最新更新 :
27/01/2026
抗生素   Dapsone  
药膏
口服剂
制剂的稳定性 混合物稳定性 影响稳定性的因素 兼容性 引用文献 PDF
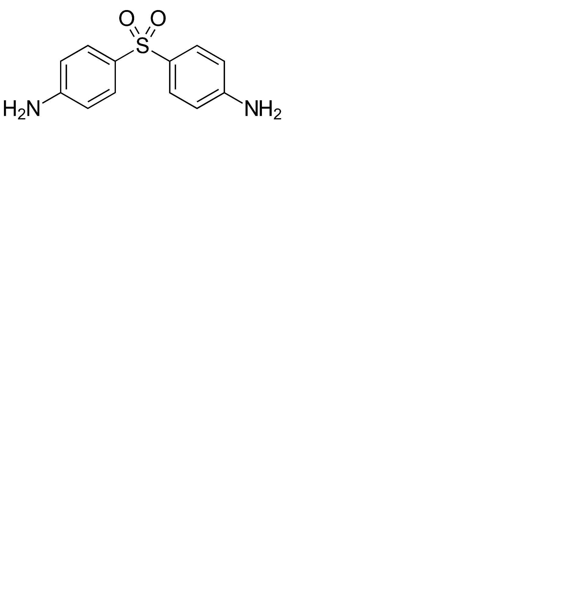
   化学式  

药膏

影响稳定性的因素   药膏   影响稳定性的因素 : Dapsone        
无数据

  Mentions Légales