最新更新 :
31/03/2026
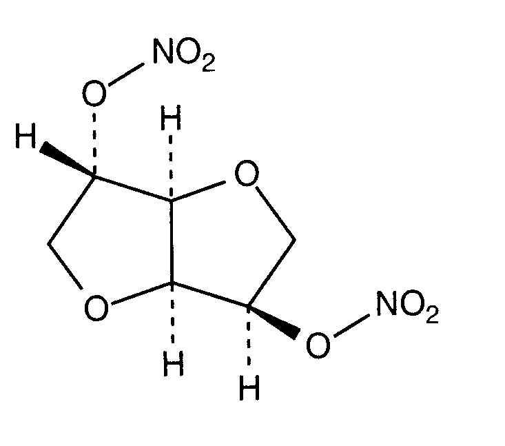
扩张血管药   Isosorbide dinitrate  
注射液
溶液稳定性 混合物稳定性 影响稳定性的因素 兼容性 用药途径 引用文献 PDF
   化学式  

商品名   商品名     

商品名仅供参考, 药品所用的辅料可能依国家或厂商不同有所不同。

Angsobide 马来西亚
Cedocard 荷兰
Diniket 意大利
Dinit 英国
Ekilbran 墨西哥
Isoket 卢森堡, 埃及, 墨西哥, 奥地利, 委内瑞拉, 沙特阿拉伯, 波兰, 爱尔兰, 瑞士, 秘鲁, 英国, 葡萄牙, 阿联酋, 马来西亚
Isonit 厄瓜多尔, 秘鲁
Nitrosid 芬兰
Nitrosorbide 意大利
Risordan 法国
Zanisor 墨西哥
混合物稳定性   注射液   混合物稳定性 : Isosorbide dinitrate     
无数据

  Mentions Légales