最新更新 :
27/04/2026
抗ウイルス薬   Ganciclovir  
点眼薬
調剤時の安定性 混合時の安定性 安定性に影響する因子 互換性 引用文献 PDF
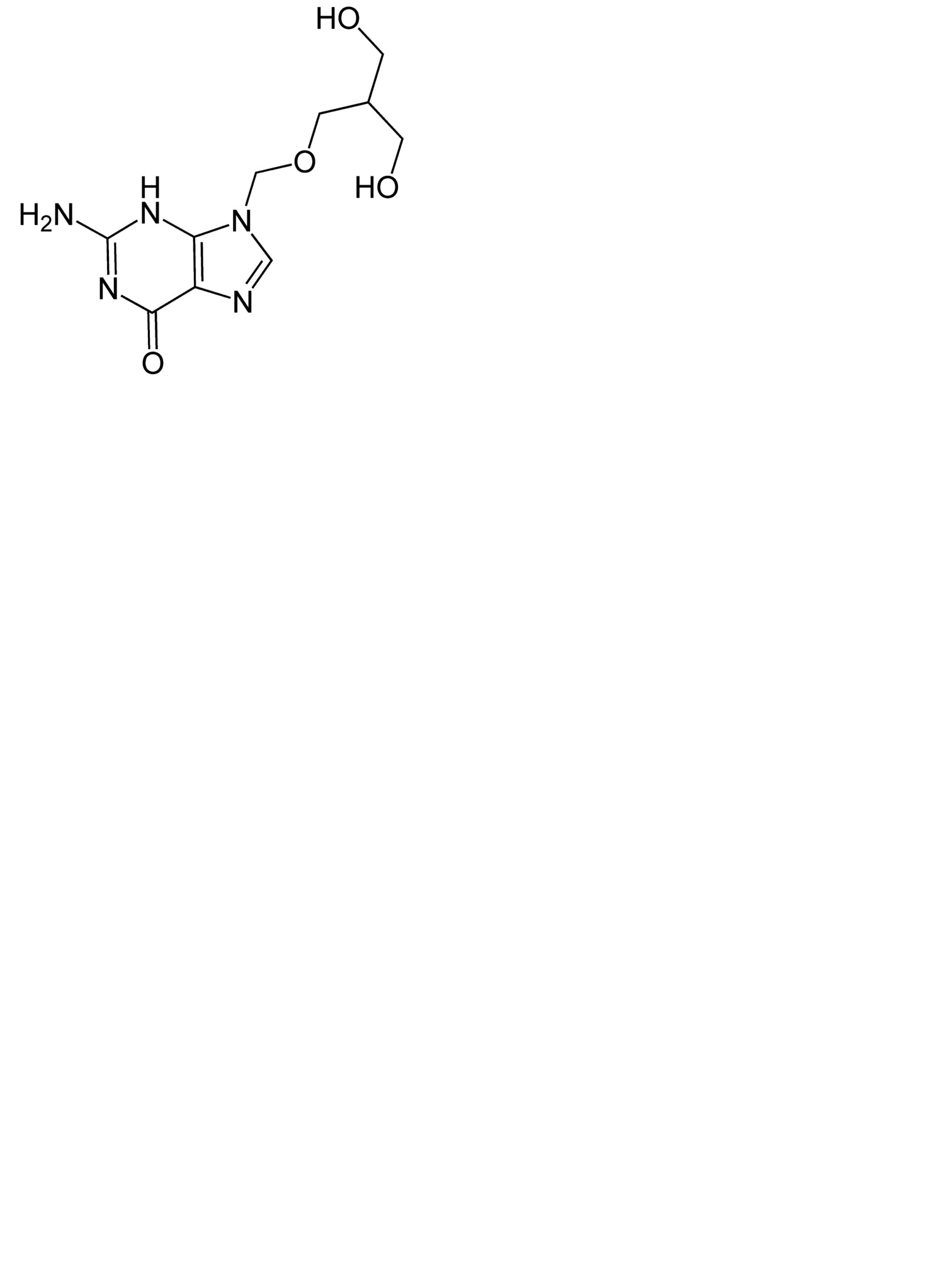
