Letztes “update” :
31/03/2026
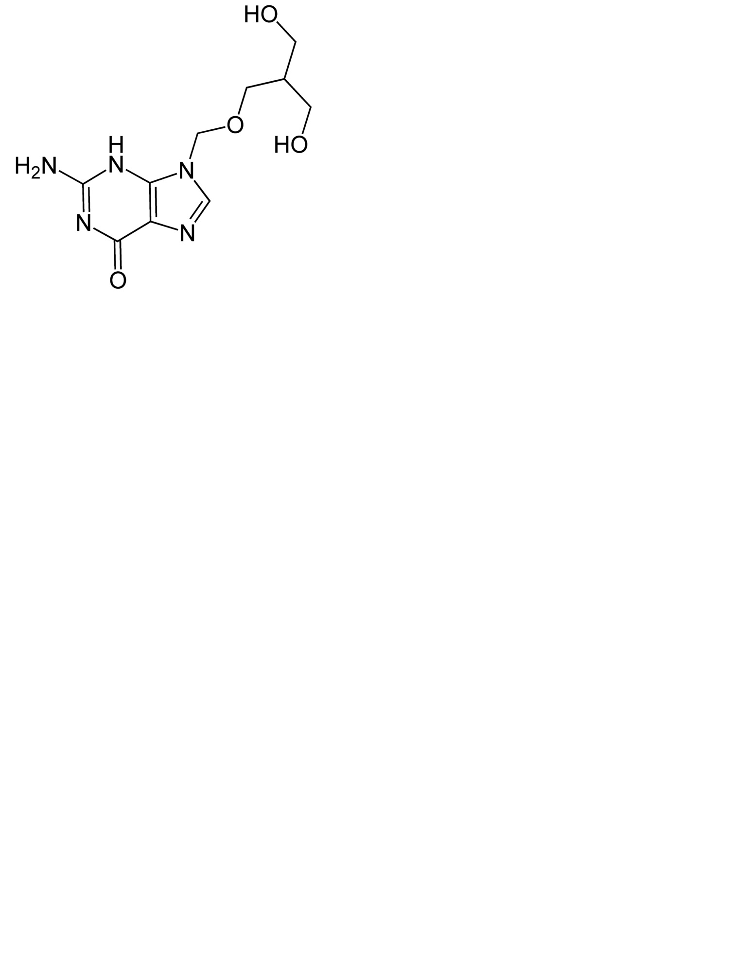
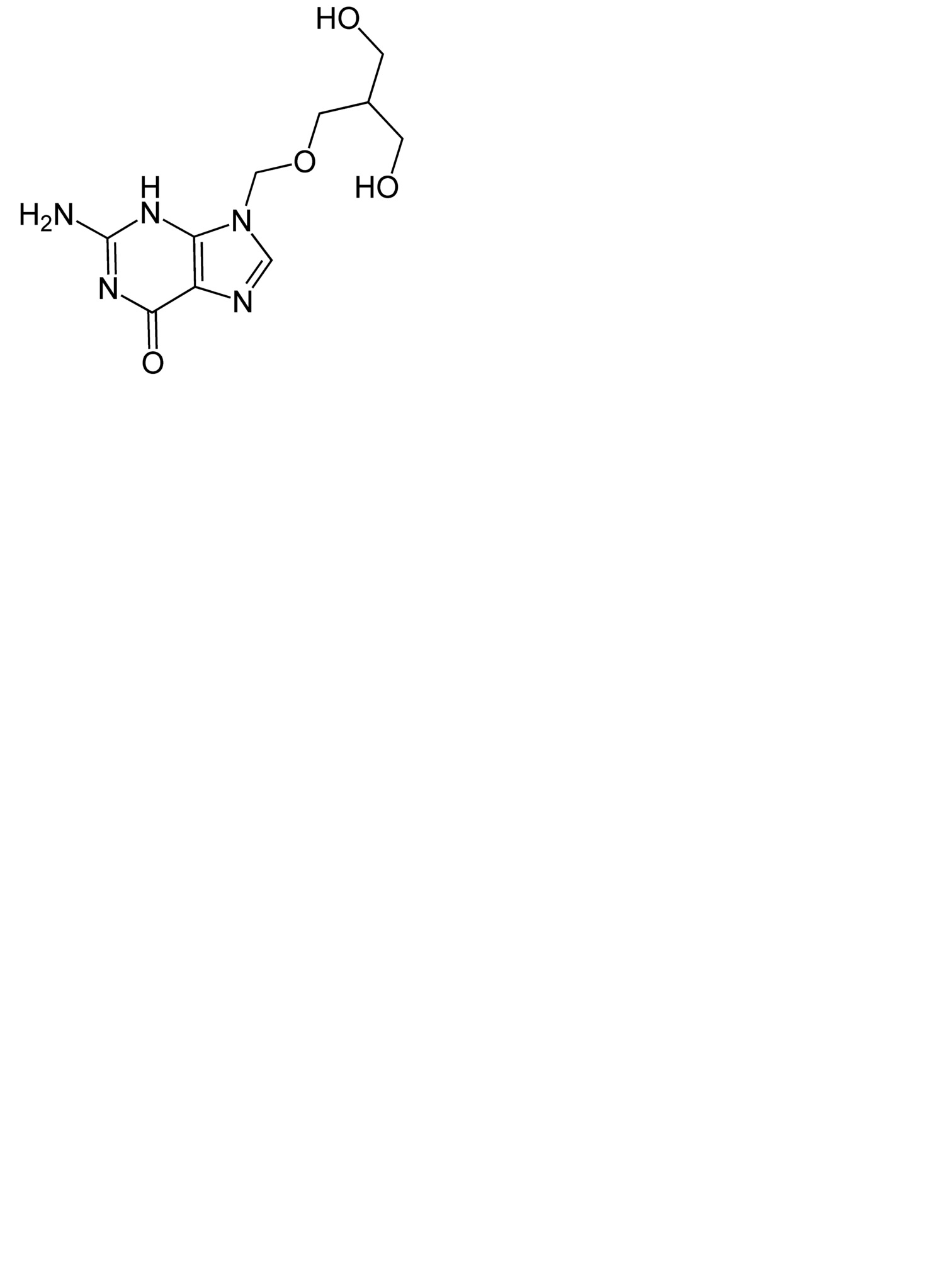
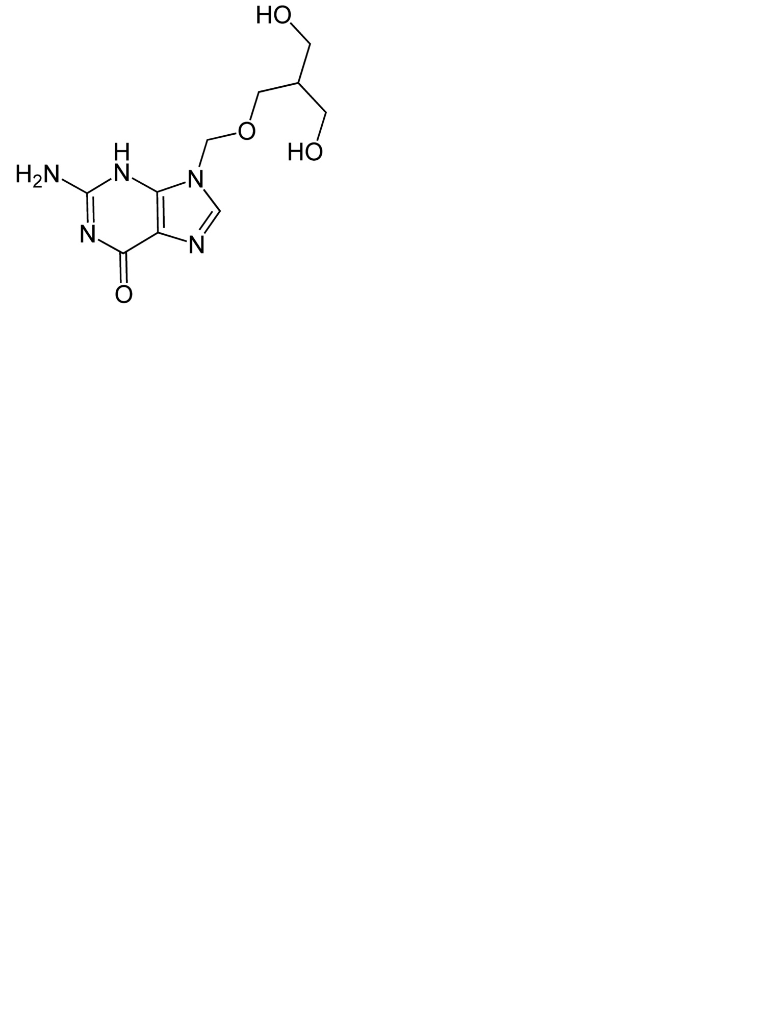
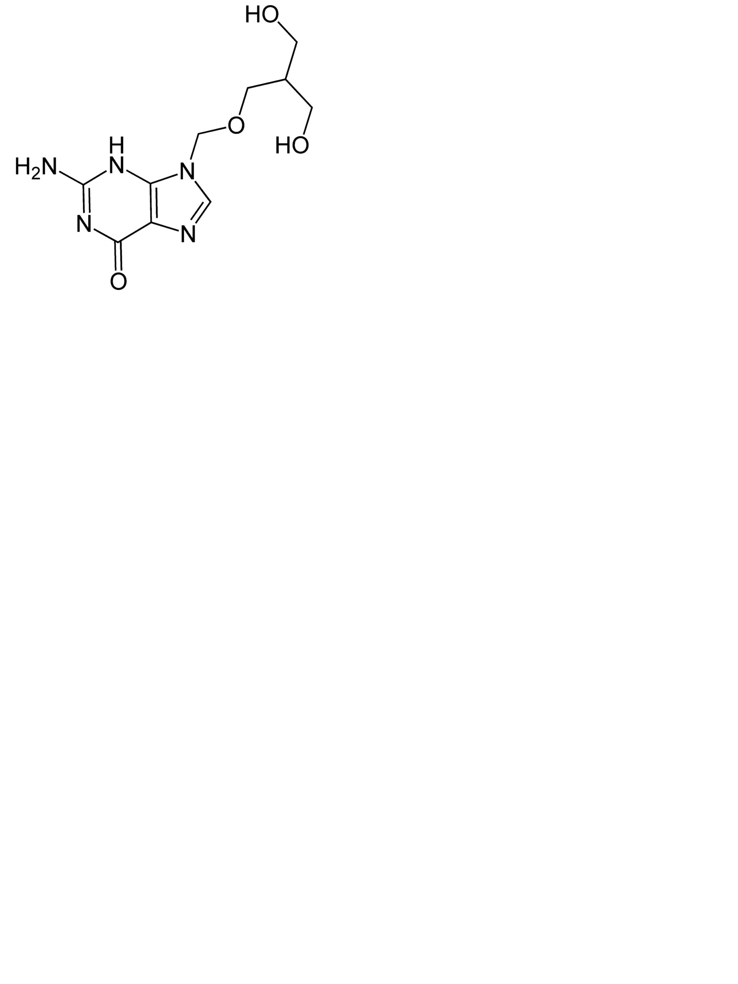
