最新更新 :
27/01/2026
抗菌薬   Dapsone  
軟膏薬
経口液
調剤時の安定性 混合時の安定性 安定性に影響する因子 互換性 引用文献 PDF
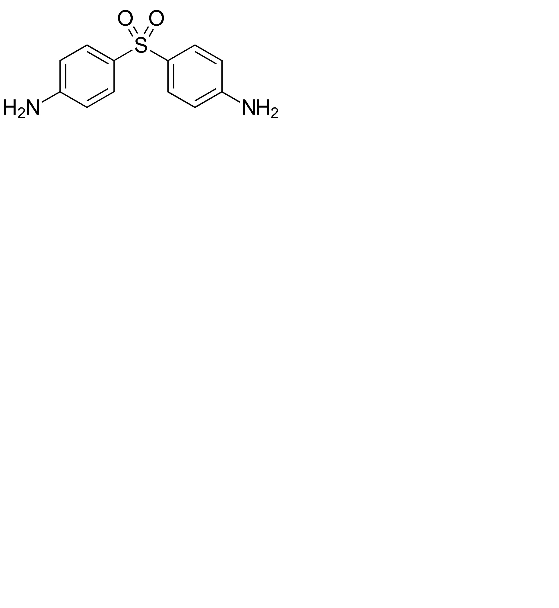
