Última actualización :
31/03/2026
Vasodilatador   Isosorbide dinitrate  
Inyectables
Estabilidad en solucion Estabilidad en mezcla Factores que influyen sobre la estabilidad Compatibilidades método de inyección Bibliografía pdf
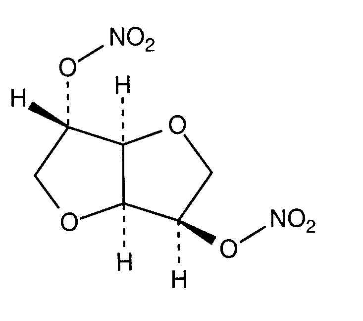
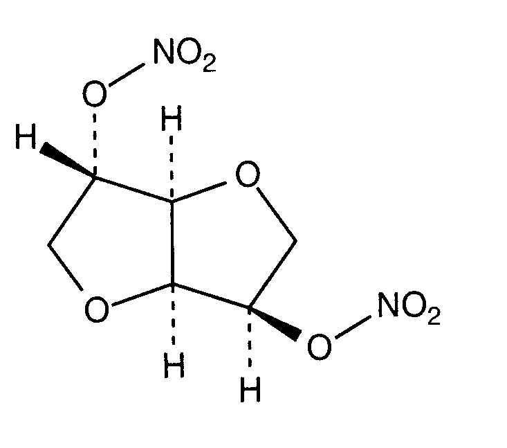
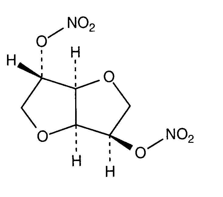
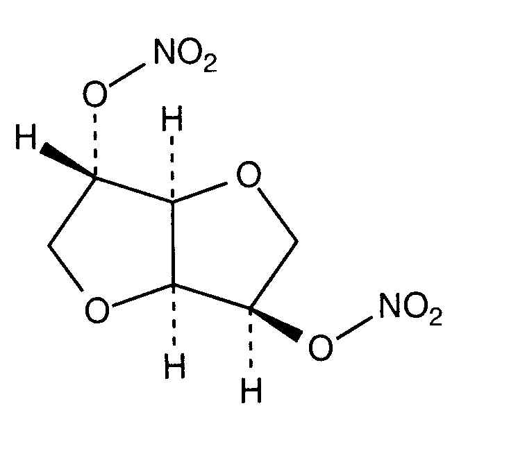
   Estructura química  

Nombre comercial   Nombre comercial     

Los nombres comerciales son orientativos y los excipientes de la formulación pueden ser distintos dependiendo del país y del laboratorio fabricante.

Angsobide Malasia
Cedocard Países Bajos
Diniket Italia
Dinit Gran Bretaña
Ekilbran México
Isoket Arabia Saudita, Austria, Egipto, Emiratos Árabes Unidos, Gran Bretaña, Irlanda, Luxemburgo, Malasia, Marruecos, México, Polonia, Portugal, Suiza, Venezuela
Isonit Ecuador, Marruecos
Nitrosid Finlandia
Nitrosorbide Italia
Risordan Francia
Zanisor México
Estabilidad en mezcla   Inyectables   Estabilidad en mezcla : Isosorbide dinitrate     
Ausencia de datos

  Mentions Légales