Posledná aktualizácia :
27/01/2026
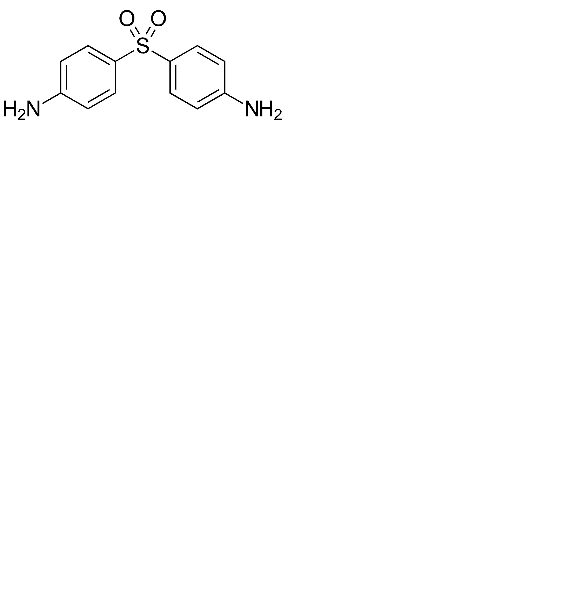
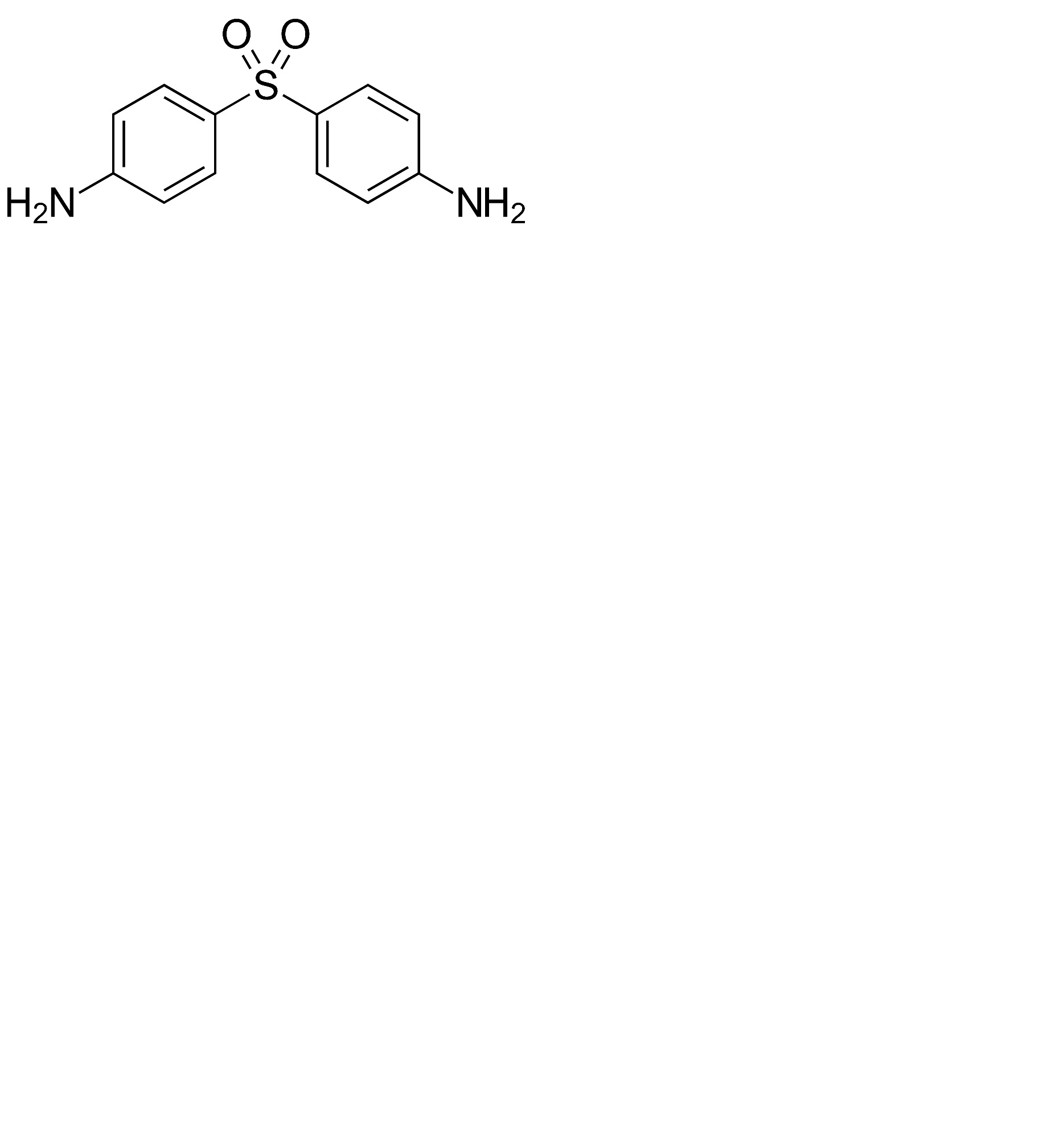
antibiotikum   Dapsone  
Dermálny prípravok
Perorálny roztok
Stabilita farmaceutických prípravkov Stabilita v zmesiach Faktory ovplyvňujúce stabilitu Kompatibility Odkazy na literatúru PDF
   Chemický vzorec  

Dermálny prípravok

Faktory ovplyvňujúce stabilitu   Dermálny prípravok   Faktory ovplyvňujúce stabilitu : Dapsone        
žiadne údaje

  Mentions Légales