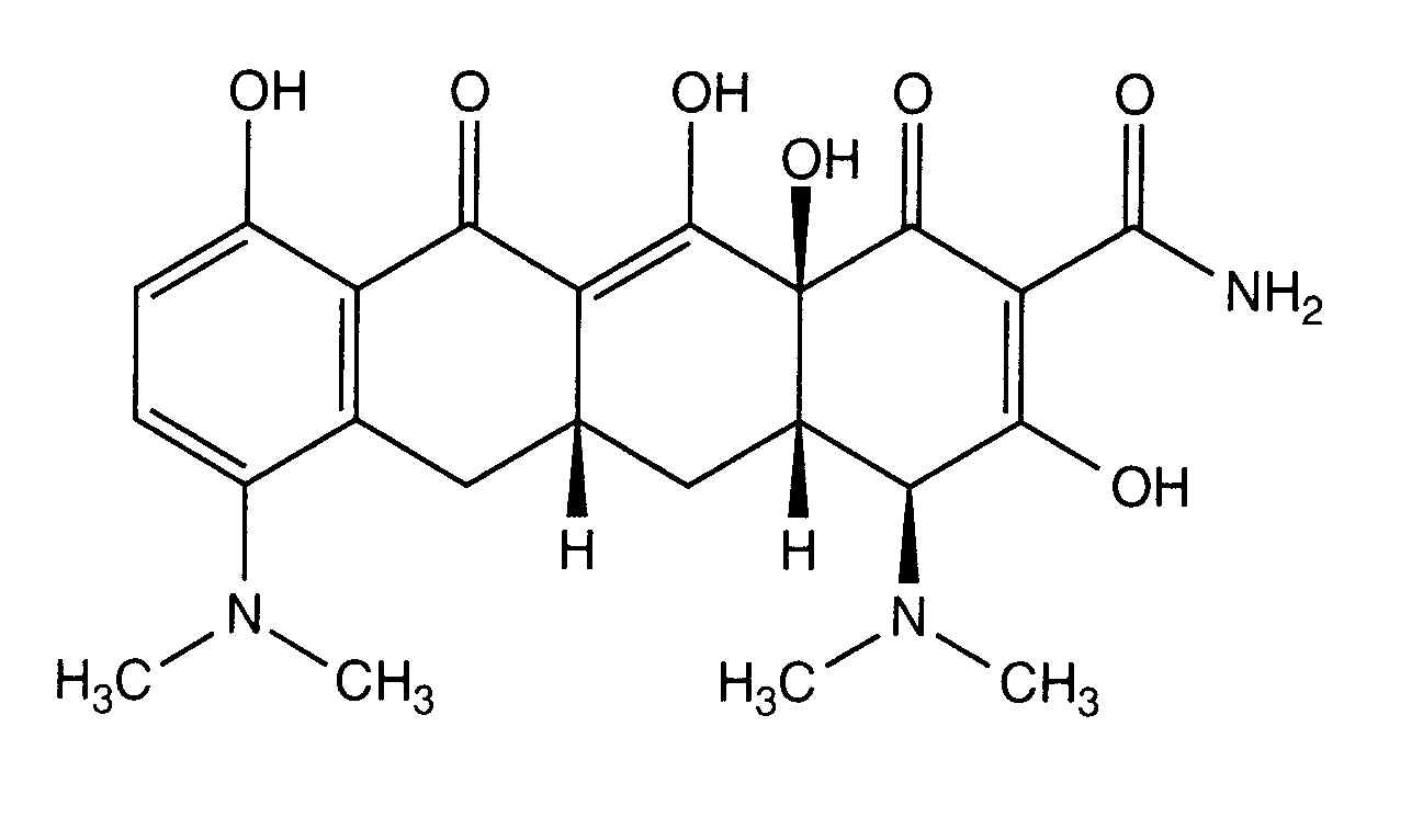
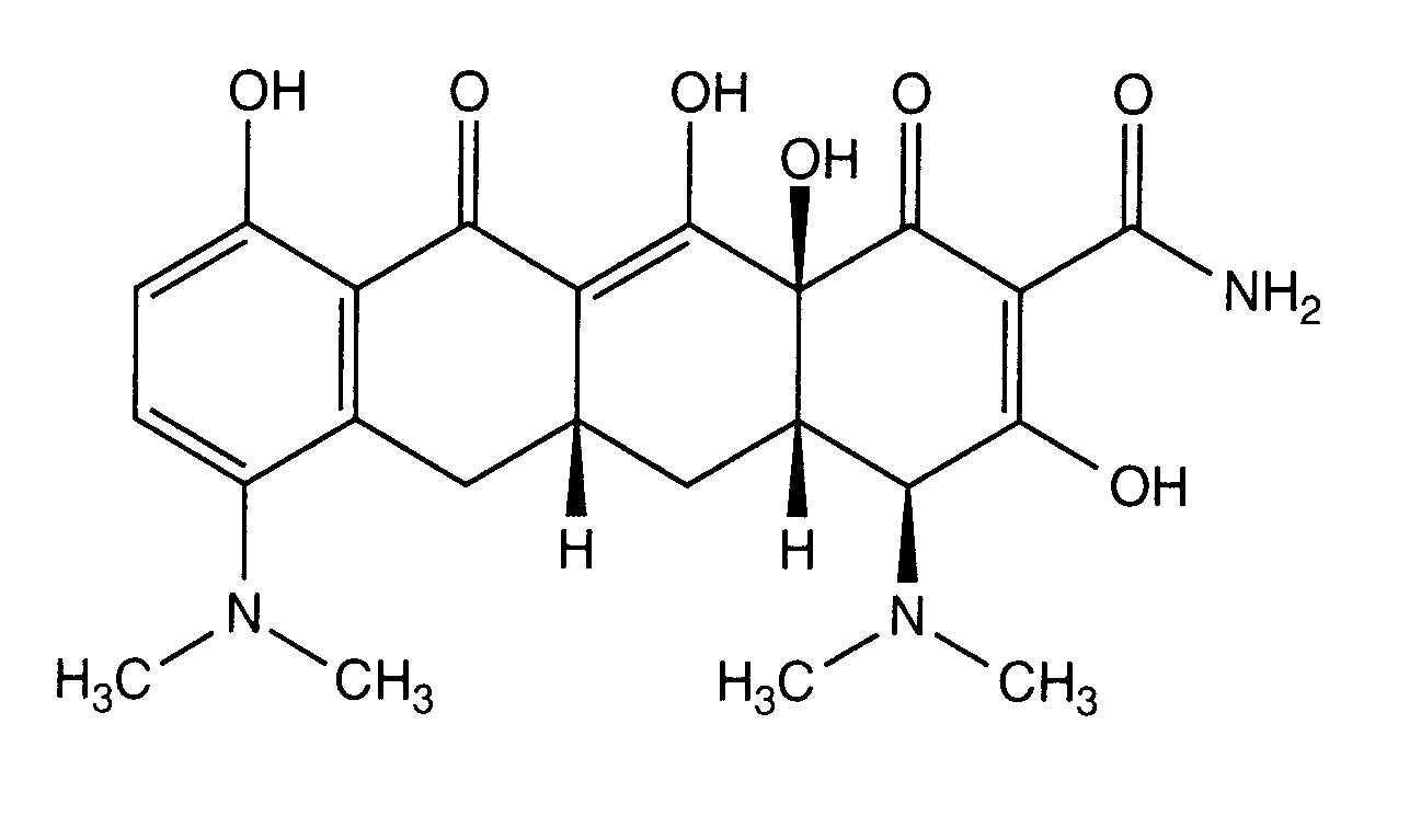
antibiootikum   Minocycline hydrochloride  
Süsteravim
suukaudne lahus
Stabiilsus lahustes Stabiilsust mõjutavad tegurid stabiilsust mõjutavad faktorid Sobimatus Manustamis viis Viited pdf
   keemiline struktuur  

Kaubanduslikud nimed erinevates maades   Kaubanduslikud nimed erinevates maades     

Preparaatide nimed on näitlikud ja abianete sisaldus võib erineda sõltuvalt riigist ja laborist

Minocin Ameerika ühendriigid
Stabiilsus lahustes   Süsteravim   Stabiilsus lahustes : Minocycline hydrochloride     
konteiner lahusti kontsentratsioon temperatuur ladustamine Stabiilsuse kestus Viited
polüvinüülkloriid naatriumkloriid 0.9% 0,1 mg/ml 24°C pole täpsustatud
7 päev
263
Tõenduspõhisuse tase B+

polüvinüülkloriid naatriumkloriid 0.9% 0,1 mg/ml 4°C pole täpsustatud
7 päev
263
Tõenduspõhisuse tase B+

polüvinüülkloriid glükoos 5% 0,1 mg/ml 24°C pole täpsustatud
7 päev
263
Tõenduspõhisuse tase B+

polüvinüülkloriid glükoos 5% 0,1 mg/ml 4°C pole täpsustatud
7 päev
263
Tõenduspõhisuse tase B+


  Mentions Légales