Poslední aktualizace :
31/03/2026
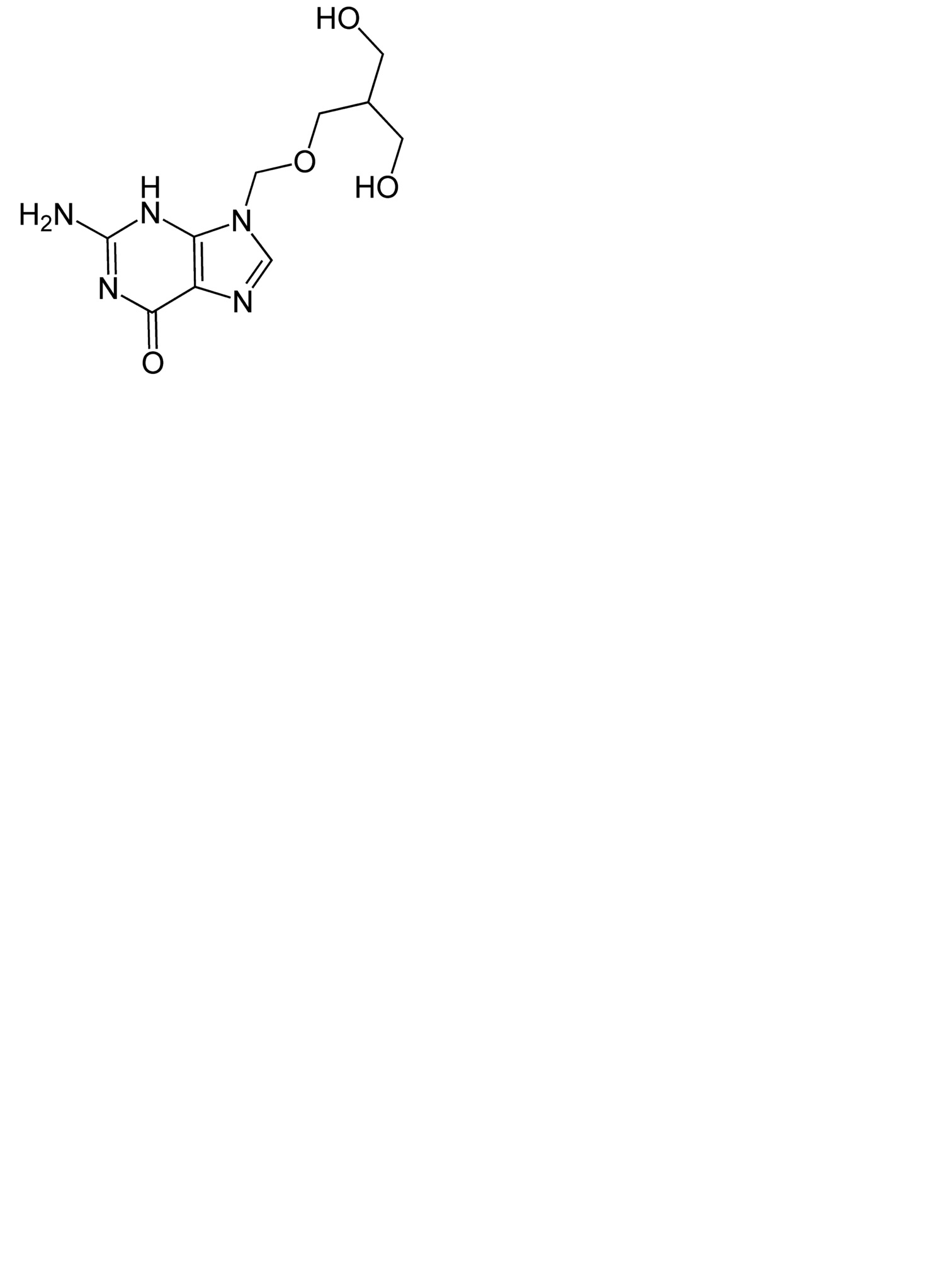
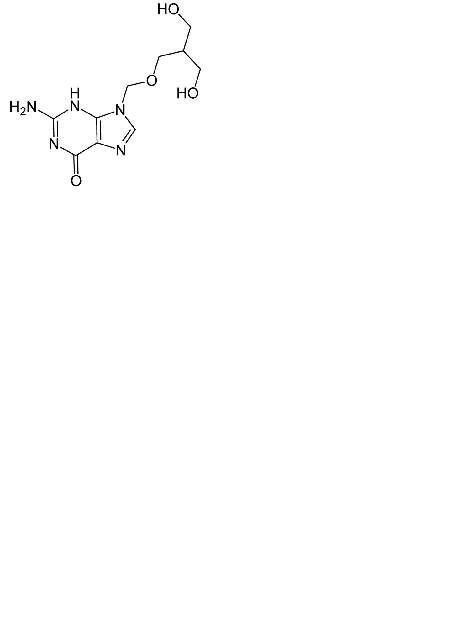
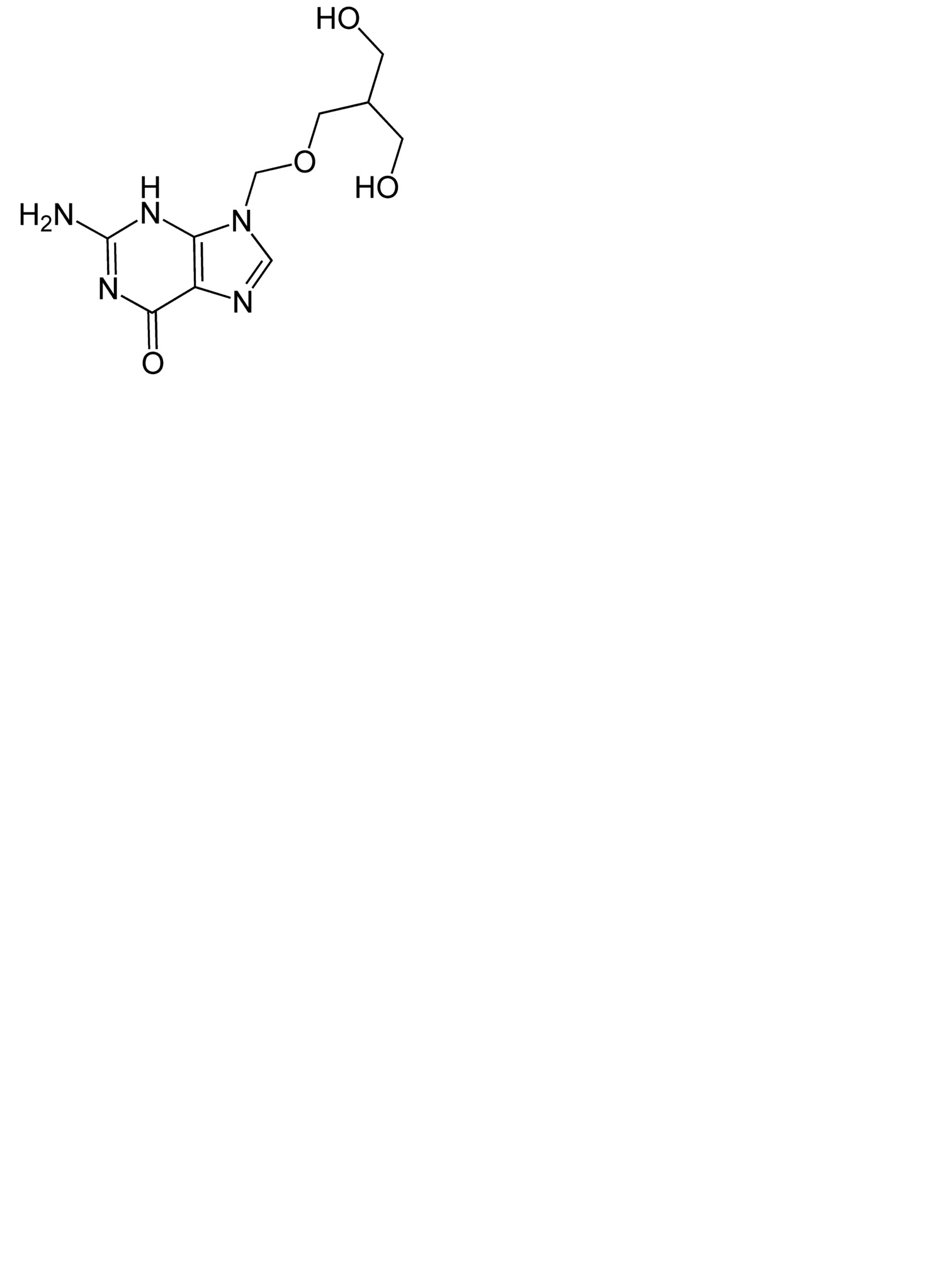
Antivirotikum   Ganciclovir  
Humbuk
Stabilita farmaceutických přípravků Stabilita směsí Faktory ovlivňující stabilitu Kompatibilita Odkazy pdf
   Chemický vzorec  

Humbuk
Stabilita farmaceutických přípravků   Humbuk   Stabilita farmaceutických přípravků : Ganciclovir     
Obal Origine Pomocné látky Teplota Uchovávání Trvání stability Odkazy
plastová láhev Komerční drogový produkt 100 mg
® = La Roche
voda na injekci >> 5 mL
2-8°C Chráněno před světlem
84 Den
4729
plastová láhev Komerční drogový produkt 100 mg
® = La Roche
voda na injekci >> 5 mL
28-32°C Chráněno před světlem
56 Den
4729

  Mentions Légales