Utolsó frissítés :
27/01/2026
Antibiotikum   Dapsone  
kenőcs
belsőleges oldat
Stabilitása gyógyszerészeti készítmények A keverékek stabilitása Stabilitást befolyásoló tényezők Kompatibilitás Irodalom pdf
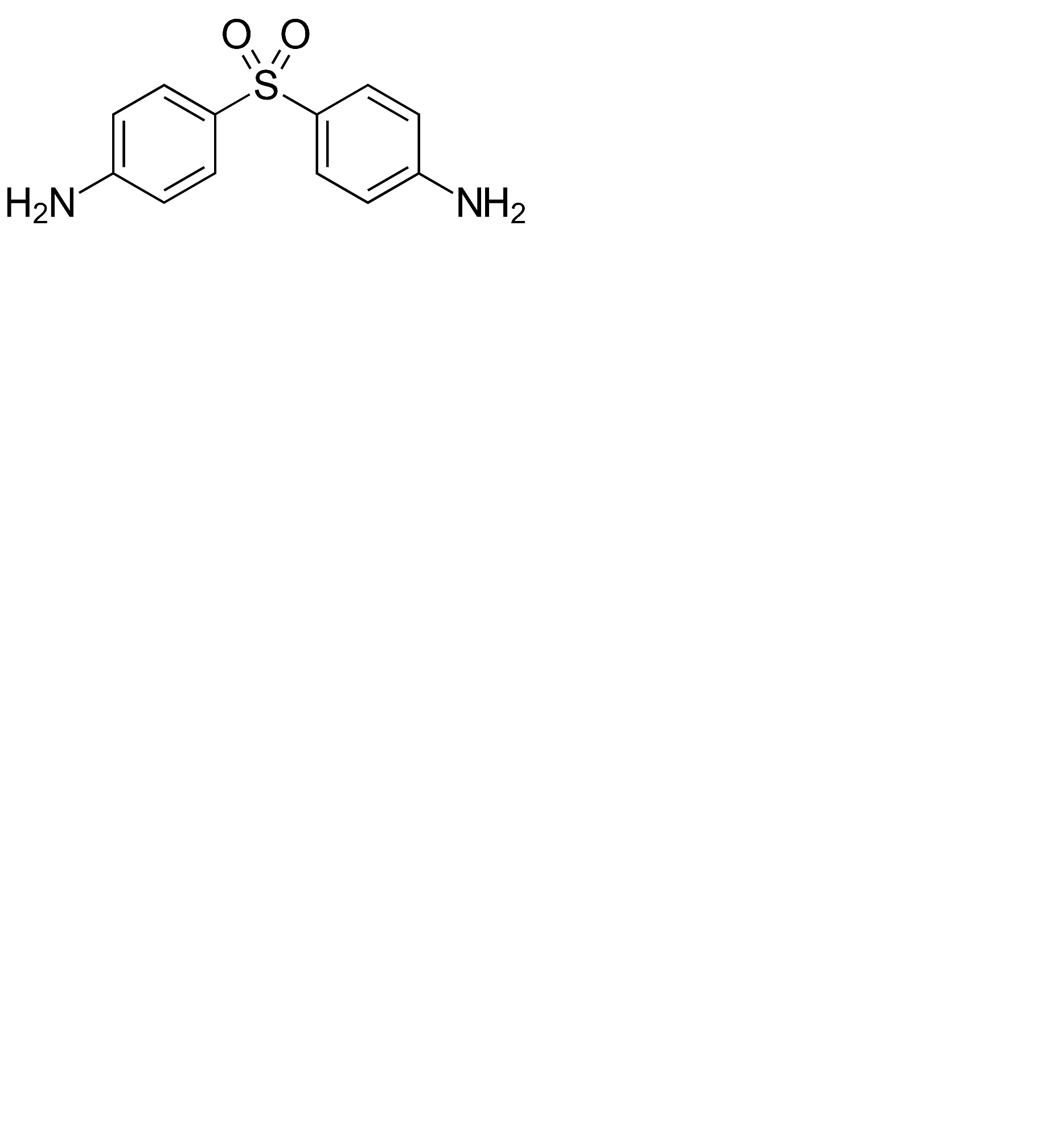
