Posledná aktualizácia :
31/03/2026
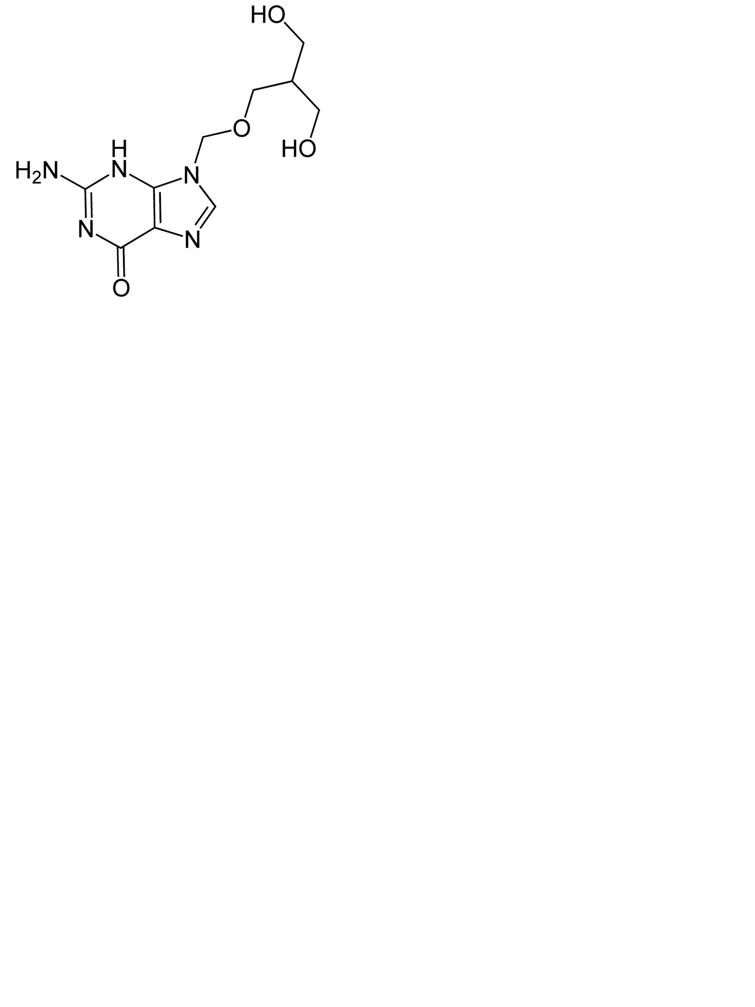
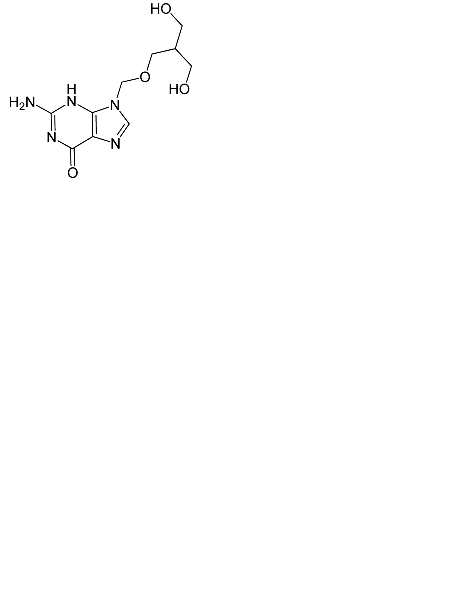
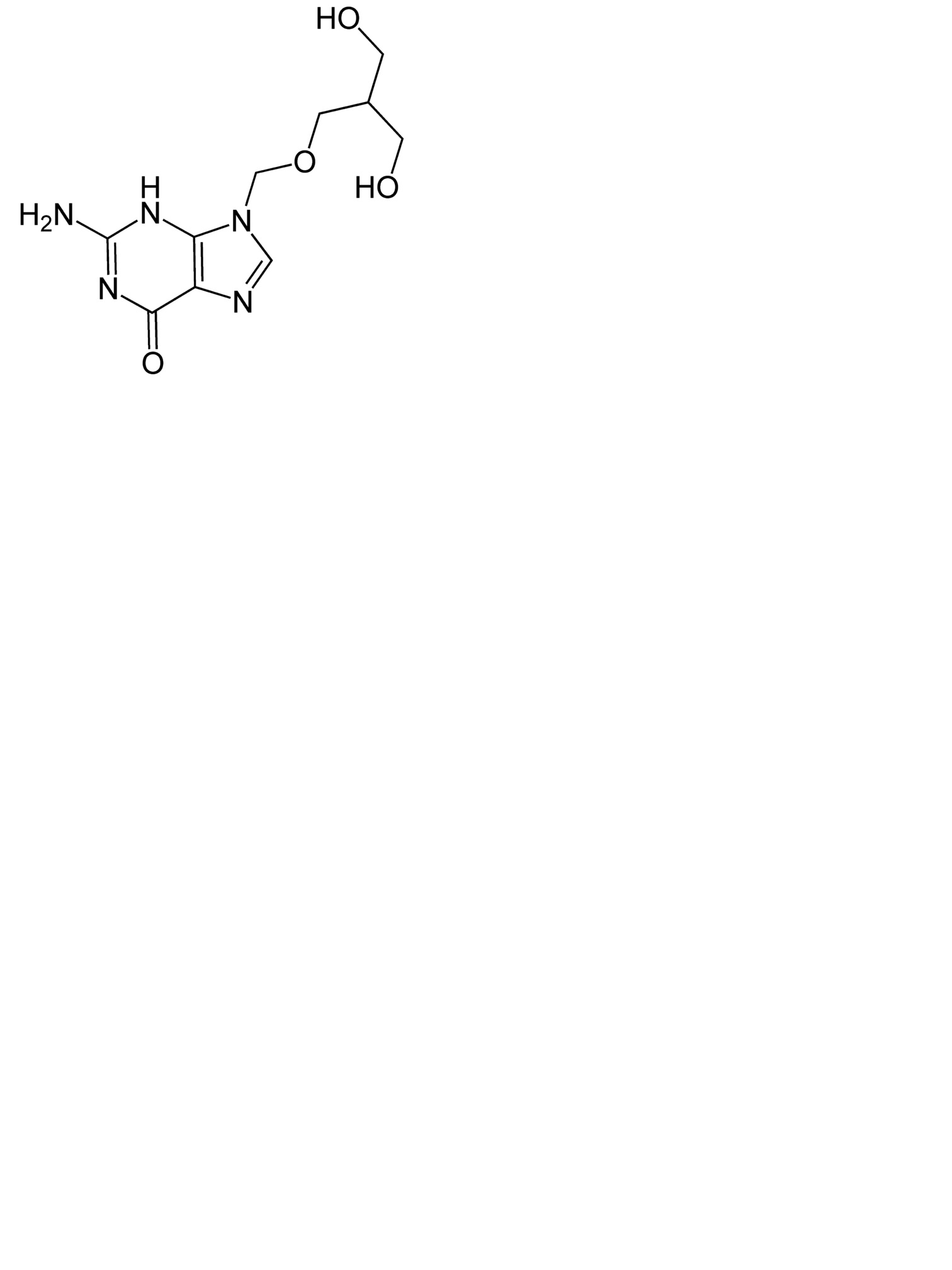