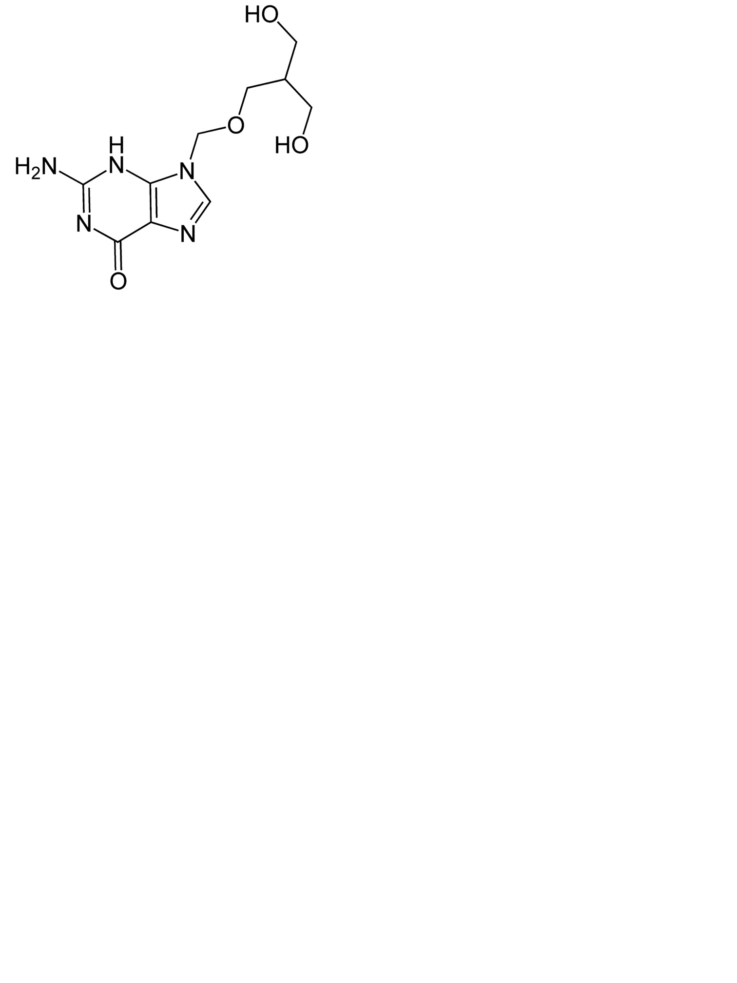
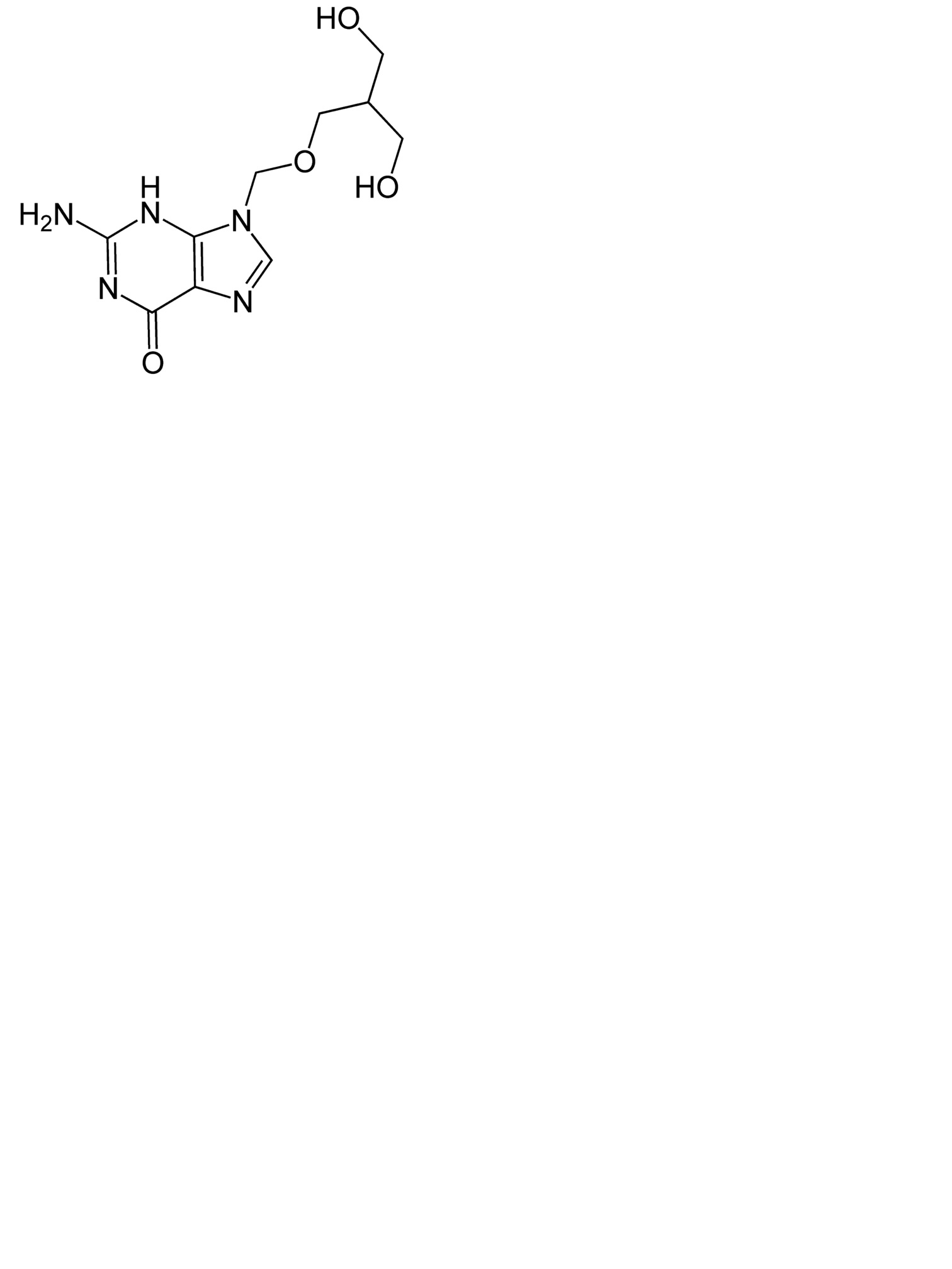
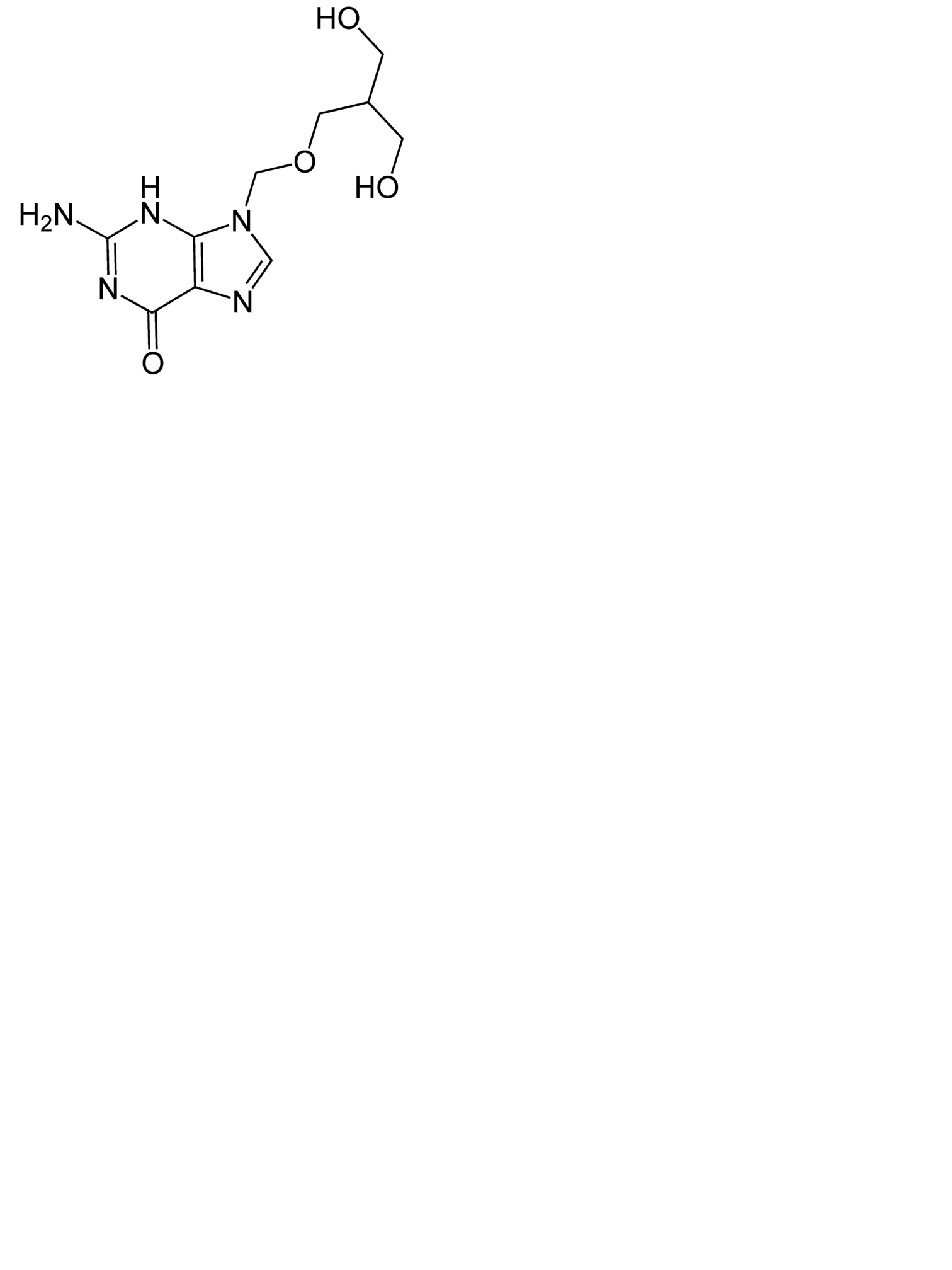
Antiviral   Ganciclovir  
Augentropfen
Stabilität von pharmazeutischen Präparaten Gemengestabilität Stabilitätbeeinflussende Faktoren Kompatibilitäten Literaturverzeichnis pdf
   Chemische Struktur  

Augentropfen
Stabilität von pharmazeutischen Präparaten   Augentropfen   Stabilität von pharmazeutischen Präparaten : Ganciclovir     
Behälter Origine Hilfsstoff Temperatur Konservierung Dauer der Stabilität Literaturverzeichnis
Plastikflasche Kommerzielles Arzneimittel 100 mg
® = La Roche
Wasser für Injektionszwecke >> 5 mL
2-8°C Ohne Licht
84 Tag
4729
Plastikflasche Kommerzielles Arzneimittel 100 mg
® = La Roche
Wasser für Injektionszwecke >> 5 mL
28-32°C Ohne Licht
56 Tag
4729

  Mentions Légales