Viimeisin päivitys :
27/01/2026
Antibiootit   Dapsone  
Salvat
Oraaliliuos
Vakaus lääkevalmisteen Stabilius seoksissa Tekijät, jotka vaikuttavat stabiliuteen Yhteensopivuus Viitteet pdf
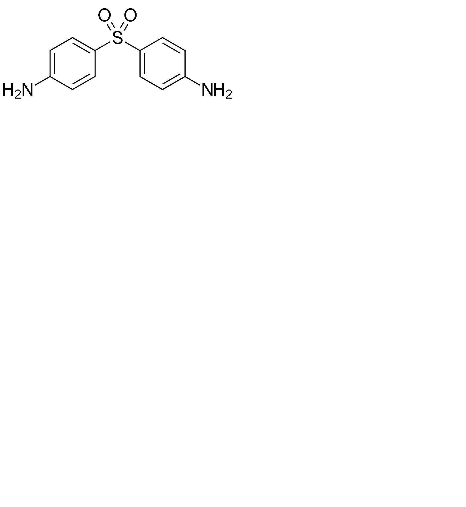
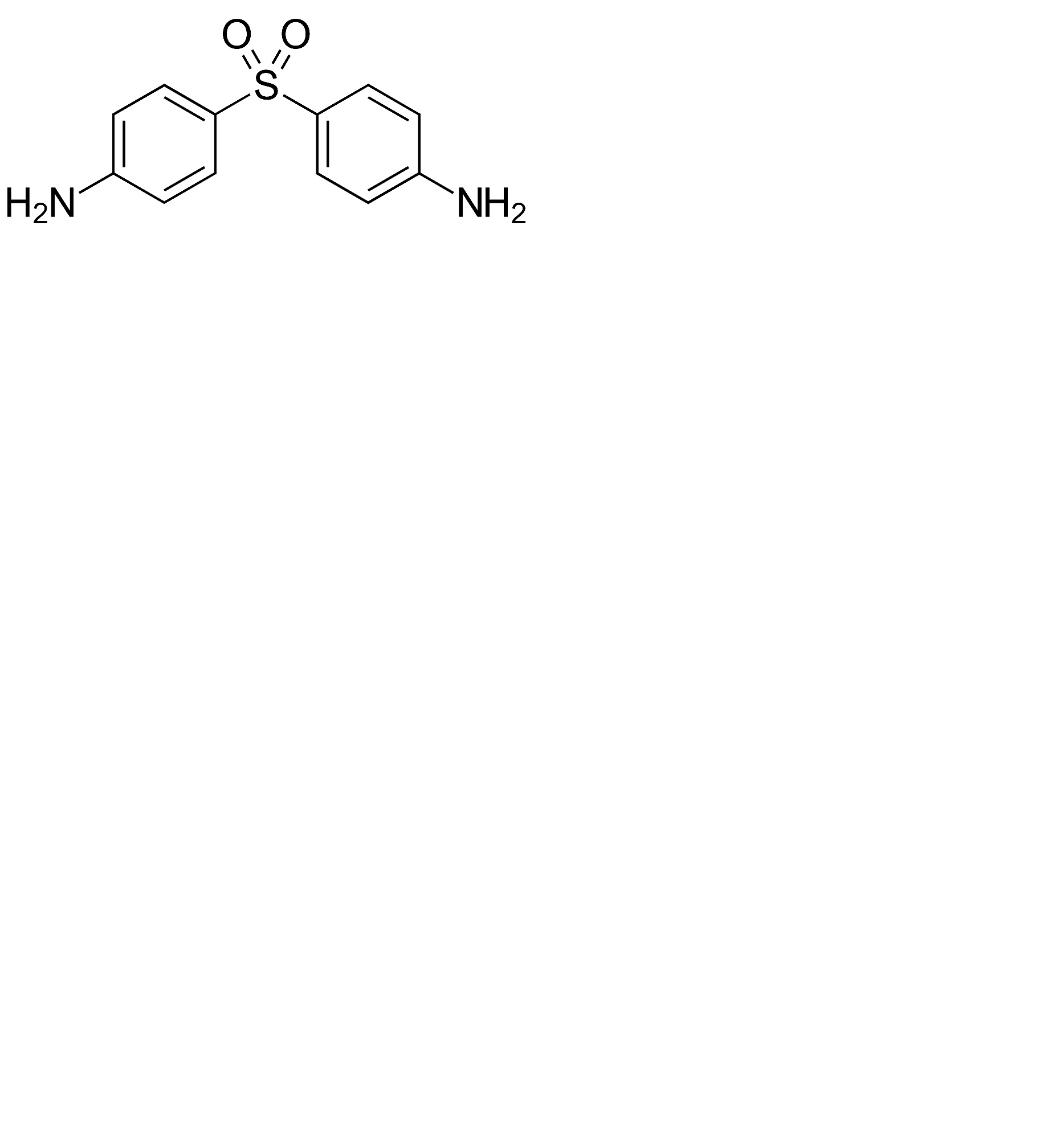
