Τελευταία ενημέρωση :
27/01/2026
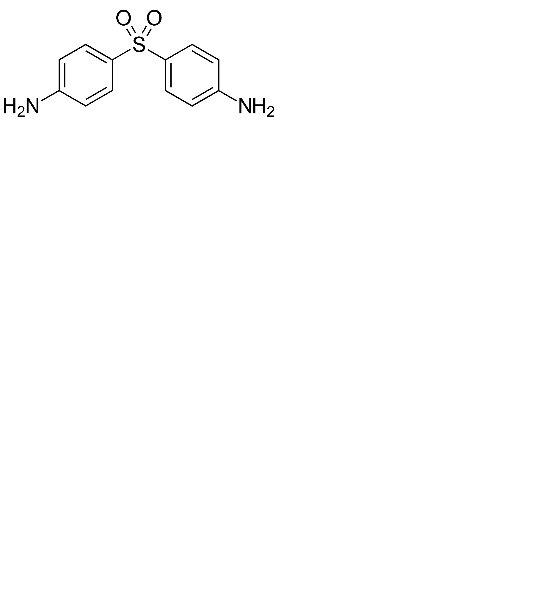
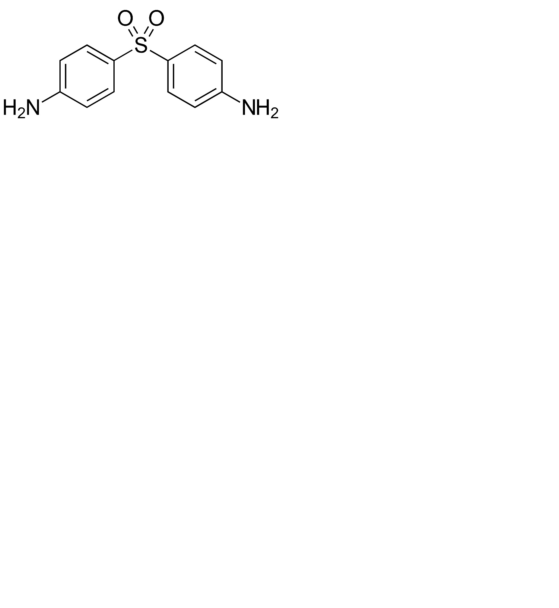
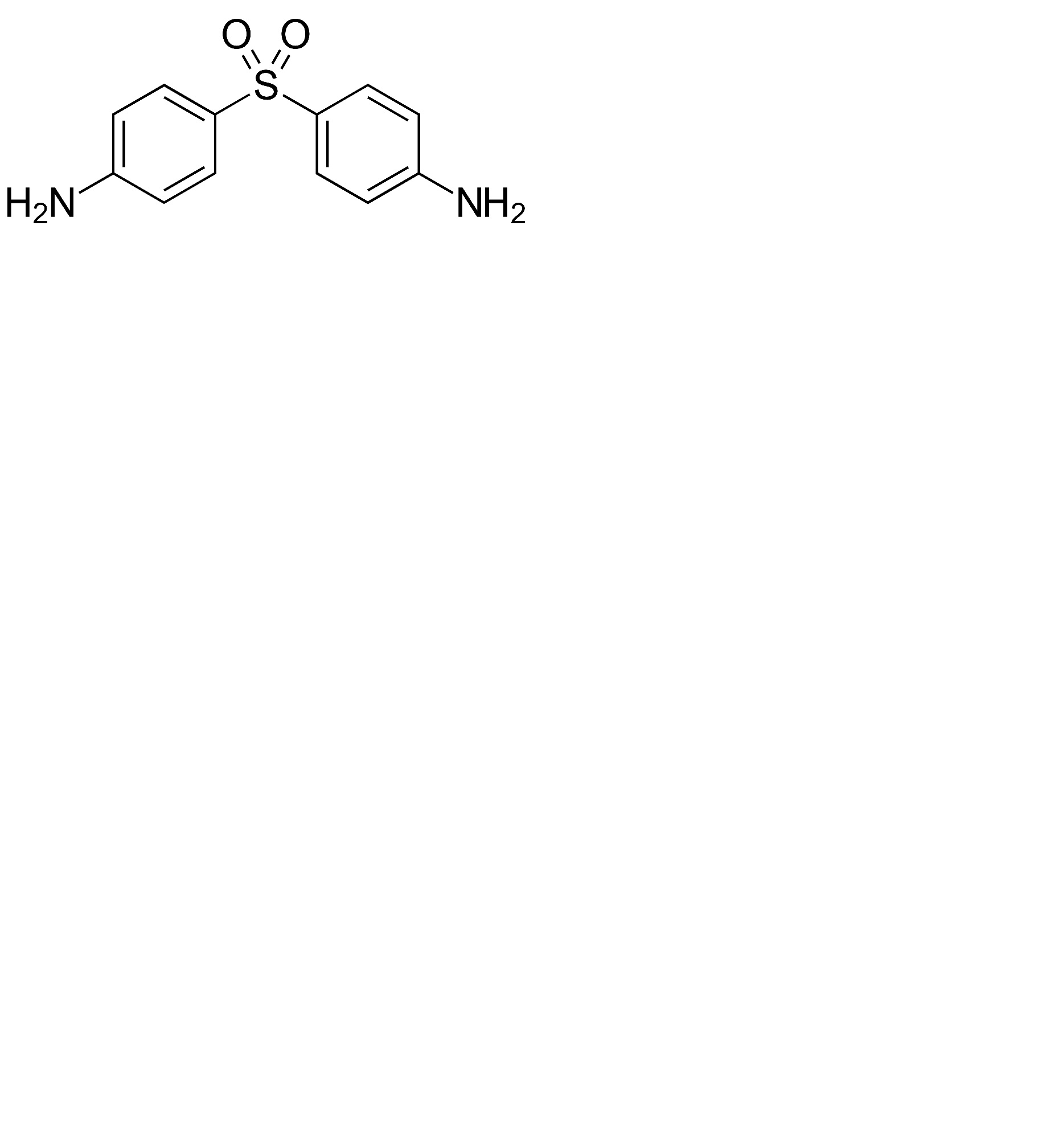
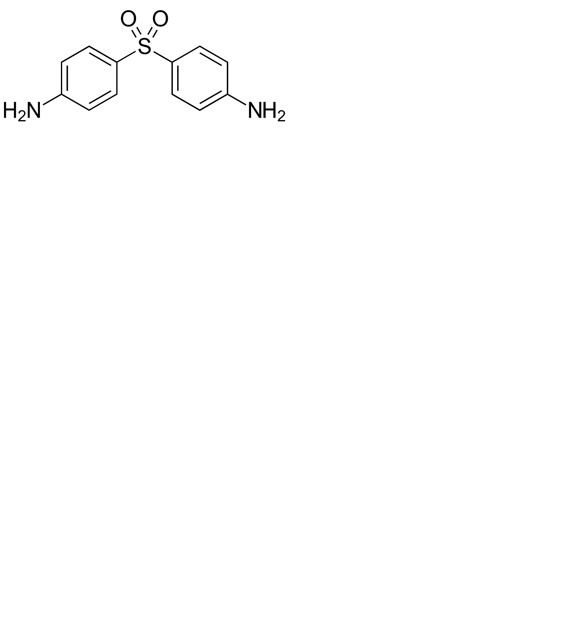
Αντιβιοτικό   Dapsone  
Αλοιφές
Πόσιμο διάλυμα
Σταθερότητα και συμβατότητα των φαρμάκων Σταθερότητα σε μίγματα Παράγοντας που επηρεάζει τη σταθερότητα Συμβατότητες Βιβλιογραφία pdf
   χημική δομή  

Αλοιφές

Παράγοντας που επηρεάζει τη σταθερότητα   Αλοιφές   Παράγοντας που επηρεάζει τη σταθερότητα : Dapsone        
Δεν υπάρχουν πληροφορίες

  Mentions Légales