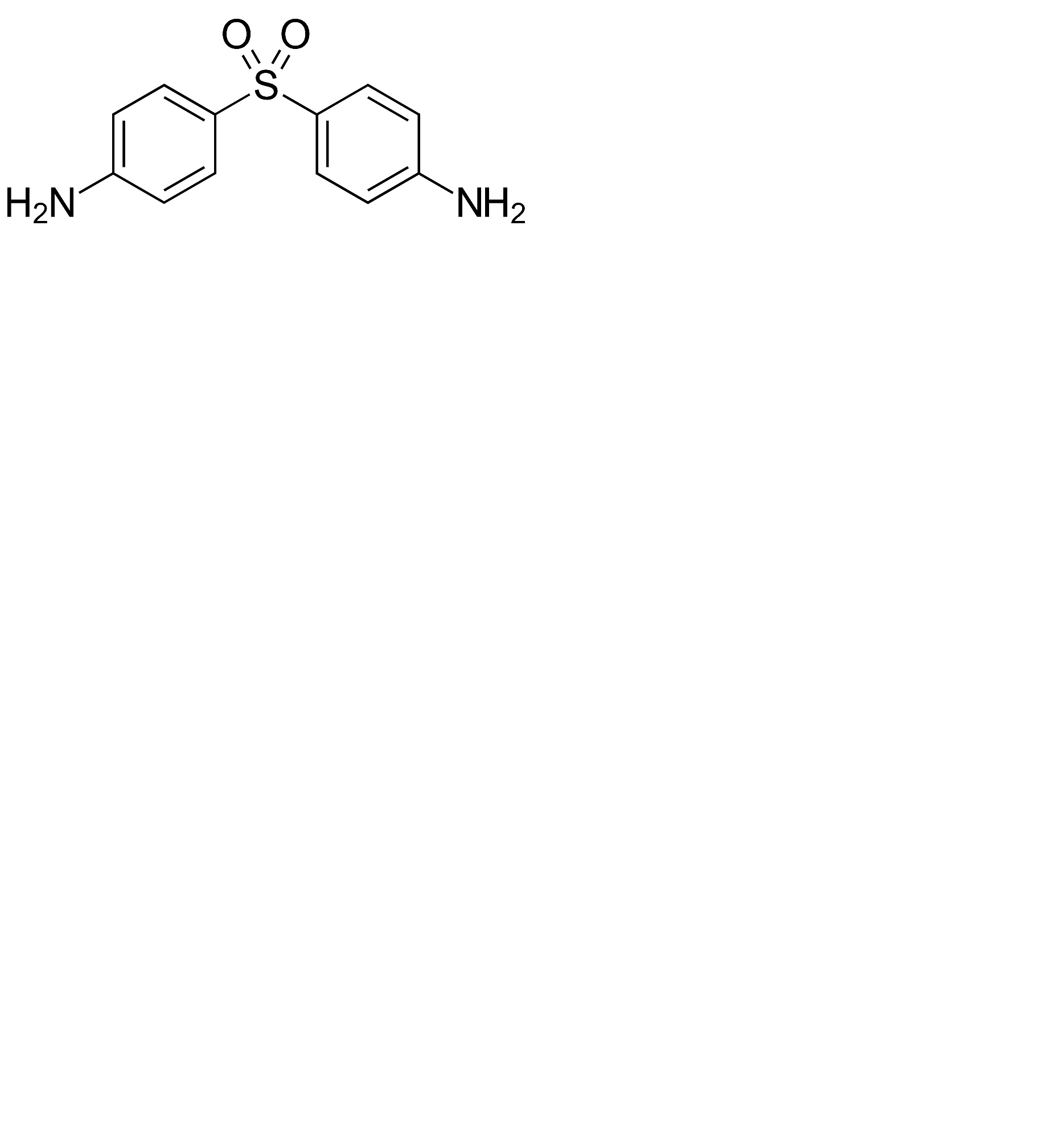
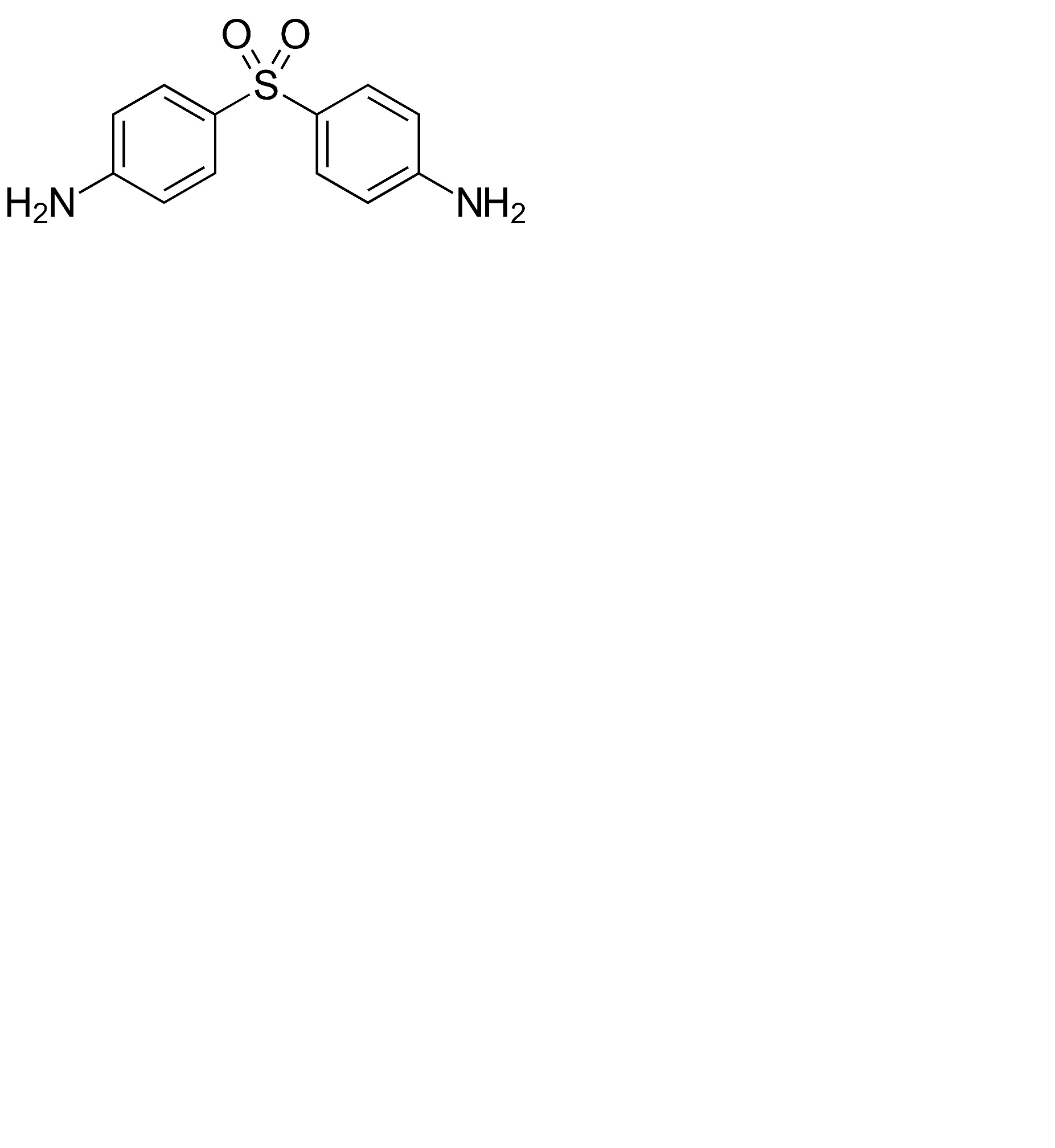
