آخر تحديث :
31/03/2026
المضادة للفيروسات   Ganciclovir  
قطرات العين
استقرار المستحضرات الصيدلانية استقرار مخاليط العوامل التي تؤثر على الاستقرار التوافق مراجع pdf
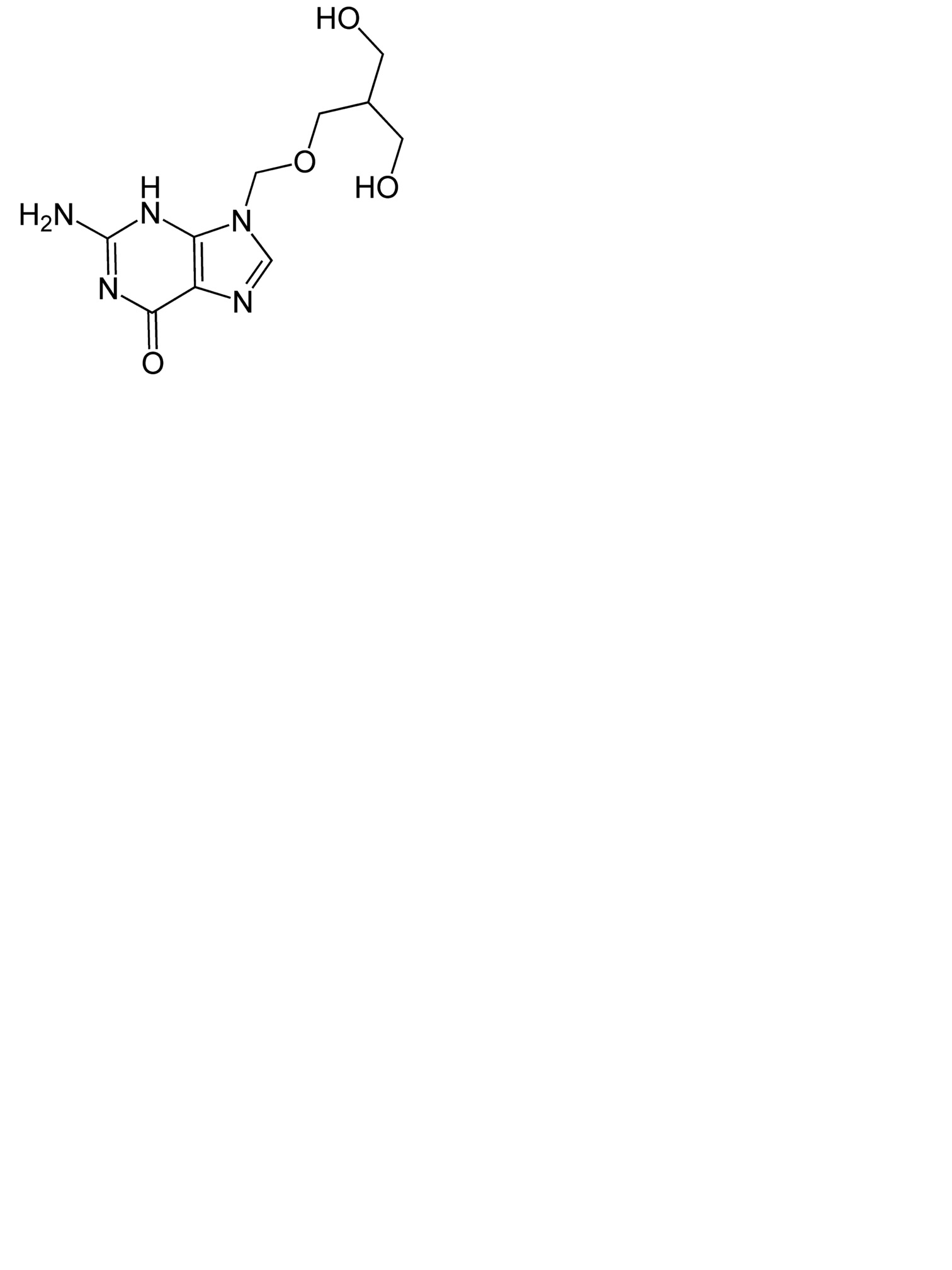
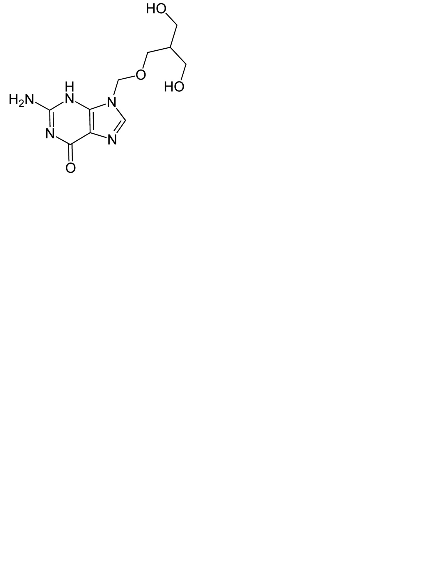
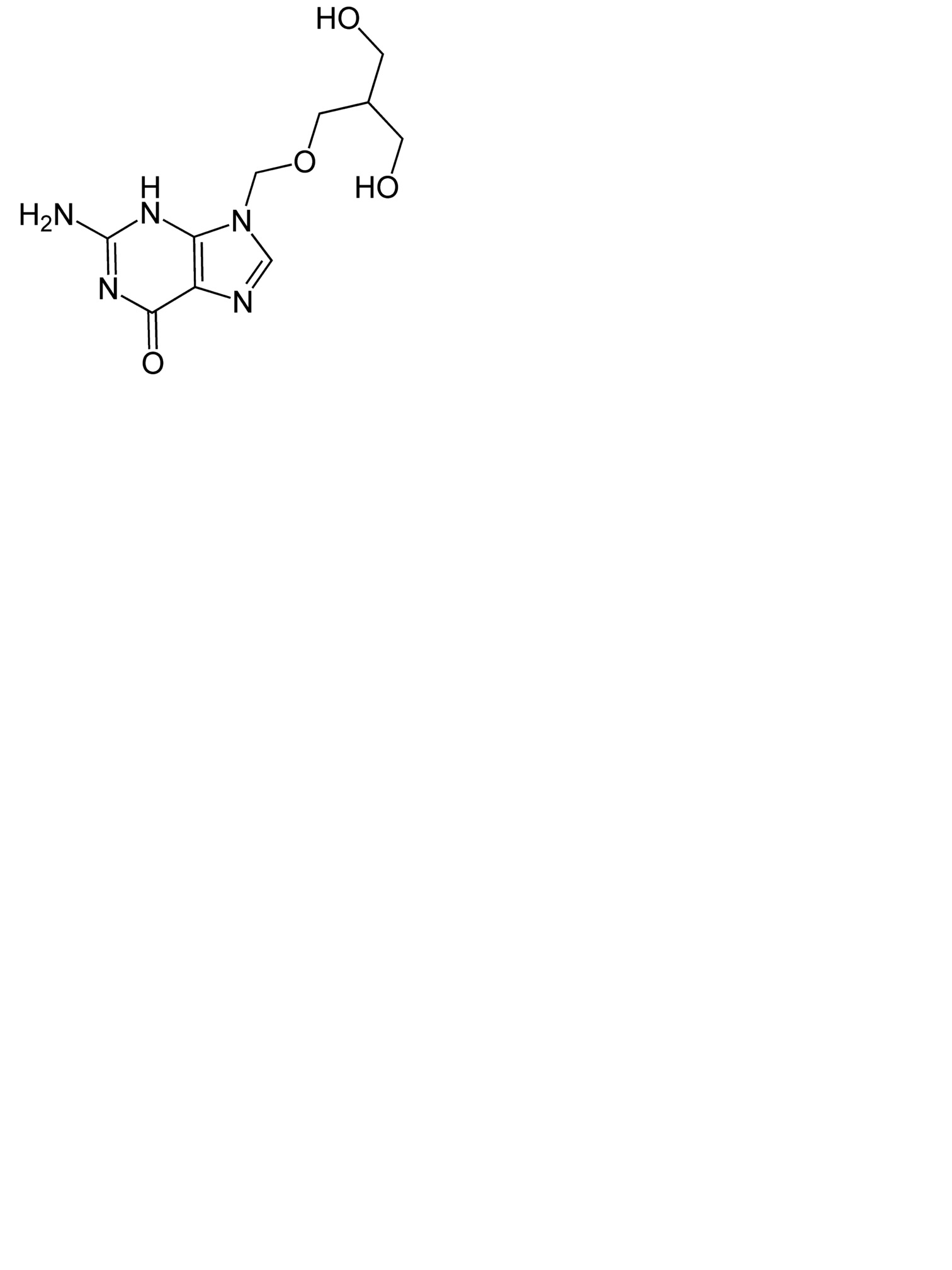
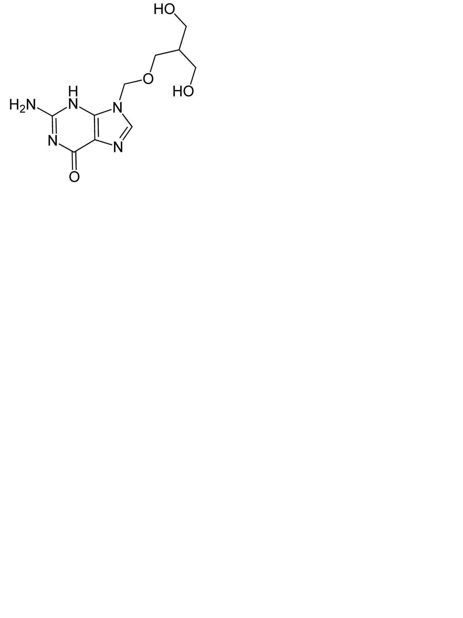
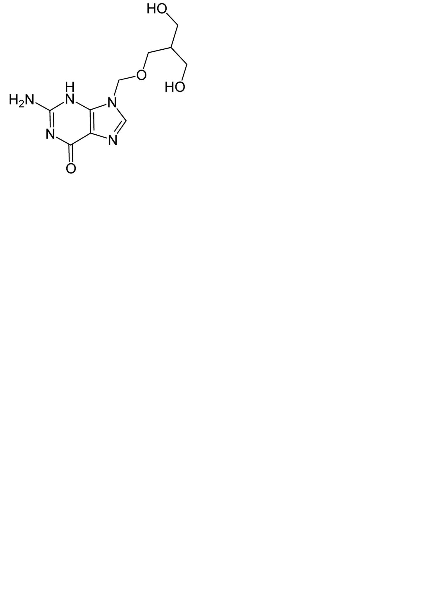
   التركيب الكيميائي  

قطرات العين
استقرار المستحضرات الصيدلانية   قطرات العين   استقرار المستحضرات الصيدلانية : Ganciclovir     
حاوية Origine الاضافات درجة الحرارة تخزين مدة الاستقرار مراجع
زجاجة من البلاستيك منتج دوائي تجاري 100 mg
® = La Roche
المياه للحقن >> 5 mL
2-8°C بعيدا عن الضوء
84 يوم
4729
زجاجة من البلاستيك منتج دوائي تجاري 100 mg
® = La Roche
المياه للحقن >> 5 mL
28-32°C بعيدا عن الضوء
56 يوم
4729

  Mentions Légales