Last update :
31/03/2026
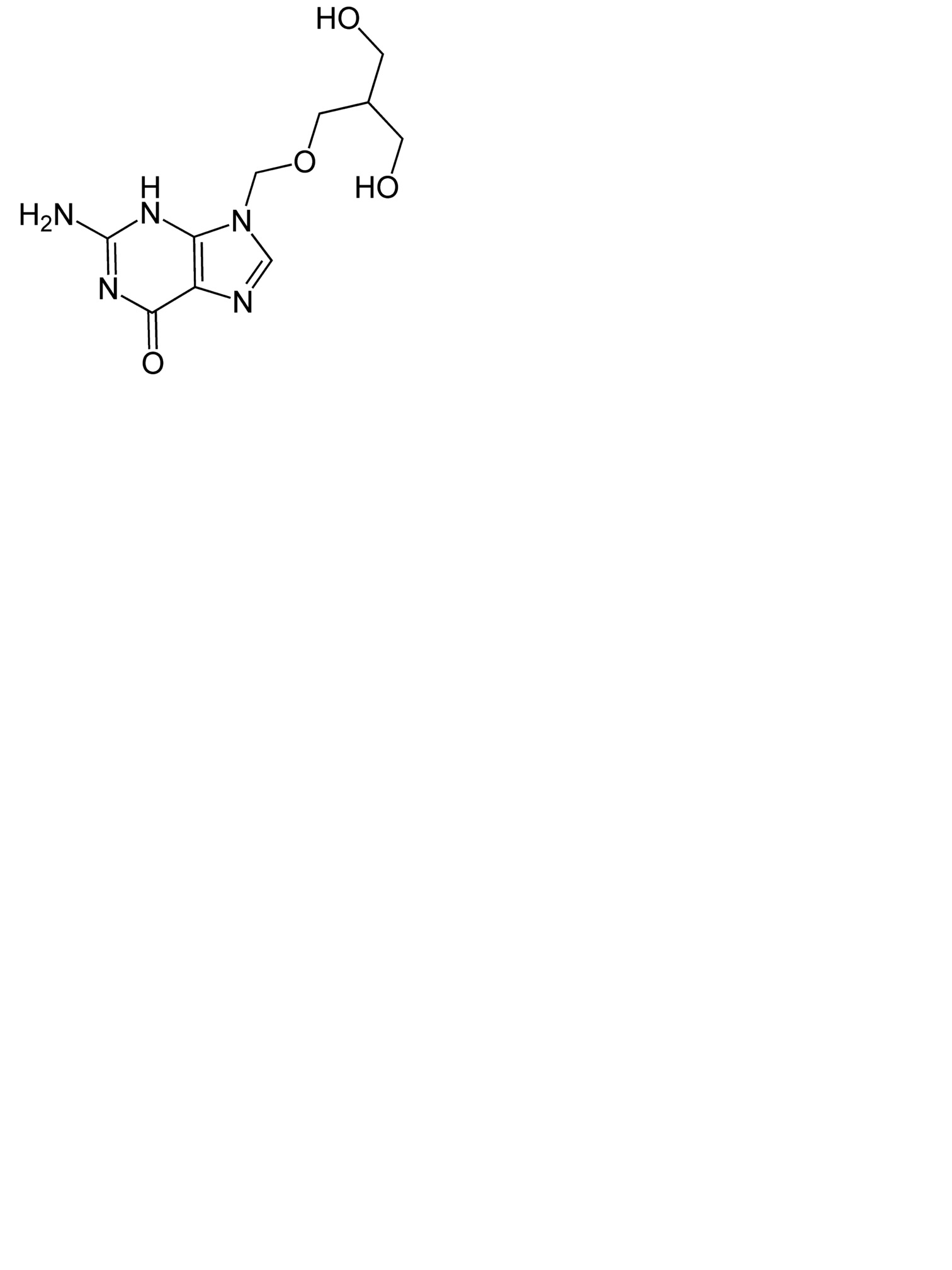
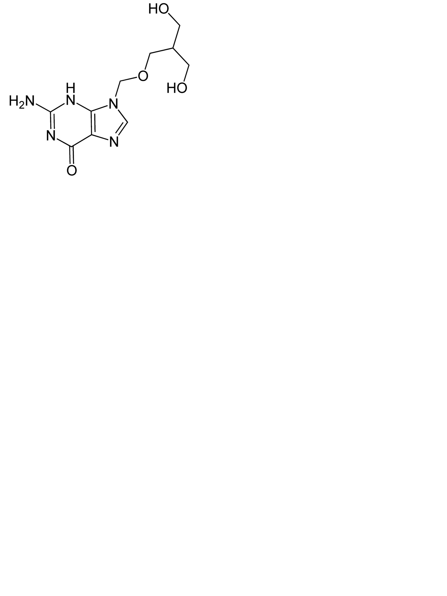
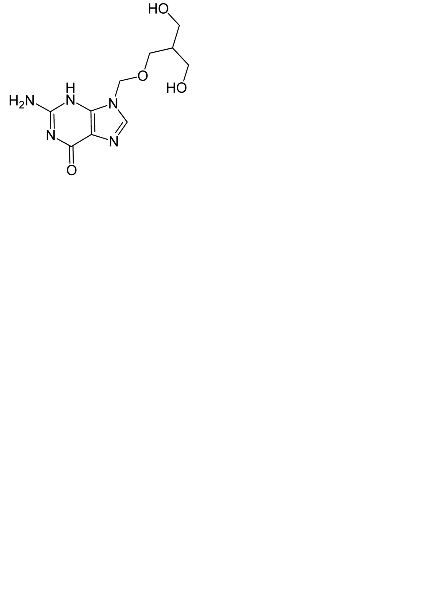
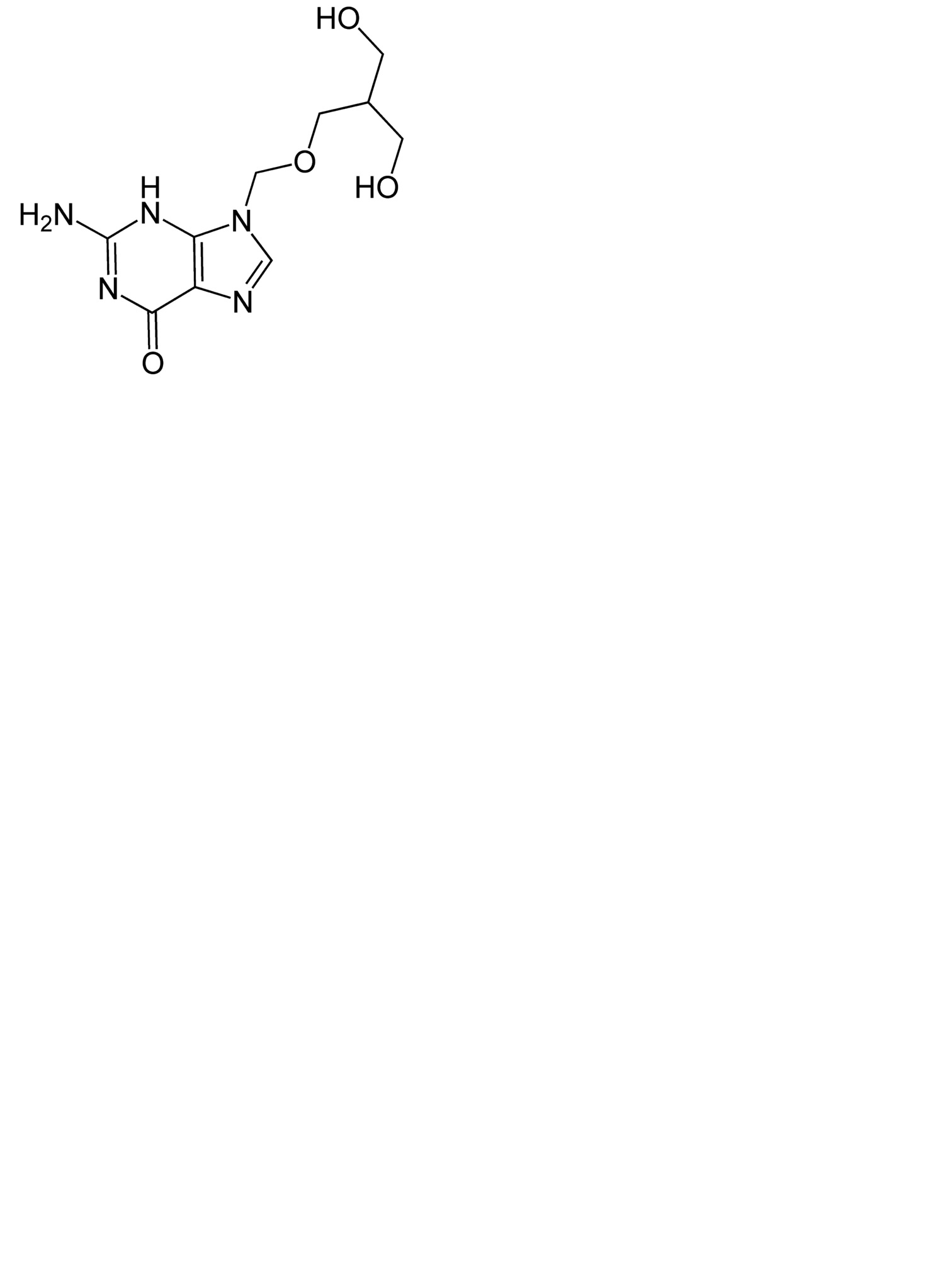
Antiviral   Ganciclovir  
Eye-drops
Stability of pharmaceutical preparations Stability of mixtures Factors which affect stability Compatibility References pdf
   Chemical structure  

Eye-drops
Stability of pharmaceutical preparations   Eye-drops   Stability of pharmaceutical preparations : Ganciclovir     
Container Origine excipient Temperature Storage Duration of stability References
plastic bottle Commercial Drug product 100 mg
® = La Roche
Water for injection >> 5 mL
2-8°C Protect from light
84 Day
4729
plastic bottle Commercial Drug product 100 mg
® = La Roche
Water for injection >> 5 mL
28-32°C Protect from light
56 Day
4729

  Mentions Légales