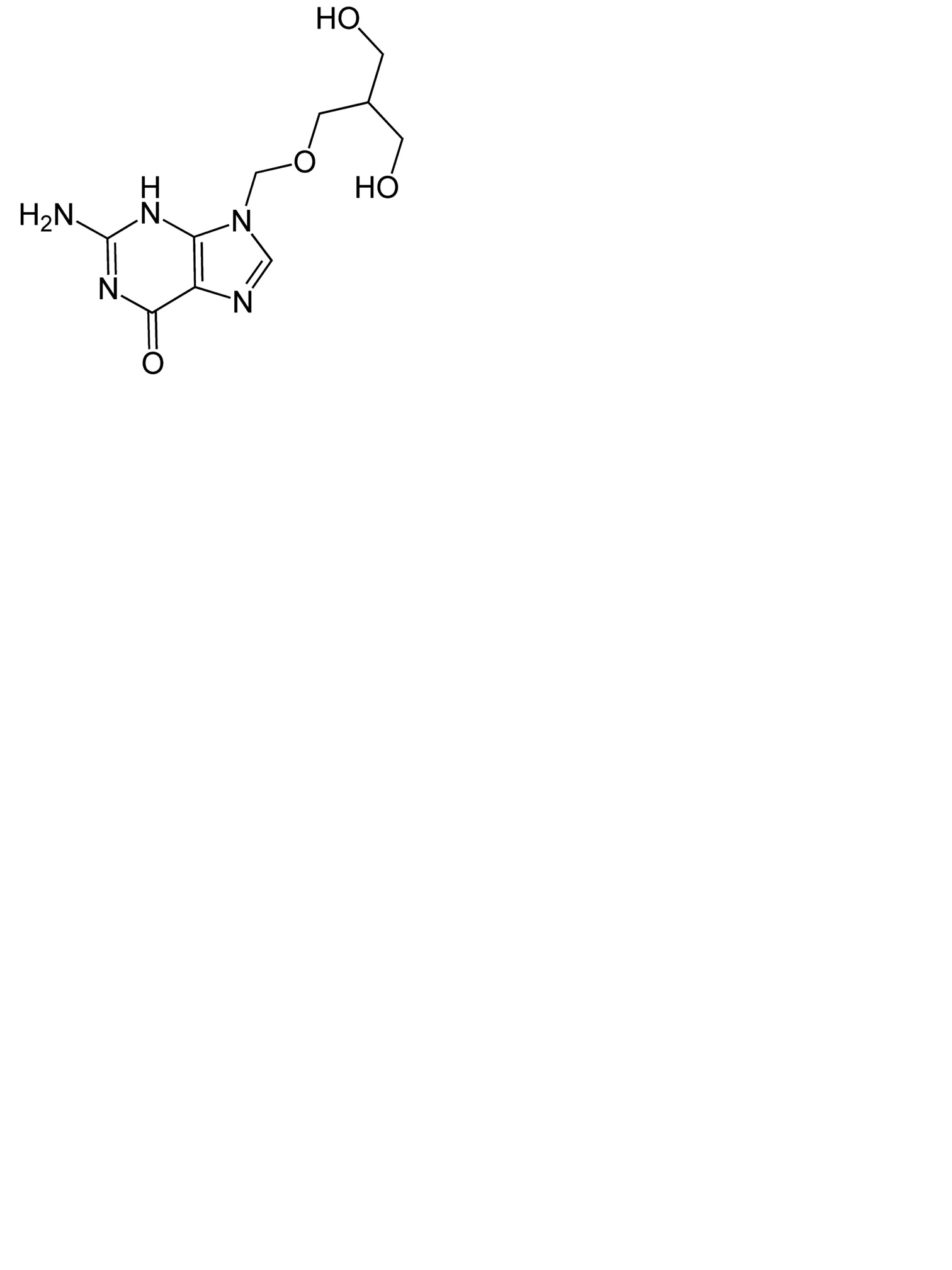
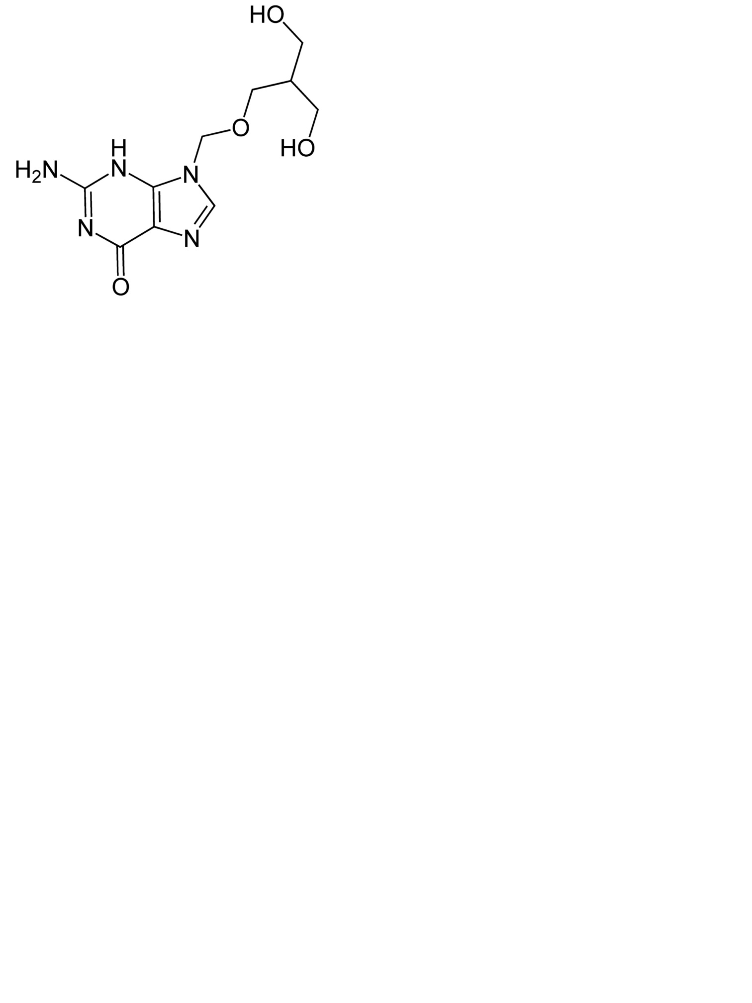
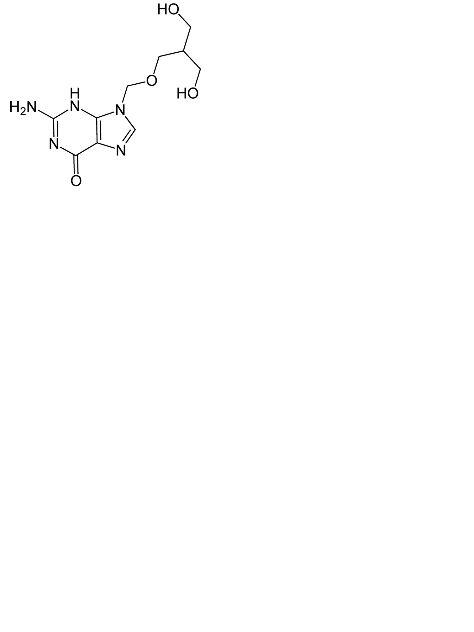
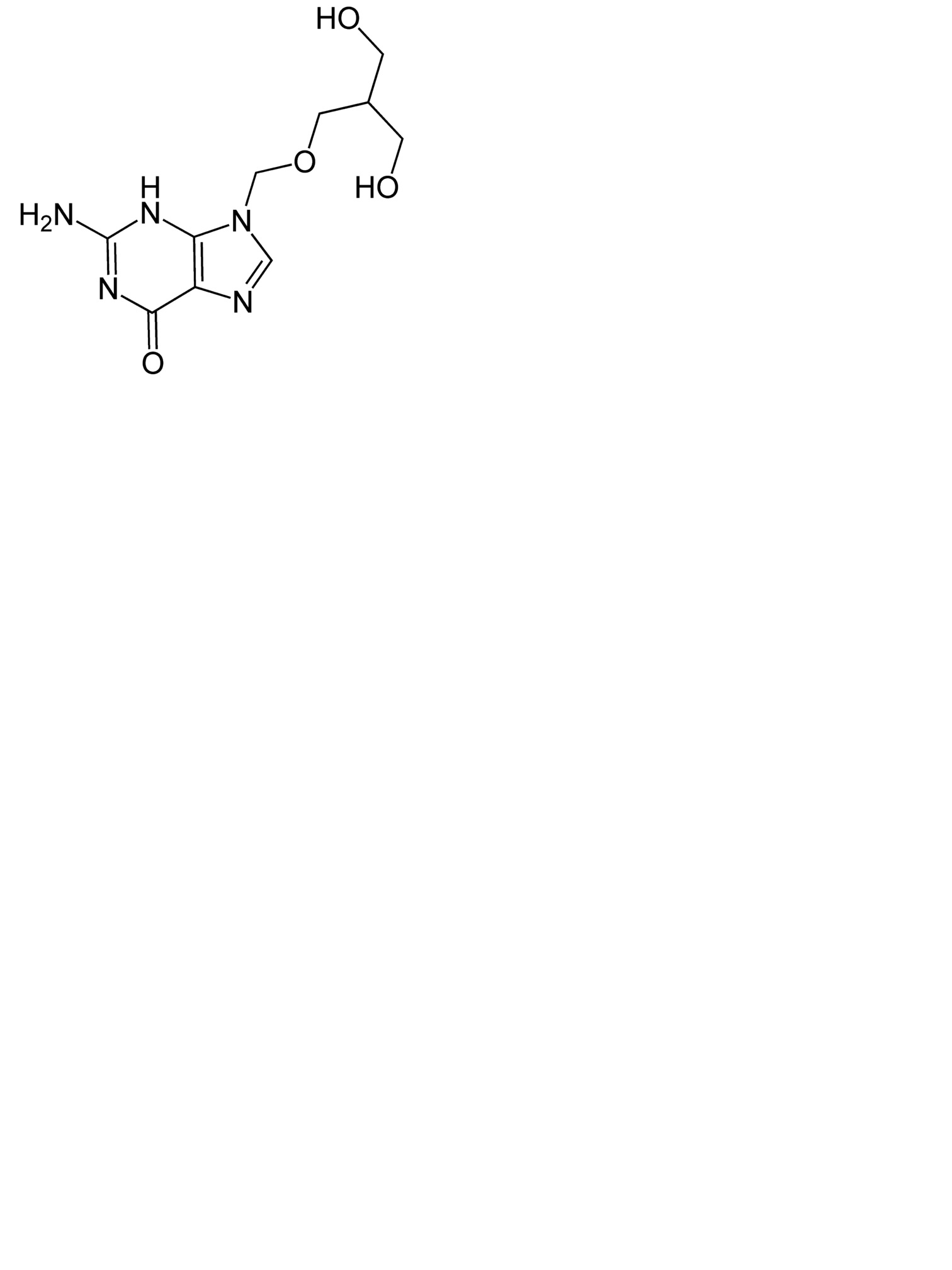
