Seneste opdatering :
27/01/2026
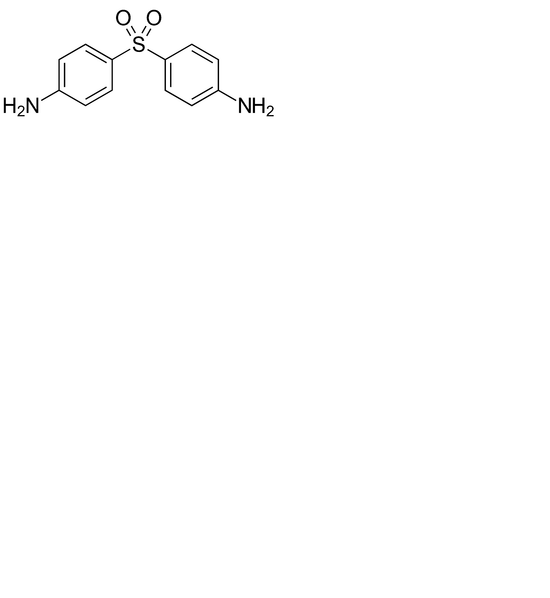
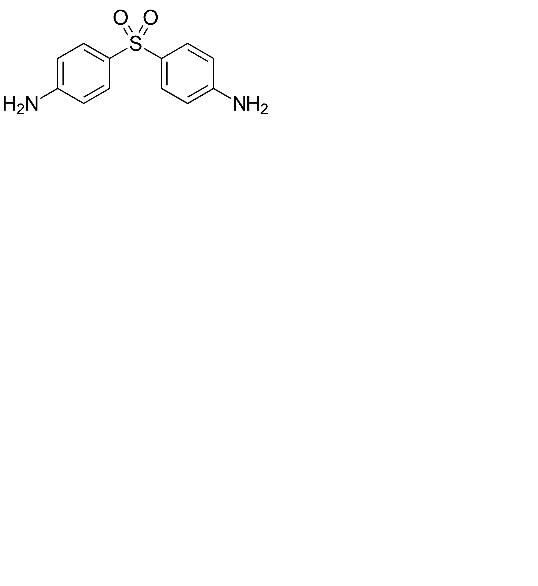
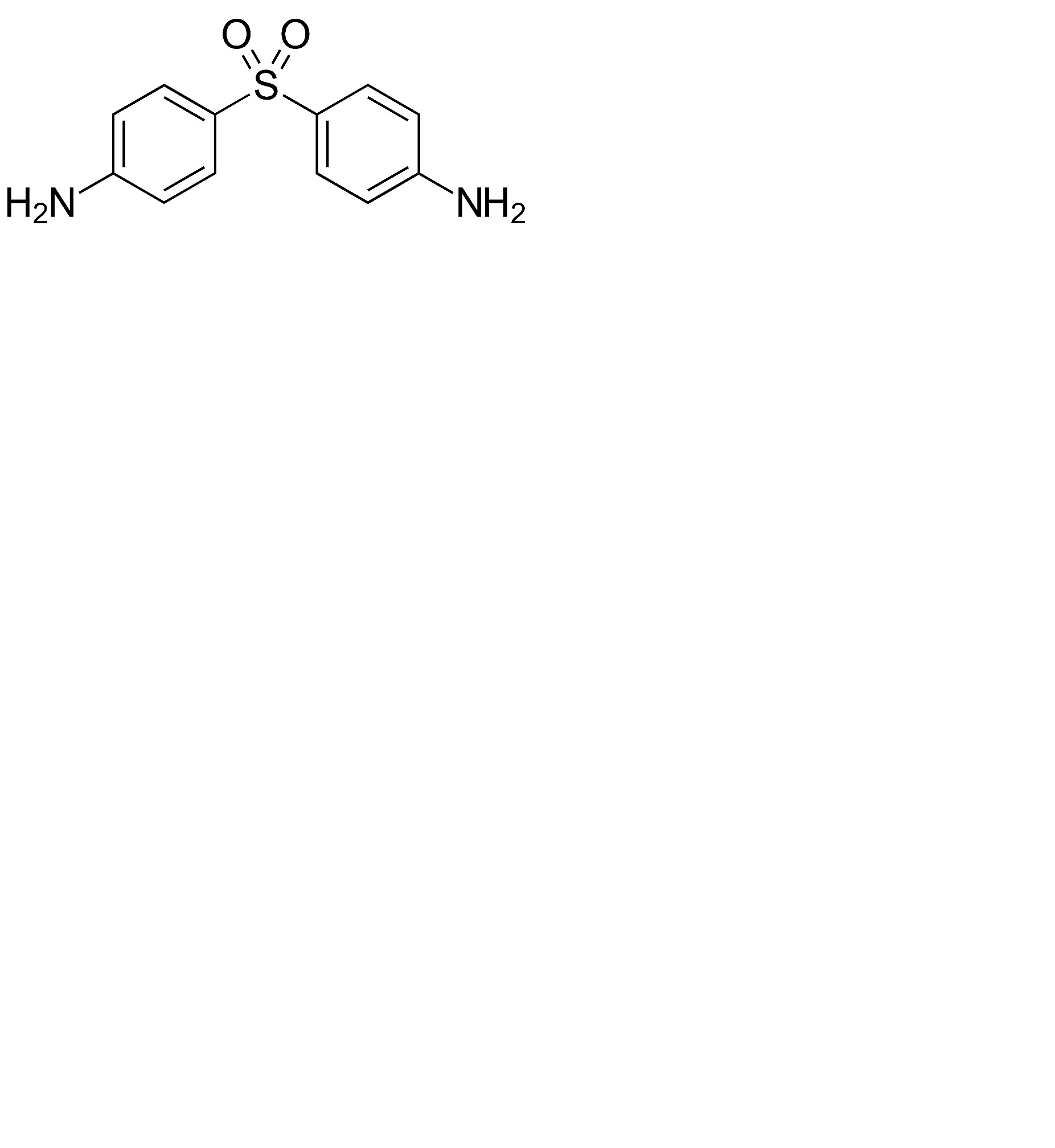
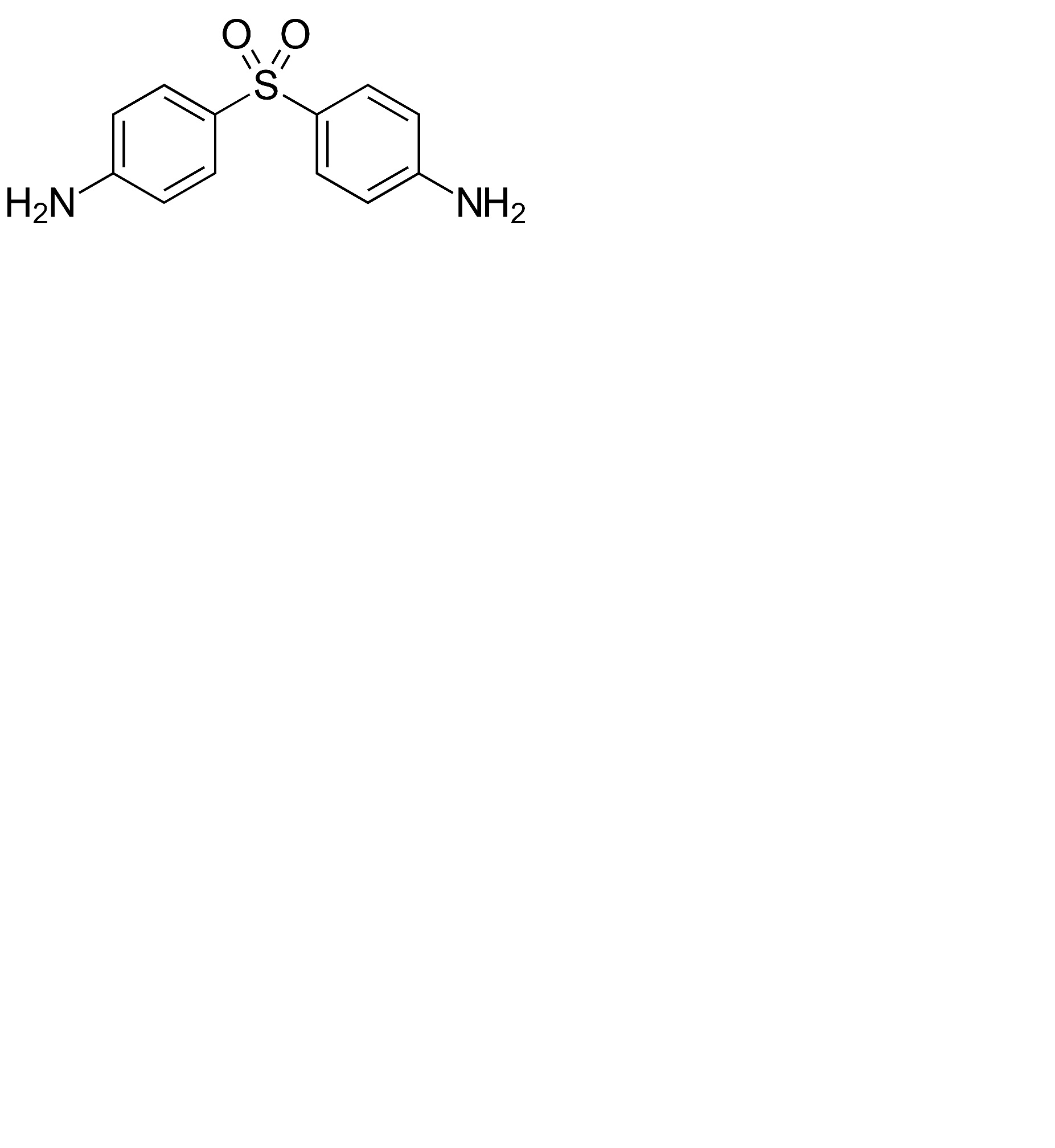
Antibiotisk   Dapsone  
Salver
Oral opløsning
Stabilitet af farmaceutiske tilberedninger Stabilitet i blandinger Faktorer der påvirker stabiliteten Kompatibilitet Bibliografi pdf
   Kemisk struktur  

Salver

Faktorer der påvirker stabiliteten   Salver   Faktorer der påvirker stabiliteten : Dapsone        
Ingen data

  Mentions Légales