viimane versioon :
27/04/2026
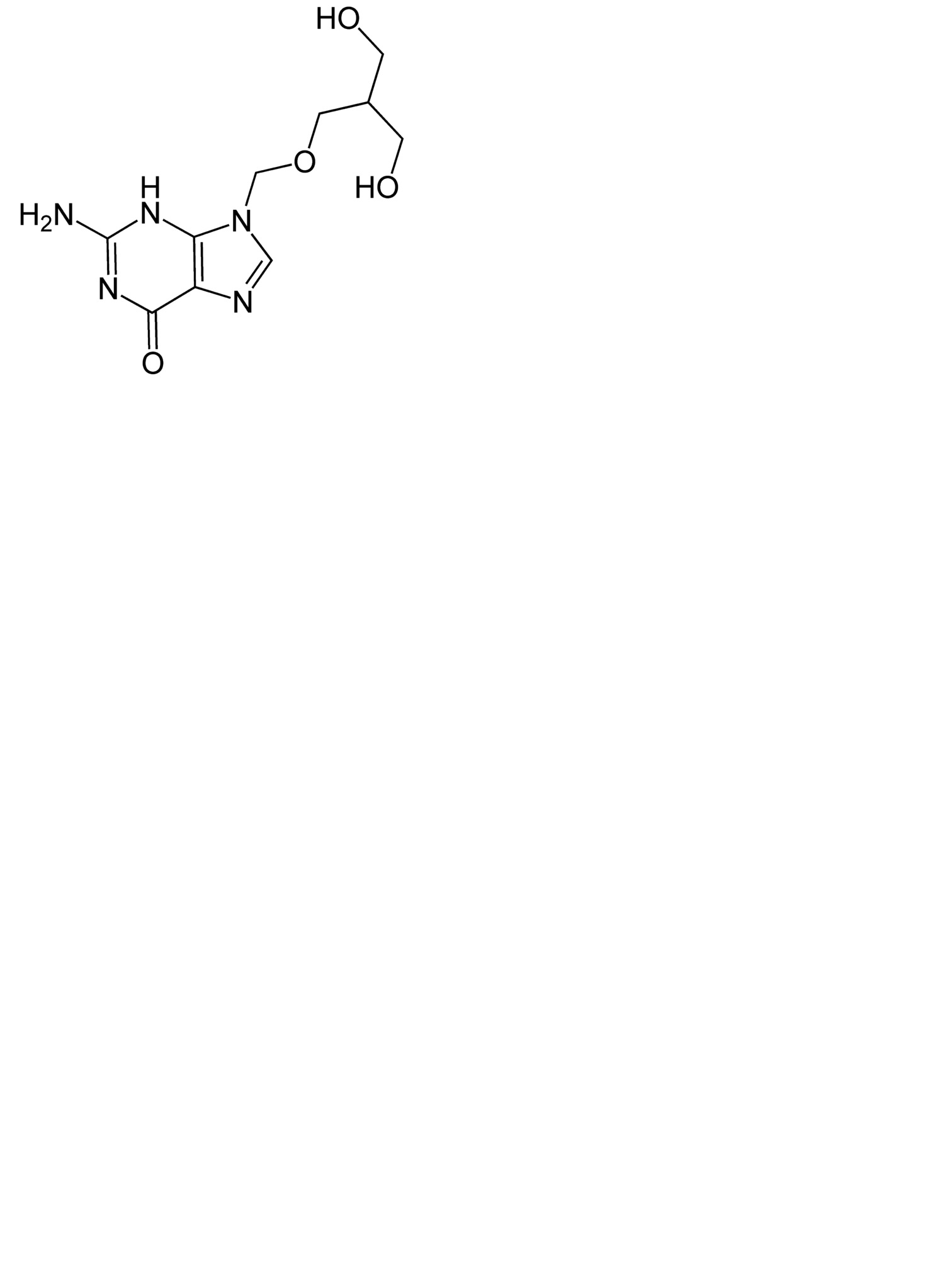
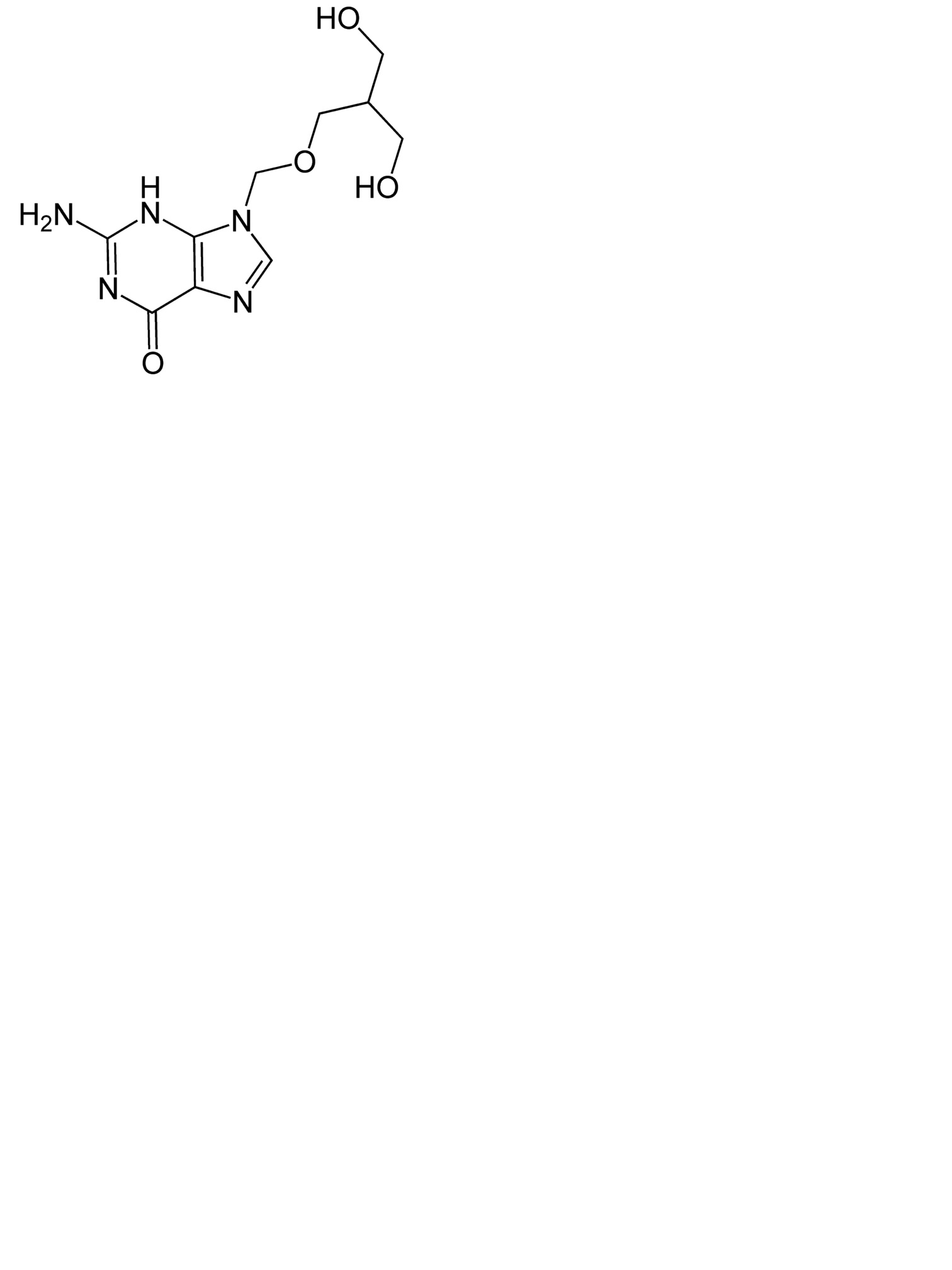
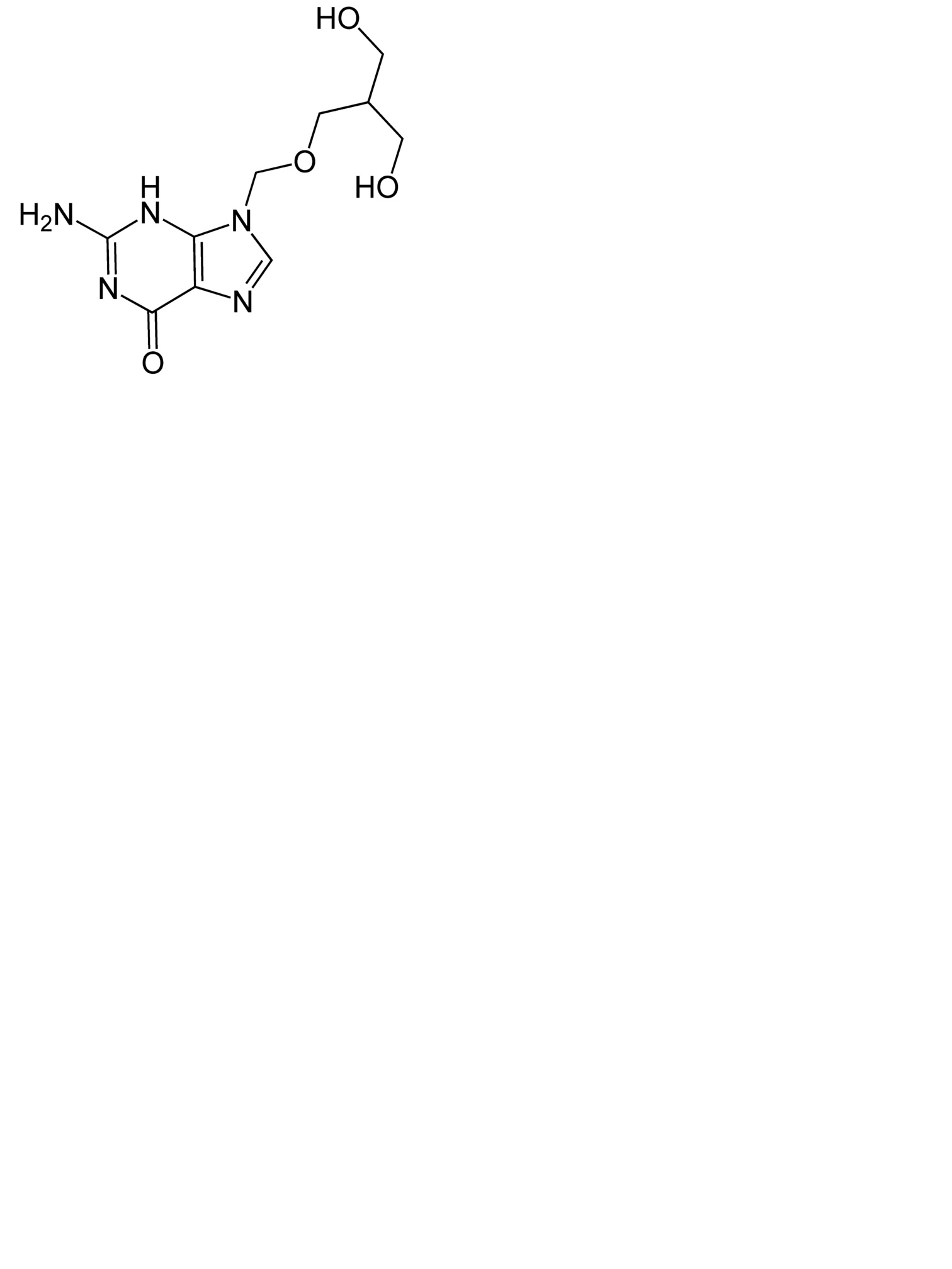
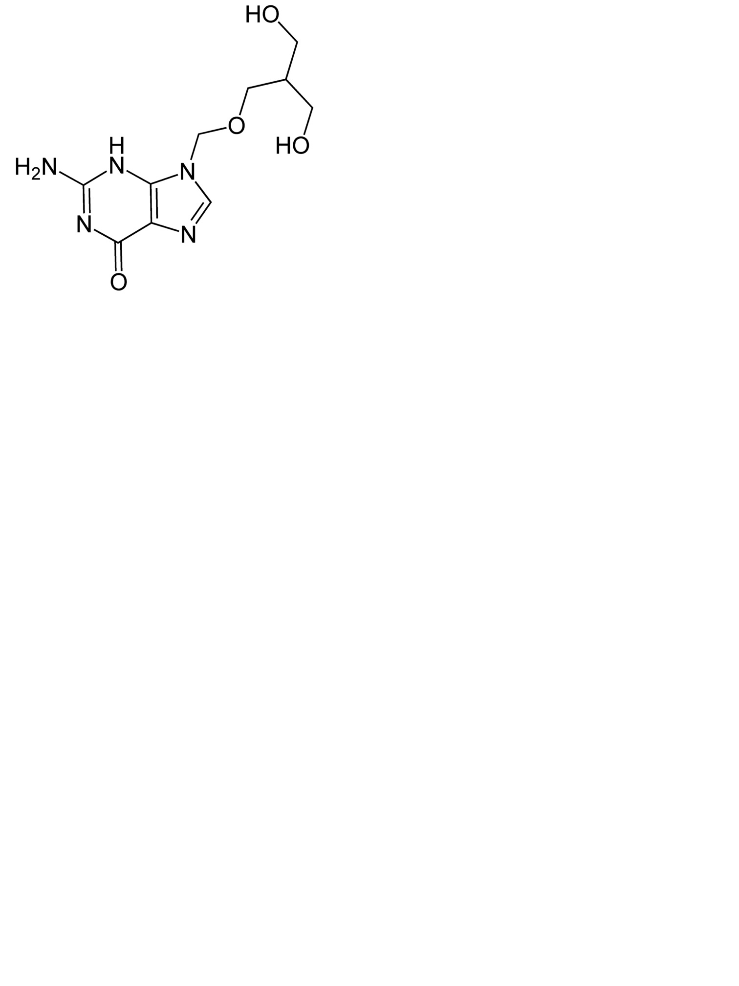
Viirusevastane ravim   Ganciclovir  
Silmatilgad
Stabiilsust ravimpreparaadid Stabiilsust mõjutavad tegurid stabiilsust mõjutavad faktorid Sobimatus Viited pdf
   keemiline struktuur  

Silmatilgad
Stabiilsust ravimpreparaadid   Silmatilgad   Stabiilsust ravimpreparaadid : Ganciclovir     
konteiner Origine  abiaine temperatuur ladustamine Stabiilsuse kestus Viited
Plastikpudel Kommertsravim 100 mg
® = La Roche
süstevesi >> 5 mL
2-8°C kaitsta valguse eest
84 päev
4729
Plastikpudel Kommertsravim 100 mg
® = La Roche
süstevesi >> 5 mL
28-32°C kaitsta valguse eest
56 päev
4729

  Mentions Légales