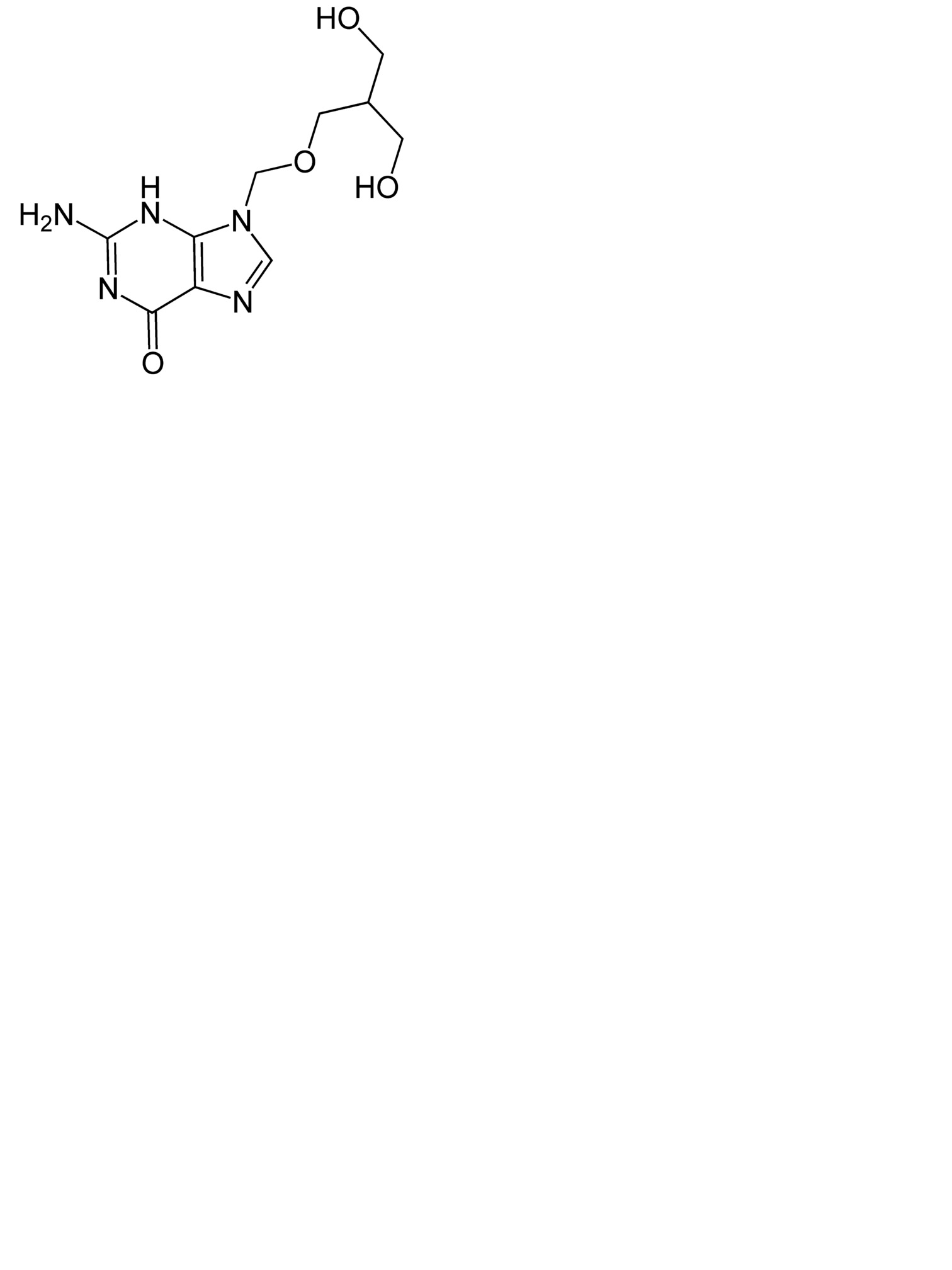
antivirotikum   Ganciclovir  
Očná instilácia
Stabilita farmaceutických prípravkov Stabilita v zmesiach Faktory ovplyvňujúce stabilitu Kompatibility Odkazy na literatúru PDF
   Chemický vzorec  

Očná instilácia
Stabilita farmaceutických prípravkov   Očná instilácia   Stabilita farmaceutických prípravkov : Ganciclovir     
obal Pôvod Pomocná látka teplota uchovávanie Trvanie stability odkazy na lieteratúru
Plastová fľaša Komerčný liek 100 mg
® = La Roche
Voda na injekciu >> 5 mL
2-8°C Chránené pred svetlom
84 dní
4729
Plastová fľaša Komerčný liek 100 mg
® = La Roche
Voda na injekciu >> 5 mL
28-32°C Chránené pred svetlom
56 dní
4729

  Mentions Légales