Seneste opdatering :
31/03/2026
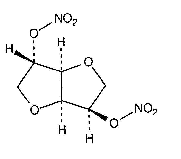
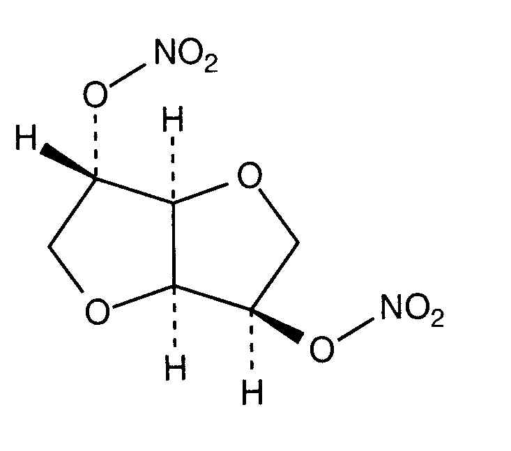
Vasodilator   Isosorbide dinitrate  
Injektion
Stabilitet i (vandige) opløsninger Stabilitet i blandinger Faktorer der påvirker stabiliteten Kompatibilitet Administrationsvej Bibliografi pdf
   Kemisk struktur  

Handelsnavn   Handelsnavn     

Handel navne er vejledende og hjælpestoffer sammensætning kan være forskellig afhængigt af landet og laboratorier

Angsobide Malaysia
Cedocard Holland
Diniket Italien
Dinit Storbritanien
Ekilbran Mexico
Isoket Forenede Arabiske Emirater, Irland, Luxemborg, Malaysia, Marokko, Mexico, Polen, Portugal, Saudi-Arabien, Schweiz, Storbritanien, Venezuela, Ægypten, Østrig
Isonit Ecuador, Marokko
Nitrosid Finland
Nitrosorbide Italien
Risordan Frankrig
Zanisor Mexico
Stabilitet i blandinger   Injektion   Stabilitet i blandinger : Isosorbide dinitrate     
Ingen data

  Mentions Légales