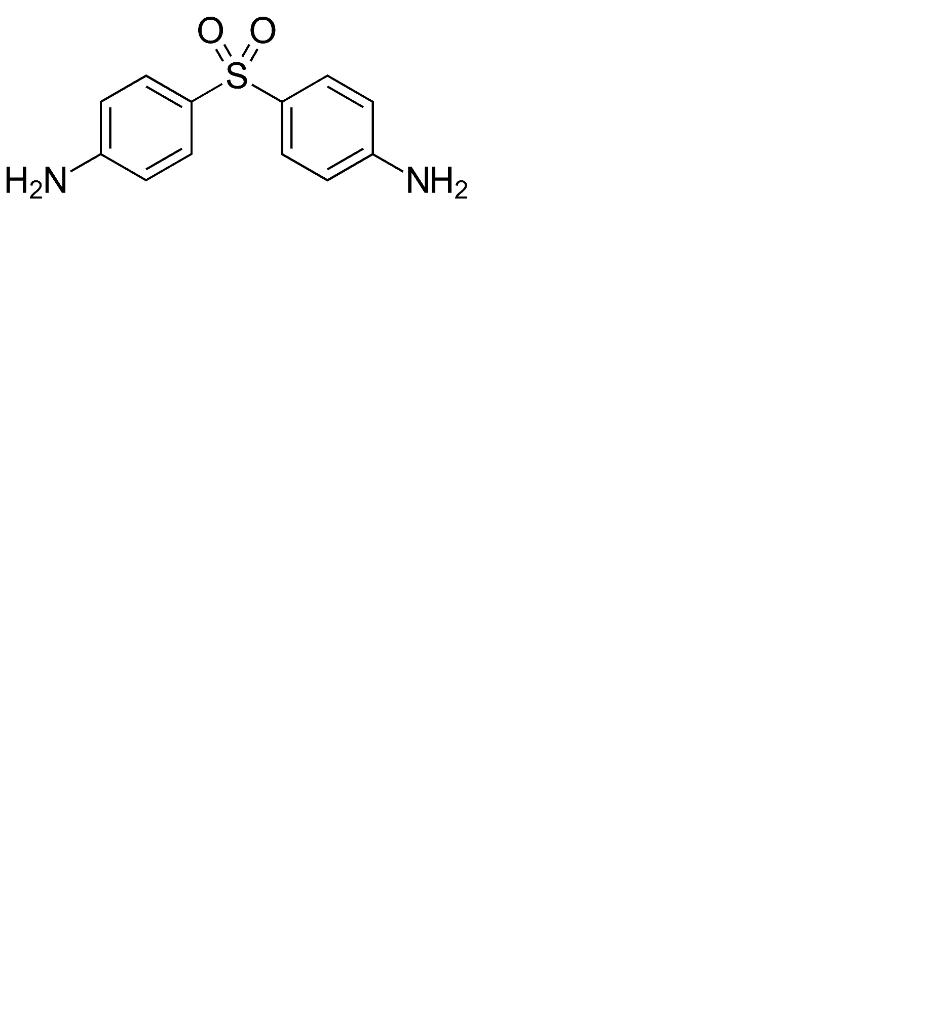
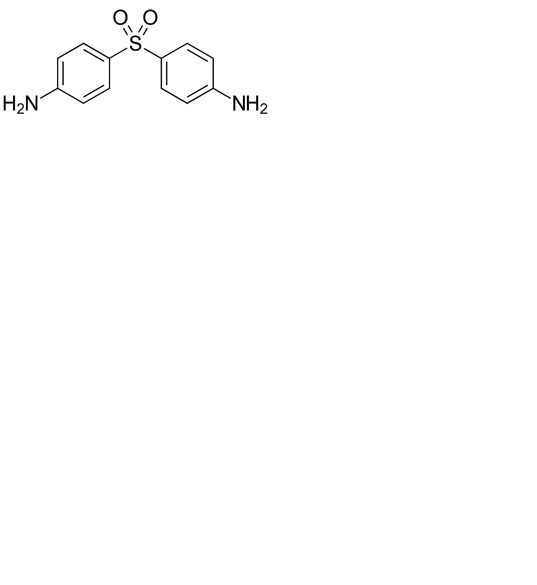
   Kémiai szerkezet   

kenőcs

Stabilitást befolyásoló tényezők   kenőcs   Stabilitást befolyásoló tényezők : Dapsone        
Hiányzó adat

  Mentions Légales