Dernière mise à jour :
27/01/2026
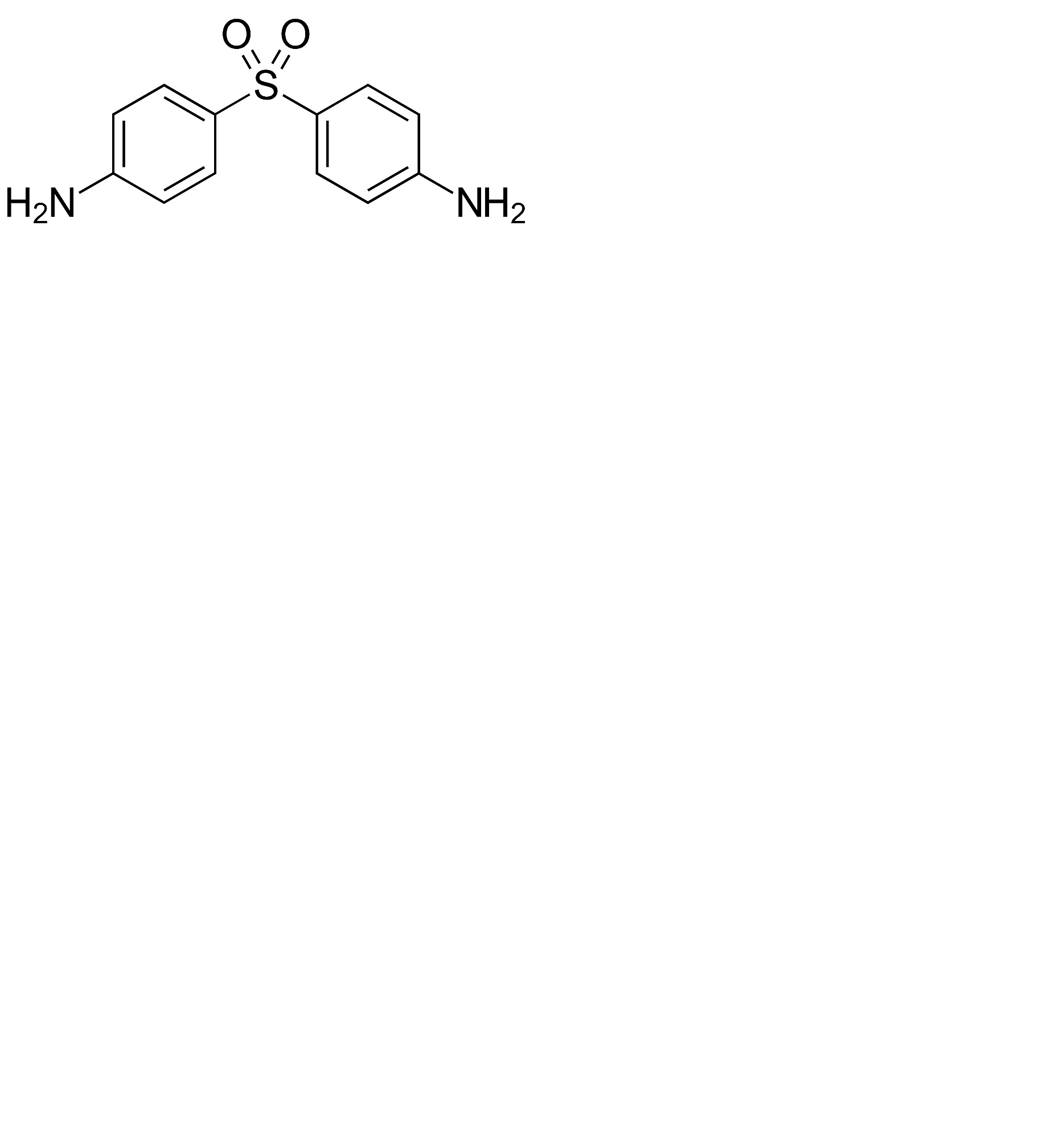
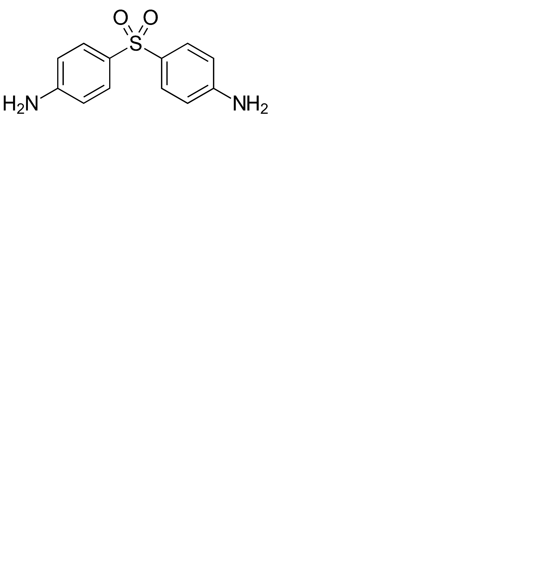
Antibiotique   Dapsone  
Forme dermique
Solution buvable
Stabilité des préparations Stabilité en mélange Facteur influençant la stabilité Compatibilités Bibliographie pdf
   Structure chimique  

Forme dermique

Facteur influençant la stabilité   Forme dermique   Facteur influençant la stabilité : Dapsone        
Aucune donnée

  Mentions Légales