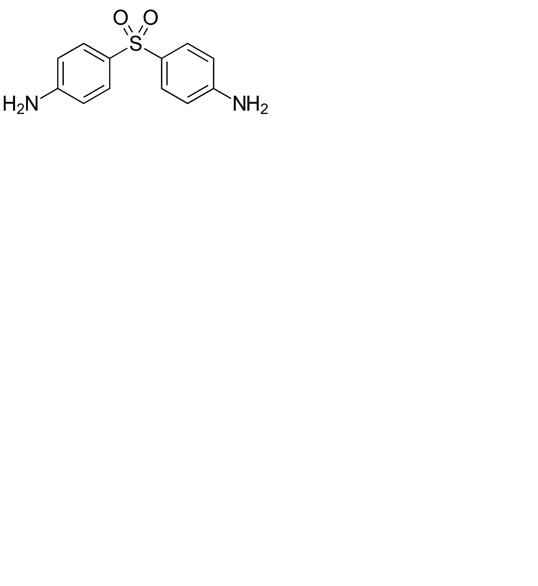
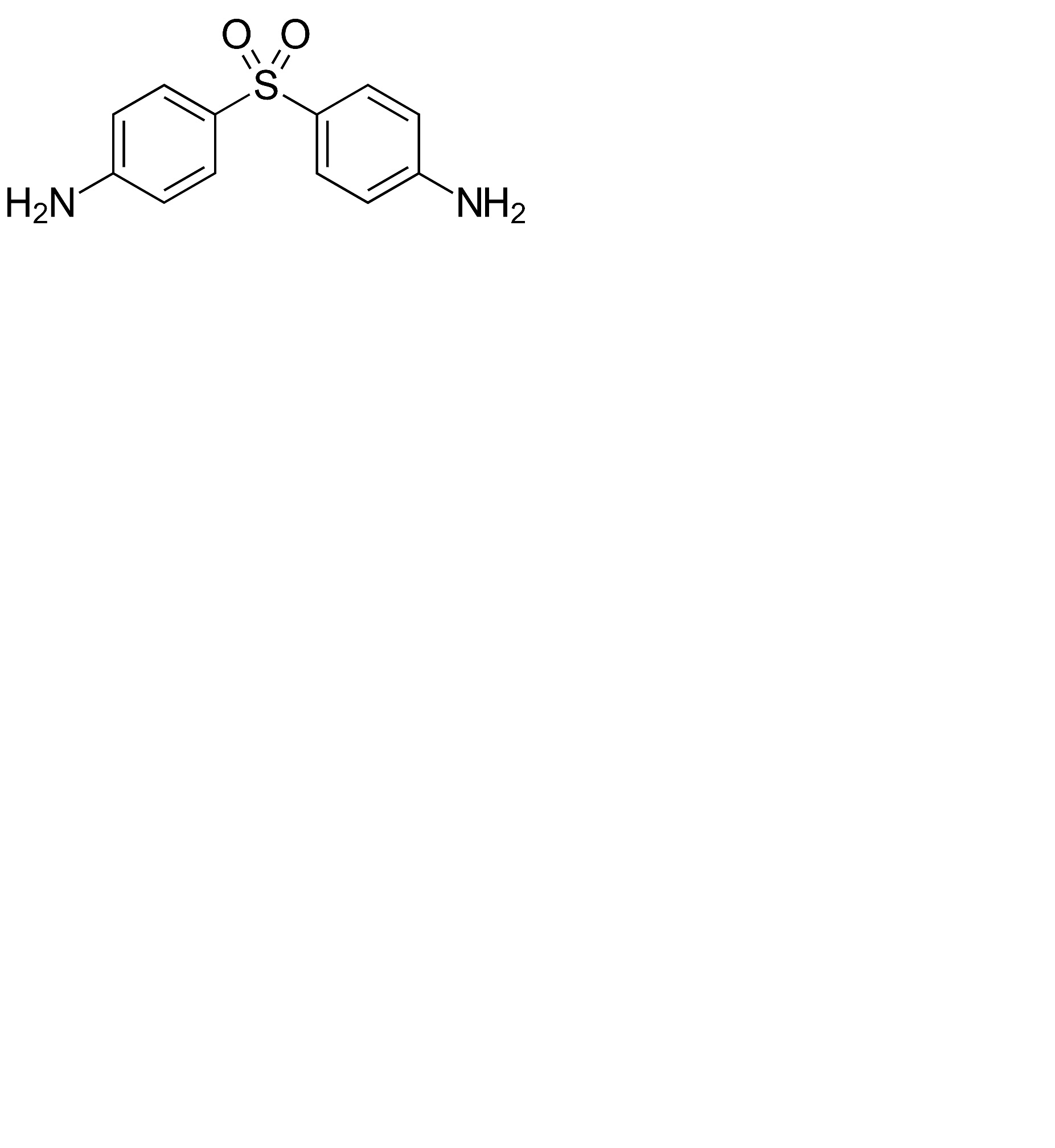
   Kemiallinen rakenne  

Salvat

Tekijät, jotka vaikuttavat stabiliuteen   Salvat   Tekijät, jotka vaikuttavat stabiliuteen : Dapsone        
ei tietoa

  Mentions Légales