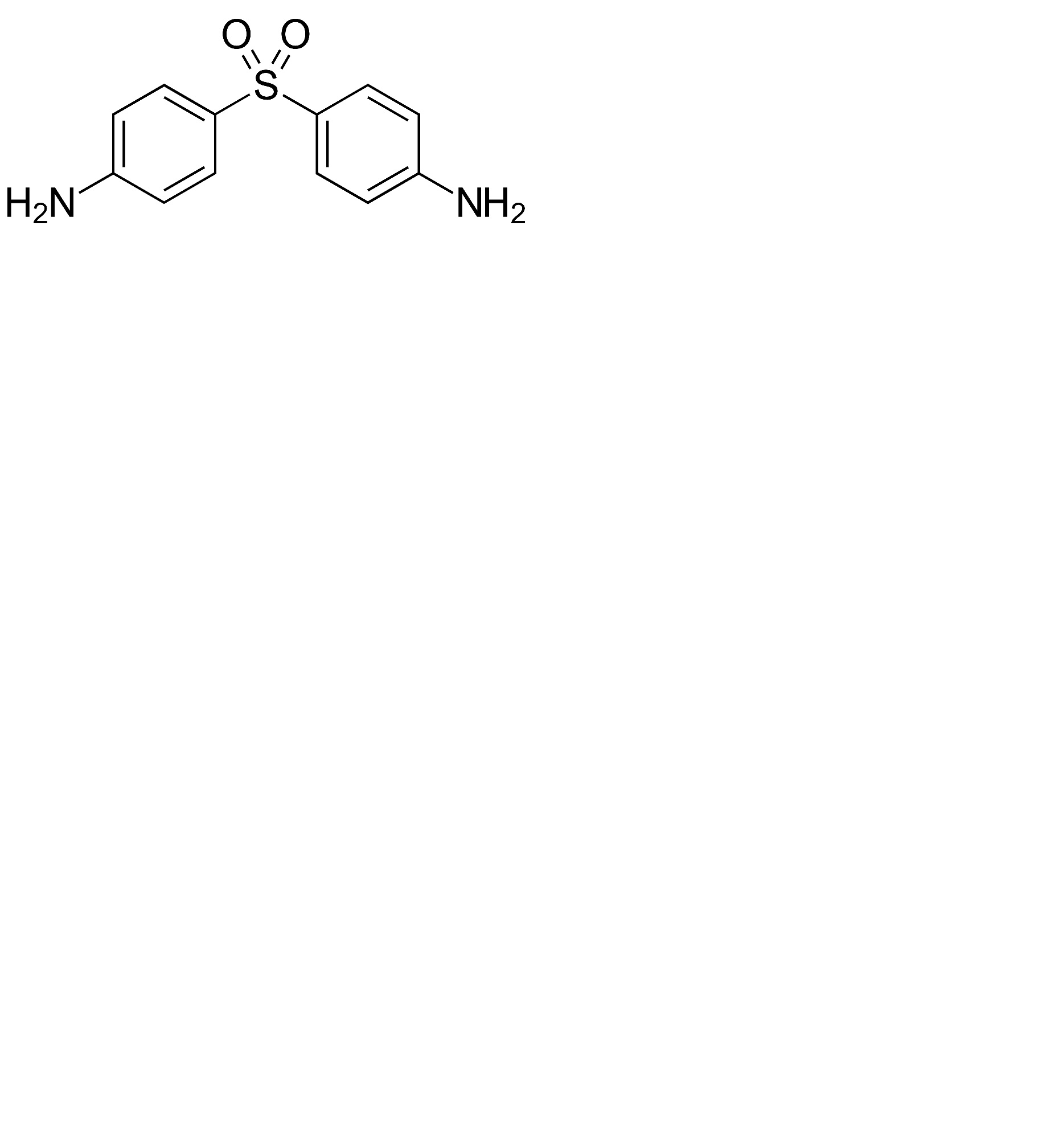
   化学構造  

軟膏薬

安定性に影響する因子   軟膏薬   安定性に影響する因子 : Dapsone        
データなし

  Mentions Légales