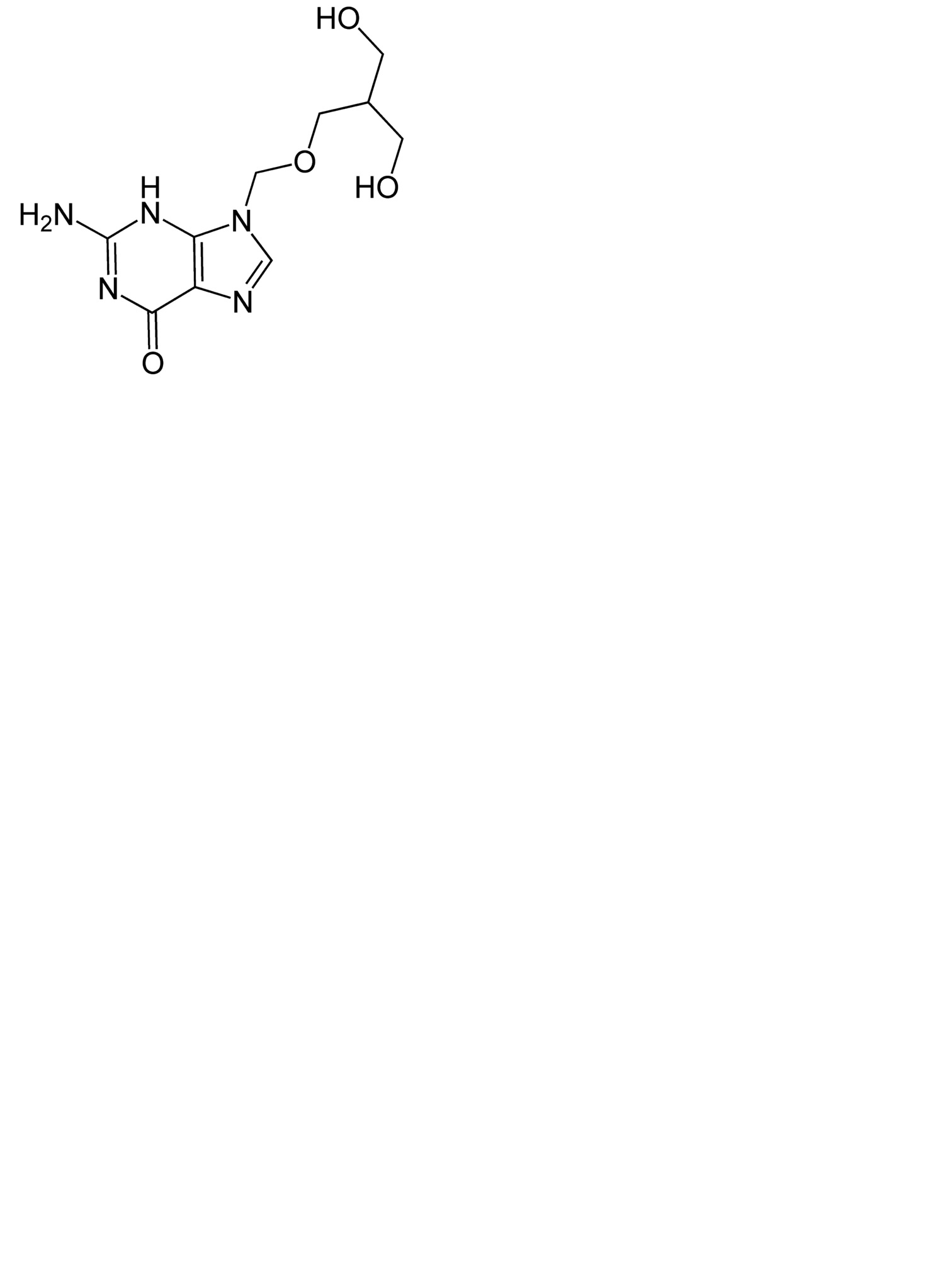
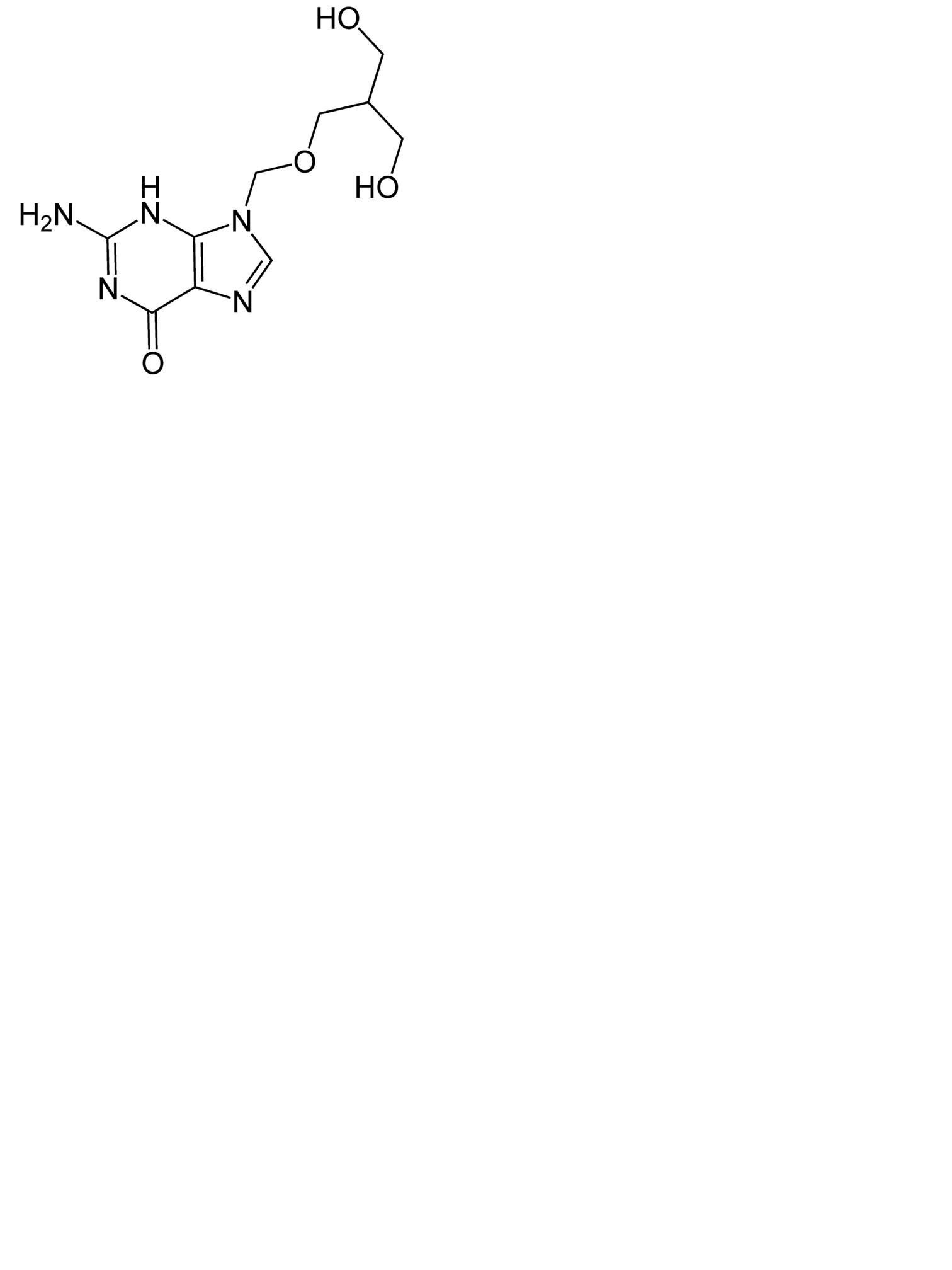
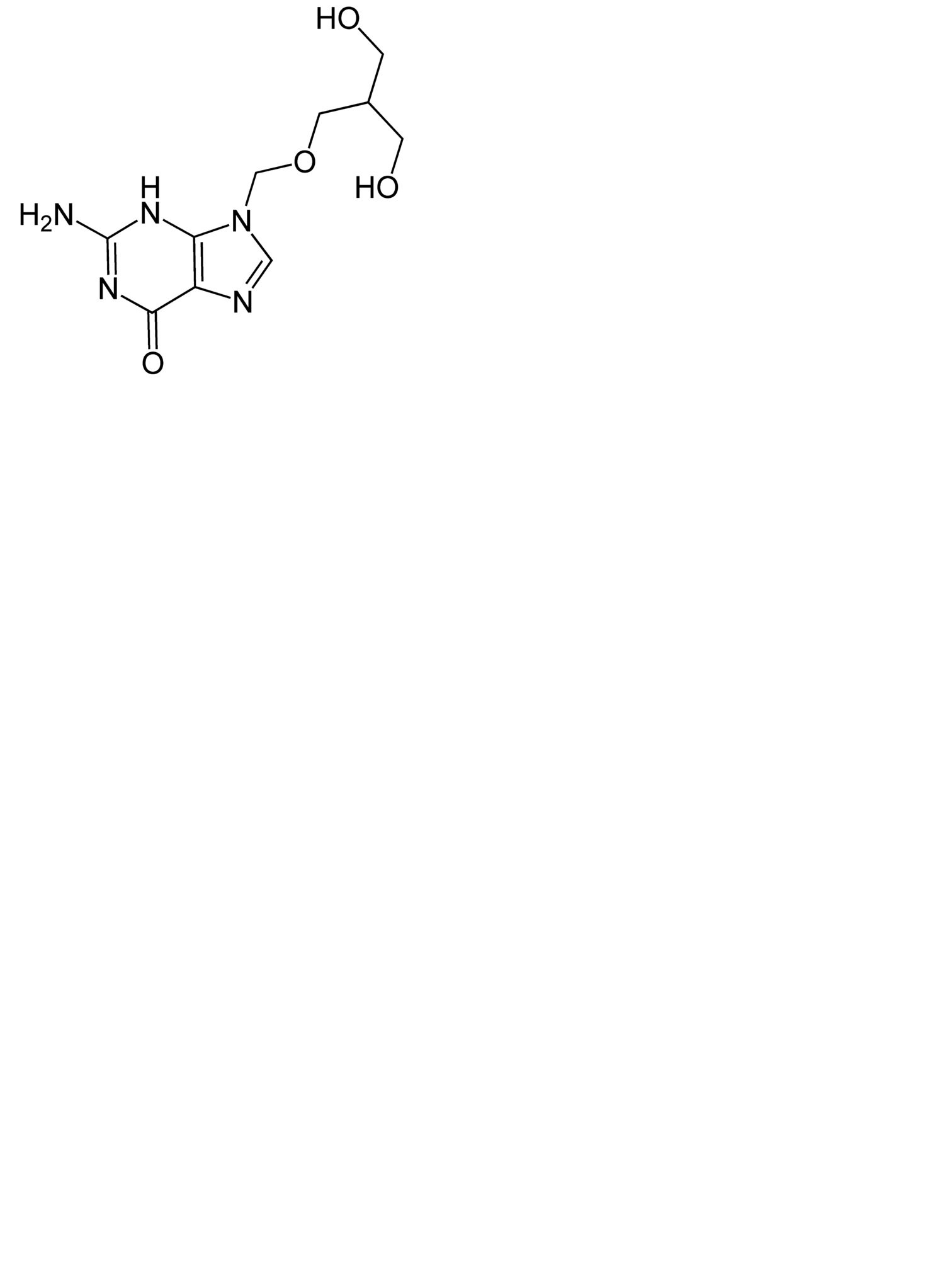
   化学構造  

点眼薬
調剤時の安定性   点眼薬   調剤時の安定性 : Ganciclovir     
容器 Origine 添加剤 温度 保管 安定期間 引用文献
プラスチックボトル 市販医薬品 100 mg
® = La Roche
注射用蒸留水 >> 5 mL
2-8°C 遮光
84 日
4729
プラスチックボトル 市販医薬品 100 mg
® = La Roche
注射用蒸留水 >> 5 mL
28-32°C 遮光
56 日
4729

  Mentions Légales