Laatste update :
31/03/2026
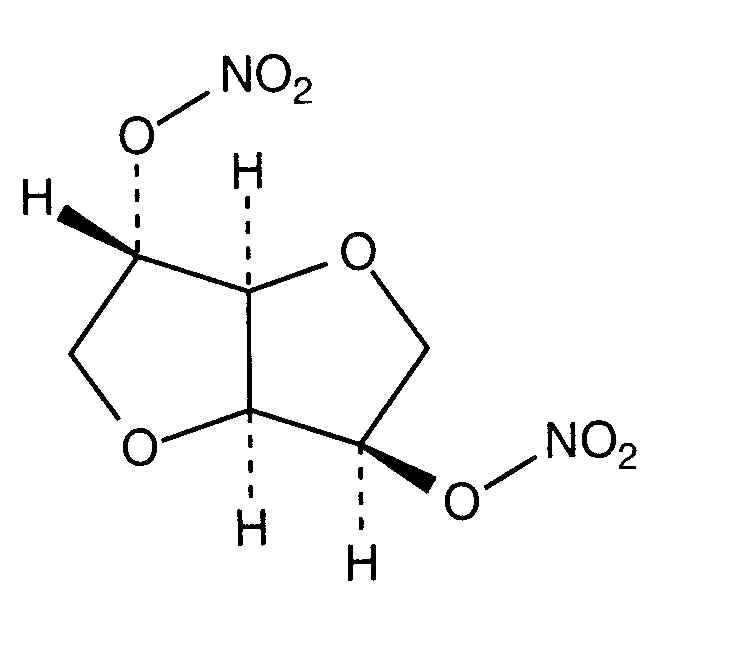
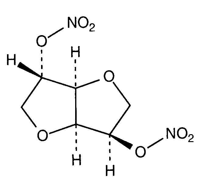
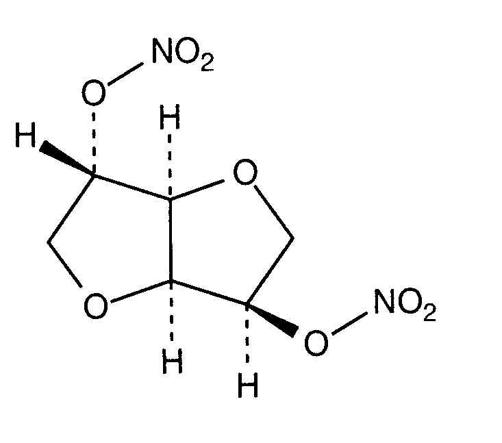
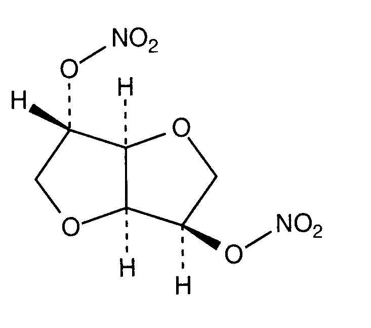
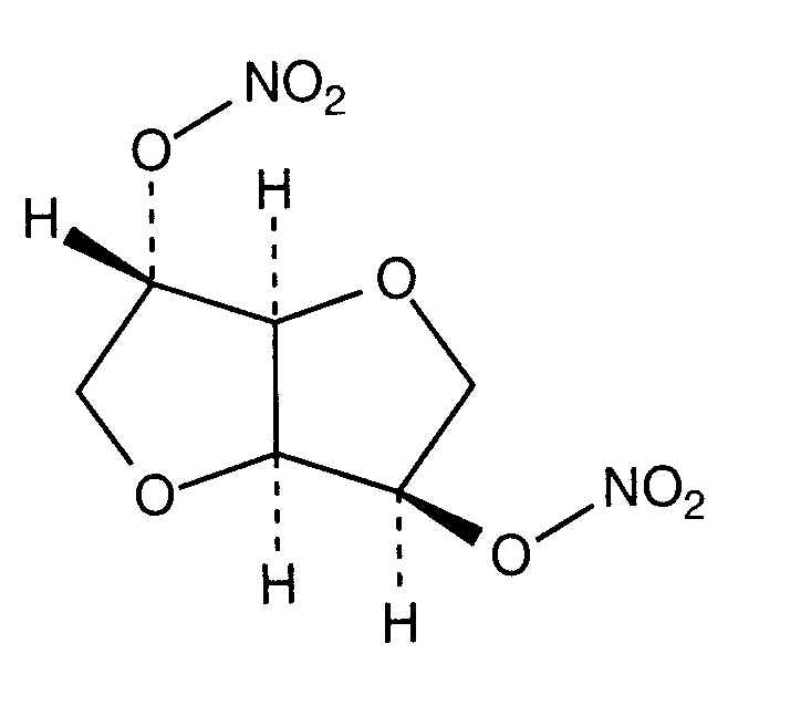
Vaatverwijder   Isosorbide dinitrate  
injecteerbaar geneesmiddel
Stabiliteit in oplossing Stabiliteit in mengsels Factoren die de stabiliteit beïnvloeden Verenigbaarheden Toedieningswijze Literatuur pdf
   Molecuulstructuur  

Merknamen in verschillende landen   Merknamen in verschillende landen     

Handelsnamen zijn slechts een indicatie; de samenstelling van hulpstoffen kan per land variëren afhankelijk van de fabrikant

Angsobide Maleisië
Cedocard Nederland
Diniket Italië
Dinit Groot Britannië
Ekilbran Mexico
Isoket Egypte, Groot Britannië, Ierland, Luxemburg, Maleisië, Mexico, Oostenrijk, Peru, Polen, Portugal, Saudi-Arabië, Venezuela, Verenigde Arabische Emiraten, Zwitserland
Isonit Ecuador, Peru
Nitrosid Finland
Nitrosorbide Italië
Risordan Frankrijk
Zanisor Mexico
Stabiliteit in mengsels   injecteerbaar geneesmiddel   Stabiliteit in mengsels : Isosorbide dinitrate     
geen gegevens

  Mentions Légales