Τελευταία ενημέρωση :
31/03/2026
Θρομβολυτικό   Isosorbide dinitrate  
Ενέσιμο
Σταθερότητα διαλυμάτων Σταθερότητα σε μίγματα Παράγοντας που επηρεάζει τη σταθερότητα Συμβατότητες Τρόπος χορήγησης Βιβλιογραφία pdf
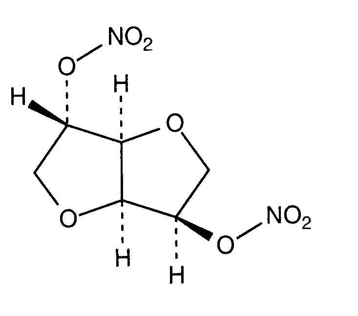
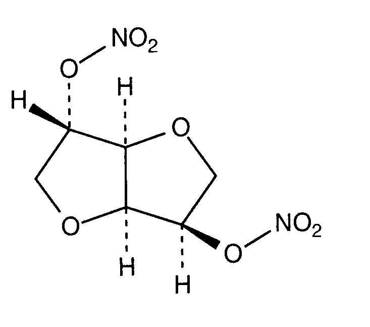
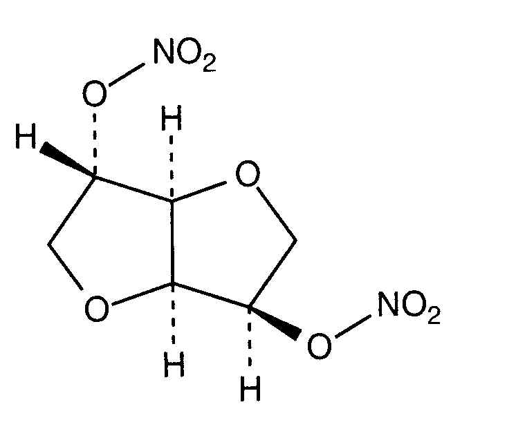
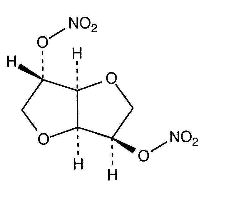
   χημική δομή  

Εμπορική ονομασία   Εμπορική ονομασία     

Οι εμπορικές ονομασίες είναι ενδεικτικές και η σύνθεση των εκδόχων μπορεί να διαφέρει ανάλογα με τη χώρα και τα εργαστήρια

Angsobide Μαλαισία
Cedocard Ολλανδία
Diniket Ιταλία
Dinit Μεγάλη Βρετανία
Ekilbran Μεξικό
Isoket Yhdistyneet arabiemiirikunnat, Αίγυπτος, Αυστρία, Βενεζουέλα, Ελβετία, Ιρλανδία, Λουξεμβούργο, Μαλαισία, Μεγάλη Βρετανία, Μεξικό, Περού, Πολωνία, Πορτογαλία, Σαουδική Αραβία
Isonit Εκουαδόρ, Περού
Nitrosid Φινλανδία
Nitrosorbide Ιταλία
Risordan Γαλλία
Zanisor Μεξικό
Σταθερότητα σε μίγματα   Ενέσιμο   Σταθερότητα σε μίγματα : Isosorbide dinitrate     
Δεν υπάρχουν πληροφορίες

  Mentions Légales